I - Polinômios
1 - Definição:
Seja C o conjunto dos números complexos ( números da forma a + bi , onde a e b são números reais e i é a unidade imaginária tal que i2 = -1) .
Entende-se por polinômio em C à função:
P(x) = aoxn + a1xn-1 + a2xn-2 + ... + an-1x + an , onde os números complexos ao , a1 , ... , an são os coeficientes , n é um número natural denominado grau do polinômio e x é a variável do polinômio.
Exemplo :
P(x) = x5 + 3x2 - 7x + 6 (ao = 1 , a1 = 0 , a2 = 0 , a3 = 3 , a4 = -7 e a5 = 6 ).
O grau de P(x) é igual a 5 .
Nota: Os polinômios recebem nomes particulares a saber:
Binômio : possuem dois termos. Exemplo : r(x) = 3x + 1 (grau 1).
Trinômio: possuem 3 termos: Exemplo : q(x) = 4x2 + x - 1 ( grau 2).
A partir de 4 termos, recorre-se à designação genérica : polinômios.
1.1 - Valor numérico do polinômio
Sendo m um número complexo ( lembre-se que todo número real é também um número complexo) , denominamos valor numérico de um polinômio P(x) para x = m , ao valor P(m) ou seja o valor que obtemos substituindo x por m .
Exemplo: Qual o valor numérico do polinômio p(x) = x3 - 5x + 2 para x = -1?
Teremos, substituindo a variável x por x = -1 Þ p(-1) = (-1)3 - 5(-1) + 2 = -1 + 5 + 2 = 6 \ p(-1) = 6.
1.2 - Raiz (ou zero) de um polinômio
O número complexo m é raiz ou zero do polinômio P(x) quando P(m) = 0 .
Exemplo: i é raiz do polinômio P(x) = x2 + 1 , pois P(i) = 0 .
Lembre-se que i2 = -1, ou seja , o quadrado da unidade imaginária é igual a -1.
O número natural 2 é raiz do polinômio P(x) = x3 - 2x2 - x + 2 , pois P(2) = 0 (verifique!) .
1.3 - Soma dos coeficientes de um polinômio
Para calcular a soma S dos coeficientes de um polinômio P(x) , basta calcular o valor numérico do polinômio para x = 1 ou seja, calcular P(1).
Exemplos:
a) P(x) = 2x4 + 3x2 - 7x + 10 ® S = P(1) = 2 + 3 - 7 + 10 = 8.
b) Qual a soma dos coeficientes de S(x) = x156 + x?
Ora, substituindo x por 1, encontramos S = 2. (Lembre-se que 1156 = 1).
IMPORTANTE: Às vezes, um polinômio pode vir expresso como uma potência do tipo (x + a)n , denominado binômio de Newton (Isaac Newton - físico, astrônomo e matemático inglês, 1642 - 1727) . Ainda assim, a propriedade anterior é válida.
Por exemplo, qual a soma dos coeficientes do polinômio P(x) = ( 2x - 3)102 ?
Ora, substituindo x por 1, vem: S = (2.1 - 3)102 = (2-3)102 = (-1)102 = 1 (lembre-se que toda potência de expoente par é positiva).
Outro exemplo:
Qual a soma dos coeficientes do polinômio T(x) = (5x + 1)4 ?
Ora, temos para x = 1 : S = T(1) = (5.1 + 1)4 = 64 = 6.6.6.6 = 1296
2 - Identidade de polinômios
2.1 - Polinômio identicamente nulo (ou simplesmente polinômio nulo) é aquele cujo valor numérico é igual a zero para todo valor da variável x . Indicamos P º 0 (polinômio nulo) .
Para um polinômio P(x) ser um polinômio nulo é necessário e suficiente que todos os seus coeficientes sejam nulos (iguais a zero) .
2.2 - Polinômios idênticos - São polinômios iguais .
Se P e Q são polinômios idênticos , escrevemos P º Q . É óbvio que se dois polinômios são idênticos , então os seus coeficientes dos termos correspondentes são iguais .
A expressão P º Q é denominada identidade .
Exercício resolvido:
Sendo P(x) = Q(x) + x2 + x + 1 e sabendo que 2 é raiz de P(x) e 1 é raiz de Q(x) , calcule o valor de P(1) - Q(2) .
Solução:
Ora, se 2 é raiz de P(x), então sabemos que P(2) = 0 e se 1 é raiz de Q(x) então Q(1) = 0. Temos então substituindo x por 1 na expressão dada : P(1) = Q(1) + 12 + 1 + 1 \
P(1) = 0 + 1 + 1+ 1 = 3. Então P(1) = 3. Analogamente , poderemos escrever :
P(2) = Q(2) + 22 + 2 + 1 \ 0 = Q(2) + 7 , logo Q(2) = -7. Logo P(1) - Q(2) = 3 - (-7) = 3 + 7 = 10.
Resp: 10
3 - Divisão de polinômios
Efetuar a divisão de um polinômio P(x) por outro polinômio D(x) não nulo , significa determinar um único par de polinômios Q(x) e R(x) que satisfazem às condições:
1) P(x) = D(x) . Q(x) + R(x) . (Analogia ® 46:6 = 7 e resto 4 \ 46 = 6.7 + 4) .
2) gr R(x) < gr D(x), onde gr indica o grau do polinômio.
Notas:
1) se R(x) = 0 , então dizemos que P(x) é divisível por D(x) .
2) se gr P > gr D então gr (P : D) = gr P - gr D .
3) não se esqueça que o grau do resto é sempre menor que o grau do divisor .
4) se gr P(x) < gr D(x) então Q(x) = 0 e R(x) = P(x) .
3.1 - Resto da divisão pelo binômio x - a.
Teorema do resto : o resto da divisão de P(x) por x - a é igual a P(a) .
Demonstração : Podemos escrever P(x) = (x - a) . Q(x) + R(x) ;
Logo, fazendo x = a vem imediatamente que P(a) = (a - a) . Q(a) + R(a) , de onde se conclui que
P(a) = R onde R é o resto da divisão .
Conseqüência : Se P(a) = 0 , então R = 0 ( R = resto ) e portanto , P(x) é divisível por x - a .
Essa afirmação é conhecida como teorema de D’Alembert (Jean Le Rond D’Alembert (1717 - 1783) , célebre matemático francês, que teve o seu no nome tirado da Igreja de St. Jean Baptiste le Ronde, perto da Notre Dame de Paris , em cujos degraus foi encontrado abandonado quando criança! ).
II - Equações Algébricas
Sendo P(x) um polinômio em C , chama-se equação algébrica à igualdade P(x) = 0 . Portanto , as raízes da equação algébrica , são as mesmas do polinômio P(x) . O grau do polinômio , será também o grau da equação .
Exemplo: 3x4 - 2x3 + x + 1 = 0 é uma equação do 4º grau .
Propriedades importantes :
P1 - Toda equação algébrica de grau n possui exatamente n raízes .
Exemplo: a equação x3 - x = 0 possui 3 raízes a saber: x = 0 ou x = 1 ou x = -1. Dizemos então que o conjunto verdade ou conjunto solução da equação dada é S = {0, 1, -1}.
P2 - Se b for raiz de P(x) = 0 , então P(x) é divisível por x - b .
Esta propriedade é muito importante para abaixar o grau de uma equação , o que se consegue dividindo P(x) por x - b , aplicando Briot-Ruffini.
Briot - matemático inglês - 1817/1882 e Ruffini - matemático italiano - 1765/1822.
P3 - Se o número complexo a + bi for raiz de P(x) = 0 , então o conjugado a - bi também será
raiz .
Exemplo: qual o grau mínimo da equação P(x) = 0, sabendo-se que três de suas raízes são os
números 5, 3 + 2i e 4 - 3i.
Ora, pela propriedade P3, os complexos conjugados 3 - 2i e 4 + 3i são também raízes. Logo, por P1, concluímos que o grau mínimo de P(x) é igual a 5, ou seja, P(x) possui no mínimo 5 raízes.
P4 - Se a equação P(x) = 0 possuir k raízes iguais a m então dizemos que m é uma raiz de grau de multiplicidade k .
Exemplo: a equação (x - 4)10 = 0 possui 10 raízes iguais a 4 . Portanto 4 é raiz décupla ou de
multiplicidade 10 .
Outro exemplo: a equação x3 = 0, possui três raízes iguais a 0 ou seja três raízes nulas com ordem de multiplicidade 3 (raízes triplas).
A equação do segundo grau x2 - 8x + 16 = 0, possui duas raízes reais iguais a 4, (x’ = x’’ = 4). Dizemos então que 4 é uma raiz dupla ou de ordem de multiplicidade dois.
P5 - Se a soma dos coeficientes de uma equação algébrica P(x) = 0 for nula , então a unidade é raiz da equação (1 é raiz).
Exemplo: 1 é raiz de 40x5 -10x3 + 10x - 40 = 0 , pois a soma dos coeficientes é igual a zero .
P6 - Toda equação de termo independente nulo , admite um número de raízes nulas igual ao menor expoente da variável .
Exemplo: a equação 3x5 + 4x2 = 0 possui duas raízes nulas .
A equação x100 + x12 = 0, possui 100 raízes, das quais 12 são nulas!
P7 - Se x1 , x2 , x3 , ... , xn são raízes da equação aoxn + a1xn-1 + a2xn-2 + ... + an = 0 , então ela pode ser escrita na forma fatorada :
ao (x - x1) . (x - x2) . (x - x3) . ... . (x - xn) = 0
Exemplo: Se - 1 , 2 e 53 são as raízes de uma equação do 3º grau , então podemos escrever:
(x+1) . (x-2) . (x-53) = 0 , que desenvolvida fica : x3 - 54x2 + 51x + 106 = 0 . (verifique!).
Relações de Girard - Albert Girard (1590-1633).
São as relações existentes entre os coeficientes e as raízes de uma equação algébrica .
Para uma equação do 2º grau , da forma ax2 + bx + c = 0 , já conhecemos as seguintes relações entre os coeficientes e as raízes x1 e x2 :
x1 + x2 = - b/a e x1 . x2 = c/a .
Para uma equação do 3º grau , da forma ax3 + bx2 + cx + d = 0 , sendo x1 , x2 e x3 as raízes , temos as seguintes relações de Girard :
x1 + x2 + x3 = - b/a
x1.x2 + x1.x3 + x2.x3 = c/a
x1.x2.x3 = - d/a
Para uma equação do 4º grau , da forma ax4 + bx3 + cx2 + dx + e = 0 , sendo as raízes iguais a
x1 , x2 , x3 e x4 , temos as seguintes relações de Girard :
x1 + x2 + x3 + x4 = -b/a
x1.x2 + x1.x3 + x1.x4 + x2.x3 + x2.x4 + x3.x4 = c/a
x1.x2x3 + x1.x2.x4 + x1.x3.x4 + x2.x3.x4 = - d/a
x1.x2.x3.x4 = e/a
NOTA: observe que os sinais se alternam a partir de ( - ) , tornando fácil a memorização das fórmulas
Agora que você estudou a teoria, tente resolver as questões a seguir:
1 - UEFS-91/1 - Sejam três polinômios em x:
P = -2x3 - 2x2 + 2x -1 ; Q = ( 2x2 + 3) ( x - 1 ) e R = -4x + 3 .
Dividindo-se P - Q por R, encontram-se quociente e resto respectivamente iguais a:
Resp: x2 + (3/4)x + 13/16 e -7/16
2 - UEFS-92/1- Sejam P = 5x - 2 , Q = ( 4 + 25x2 )2 e R = 5x + 2; então (PR)2 - Q é:
Resp: - 400x2
3 - UEFS-92/1 - Se o resto da divisão de P(x) = x3 + ax + b por Q(x) = x2 + x + 2 é 4, então a + b vale:
Resp: 3
4 - UEFS-93/1 - O conjunto verdade da equação 18x3 + 9x2 - 2x -1 = 0 está contido em:
a) [-2,-1)
*b) [-1,1)
c) [1,2)
d) [2,3)
e) [3,4)
5 - UEFS-94/1 - A soma das raízes da equação 2x4 - 3x3 + 3x - 2 = 0 é:
Resp: 3/2
Esse é o blog de Accbarroso, Professor de Matemática no Colégio Estadual Dinah Gonçalves. .Inscreva-se Já no meu canal www.youtube.com/accbarroso1 e receba as vídeoaulas de Matemática
Marcadores
- 1º Ano Ensino Médio
- 2º Ano Ensino Médio
- 3º Ano Ensino Médio
- 4ª ano
- 5ª ano
- 6º Ano
- 7º Ano
- 8º Ano
- 9º Ano
- Algébra Linear
- artigo de Antonio Carlos
- Aulas em PPT
- Biologia
- Calculo
- Ciências
- Cores
- Curiosidades
- curso
- Cutiosidades
- Desafios
- Dobraduras
- Editor de Matemática
- EDO
- Enem
- Estatistica
- Eventos matemáticos
- Filme
- Física
- Fotos
- geografia
- Gestar
- História
- história da matemática
- IMC
- Infantil
- jogos
- leis da educação na ahia
- Magisterio
- Matemática Financeira
- Matemática para concurso
- Matemáticos
- Materiais digitais
- Medicinal
- Mulheres
- Nosso pais
- OBMEP
- Origami
- Parceiro
- Planejamento
- Planificação
- Português
- pré-calculo
- Profmat
- Projeto
- provas
- Quimica
- Salmos
- servidor público
- Siga-me
- Simulados
- Tangram
Mostrando postagens com marcador 3º Ano Ensino Médio. Mostrar todas as postagens
Mostrando postagens com marcador 3º Ano Ensino Médio. Mostrar todas as postagens
quinta-feira, 22 de agosto de 2019
Equação geral da reta
Geometria Analítica demonstram que uma reta possui representação geométrica no plano cartesiano e pode ser representada por uma equação. Euclides, em seus teoremas e postulados, fundamentalizava que uma reta passa por infinitos pontos e que por dois pontos passa somente uma única reta. Partindo desse princípio estabelecemos que em uma reta os pontos são colineares. Dada uma reta, podemos constituir sua equação geral partindo da definição de localização de dois pontos pertencentes à reta r: ponto A de coordenadas (x1,y1), ponto B de coordenadas (x2,y2) e um ponto Q (x,y)
Usaremos a seguinte matriz na definição da equação geral da reta:
.jpg)
Desenvolvendo o determinante da matriz encontramos a equação geral da reta:
x1y2 + xy1 + x2y – xy2 – x2y1 – x1y = 0
x(y1 – y2) + y(x2 – x1) + (x1y2 – x2y1) = 0
Os valores em x e y são números reais, então podemos considerar a seguinte situação:
y1 – y2 = a
x2 – x1 = b
x1y2 – x2y1 = c
A equação geral da reta: ax + by + c = 0
Exemplo: Determine a equação geral da reta r que passa pelos pontos P(1,1) e X(4,6).
.jpg)
*6*1 + 1*1*x + 1*4*y – 1*6*x – 1*4*1 – 1*y*1 = 0
6 + x + 4y – 6x – 4 – y = 0
– 5x + 3y – 2 = 0
– 5x + 3y + 2 = 0: equação geral da reta que passa pelos pontos P(1,1) e X(4,6)
www.mundoeducacao.com.br
Usaremos a seguinte matriz na definição da equação geral da reta:
.jpg)
Desenvolvendo o determinante da matriz encontramos a equação geral da reta:
x1y2 + xy1 + x2y – xy2 – x2y1 – x1y = 0
x(y1 – y2) + y(x2 – x1) + (x1y2 – x2y1) = 0
Os valores em x e y são números reais, então podemos considerar a seguinte situação:
y1 – y2 = a
x2 – x1 = b
x1y2 – x2y1 = c
A equação geral da reta: ax + by + c = 0
Exemplo: Determine a equação geral da reta r que passa pelos pontos P(1,1) e X(4,6).
.jpg)
*6*1 + 1*1*x + 1*4*y – 1*6*x – 1*4*1 – 1*y*1 = 0
6 + x + 4y – 6x – 4 – y = 0
– 5x + 3y – 2 = 0
– 5x + 3y + 2 = 0: equação geral da reta que passa pelos pontos P(1,1) e X(4,6)
www.mundoeducacao.com.br
Cone Autor Professor Antonio Carlos
Cone
Consideremos um círculo de centro O e raio r, situado num plano, e um ponto V fora dele. Chama-se cone circular, ou cone, a reunião dos segmentos com uma extremidade em V e a outra em um ponto do círculo.

a) o ponto V é o vértice do cone;
b) o círculo de raio r é a base do cone;
c) os segmentos com uma extremidade em V e a outra nos pontos da circunferência da base são as geratrizes do cone;
d) a distância do vértice ao plano da base é a altura do cone.

Área lateral: Al
A superfície lateral de um cone é a reunião das geratrizes. A área dessa superfície é chamada área lateral e é indicada por Al.
A superfície lateral de um cone circular reto, de geratriz g e raio da base r, planificada, é um setor circular cujo raio é g (geratriz do cone) e cujo comprimento do arco é 2r (perímetro da base).
O raio do setor é g, e o comprimento do arco do setor é 2r.
Assim, podemos estabelecer a regra de três:
Comprimento do arco área do setor
Área total: At
A superfície total de um cone é a reunião da superfície lateral com o círculo da base. A área dessa superfície é chamada área total e é indicada por At.
At = Al + Ab
Substituindo-se Al = r g e Ab = r2, vem:
Volume: V
O volume de um cone é obtido da mesma forma que se obtém o volume da pirâmide:

SEÇÃO MERIDIANA E CONE EQÜILÁTERO
Seção meridiana de um cone reto é a interseção dele com um plano que contém o eixo.
A seção meridiana de um cone reto é um triângulo isósceles.
Cone eqüilátero é um cone cuja seção meridiana é um triângulo eqüilátero.

Para obtenção da área lateral, área total e volume de um cone eqüilátero, procedendo às adaptações e substituições, deduzimospg">
Professor Antonio Carlos Carneiro Barroso
http://ensinodematemtica.blogspot.com
extraido de www.colegioweb.com.br
Consideremos um círculo de centro O e raio r, situado num plano, e um ponto V fora dele. Chama-se cone circular, ou cone, a reunião dos segmentos com uma extremidade em V e a outra em um ponto do círculo.

a) o ponto V é o vértice do cone;
b) o círculo de raio r é a base do cone;
c) os segmentos com uma extremidade em V e a outra nos pontos da circunferência da base são as geratrizes do cone;
d) a distância do vértice ao plano da base é a altura do cone.

Área lateral: Al
A superfície lateral de um cone é a reunião das geratrizes. A área dessa superfície é chamada área lateral e é indicada por Al.
A superfície lateral de um cone circular reto, de geratriz g e raio da base r, planificada, é um setor circular cujo raio é g (geratriz do cone) e cujo comprimento do arco é 2r (perímetro da base).
O raio do setor é g, e o comprimento do arco do setor é 2r.
Assim, podemos estabelecer a regra de três:
Comprimento do arco área do setor
Área total: At
A superfície total de um cone é a reunião da superfície lateral com o círculo da base. A área dessa superfície é chamada área total e é indicada por At.
At = Al + Ab
Substituindo-se Al = r g e Ab = r2, vem:
Volume: V
O volume de um cone é obtido da mesma forma que se obtém o volume da pirâmide:

SEÇÃO MERIDIANA E CONE EQÜILÁTERO
Seção meridiana de um cone reto é a interseção dele com um plano que contém o eixo.
A seção meridiana de um cone reto é um triângulo isósceles.
Cone eqüilátero é um cone cuja seção meridiana é um triângulo eqüilátero.

Para obtenção da área lateral, área total e volume de um cone eqüilátero, procedendo às adaptações e substituições, deduzimospg">

Professor Antonio Carlos Carneiro Barroso
http://ensinodematemtica.blogspot.com
extraido de www.colegioweb.com.br
Binômio de Newton
Denomina-se Binômio de Newton , a todo binômio da forma (a + b)n , sendo n um número natural .
Exemplo:
B = (3x - 2y)4 ( onde a = 3x, b = -2y e n = 4 [grau do binômio] ).
Então, 35 . 3 = 105 e dividindo por 5 (ordem do termo anterior) vem 105:5 = 21, que é o coeficiente do sexto termo, conforme se vê acima.
onde
é denominado Número Binomial e Cn.p é o número de combinações simples de n elementos, agrupados p a p, ou seja, o número de combinações simples de n elementos de taxa p. Este número é também conhecido como Número Combinatório.
Autoria: Paulo Marques
Exemplo:
B = (3x - 2y)4 ( onde a = 3x, b = -2y e n = 4 [grau do binômio] ).
Nota 1:
Isaac Newton - físico e matemático inglês(1642 - 1727).
Suas contribuições à Matemática, estão reunidas na monumental obra Principia Mathematica, escrita em 1687.
Exemplos de desenvolvimento de binômios de Newton:
a) (a + b)2 = a2 + 2ab + b2b) (a + b)3 = a3 + 3 a2b + 3ab2 + b3c) (a + b)4 = a4 + 4 a3b + 6 a2b2 + 4ab3 + b4
d) (a + b)5 = a5 + 5 a4b + 10 a3b2 + 10 a2b3 + 5ab4 + b5
d) (a + b)5 = a5 + 5 a4b + 10 a3b2 + 10 a2b3 + 5ab4 + b5
Nota 2:
Não é necessário memorizar as fórmulas acima, já que elas possuem uma lei de formação bem definida, senão vejamos:
Vamos tomar por exemplo, o item (d) acima:
Vamos tomar por exemplo, o item (d) acima:
Observe que o expoente do primeiro e últimos termos são iguais ao expoente do binômio,
ou seja, igual a 5.
ou seja, igual a 5.
A partir do segundo termo, os coeficientes podem ser obtidos a partir da seguinte regra prática de fácil memorização:
Multiplicamos o coeficiente de a pelo seu expoente e dividimos o resultado pela ordem do termo. O resultado será o coeficiente do próximo termo. Assim por exemplo, para obter o coeficiente do terceiro termo do item (d) acima teríamos: 5.4 = 20; agora dividimos 20 pela ordem do termo anterior (2 por se tratar do segundo termo) 20:2 = 10 que é o coeficiente do terceiro termo procurado.
Observe que os expoentes da variável a decrescem de n até 0 e os expoentes de b crescem de 0 até n. Assim o terceiro termo é 10 a3b2 (observe que o expoente de a decresceu de 4 para 3 e o de b cresceu de 1 para 2).
Observe que os expoentes da variável a decrescem de n até 0 e os expoentes de b crescem de 0 até n. Assim o terceiro termo é 10 a3b2 (observe que o expoente de a decresceu de 4 para 3 e o de b cresceu de 1 para 2).
Usando a regra prática acima, o desenvolvimento do binômio de Newton (a + b)7 será:
(a + b)7 = a7 + 7 a6b + 21 a5b2 + 35 a4b3 + 35 a3b4 + 21 a2b5 + 7 ab6 + b7
(a + b)7 = a7 + 7 a6b + 21 a5b2 + 35 a4b3 + 35 a3b4 + 21 a2b5 + 7 ab6 + b7
Como obtivemos, por exemplo, o coeficiente do 6º termo (21 a2b5) ?
Pela regra: coeficiente do termo anterior = 35. Multiplicamos 35 pelo expoente de a que é igual a 3 e dividimos o resultado pela ordem do termo que é 5.
Pela regra: coeficiente do termo anterior = 35. Multiplicamos 35 pelo expoente de a que é igual a 3 e dividimos o resultado pela ordem do termo que é 5.
Então, 35 . 3 = 105 e dividindo por 5 (ordem do termo anterior) vem 105:5 = 21, que é o coeficiente do sexto termo, conforme se vê acima.
Observações:
1) o desenvolvimento do binômio (a + b)n é um polinômio.
2) o desenvolvimento de (a + b)n possui n + 1 termos .
3) os coeficientes dos termos eqüidistantes dos extremos , no desenvolvimento de (a + b)n são iguais .
4) a soma dos coeficientes de (a + b)n é igual a 2n .
2) o desenvolvimento de (a + b)n possui n + 1 termos .
3) os coeficientes dos termos eqüidistantes dos extremos , no desenvolvimento de (a + b)n são iguais .
4) a soma dos coeficientes de (a + b)n é igual a 2n .
Fórmula do termo geral de um Binômio de Newton
Um termo genérico Tp+1 do desenvolvimento de (a+b)n , sendo p um número natural, é dado por
Exercícios Resolvidos:
1 - Determine o 7º termo do binômio (2x + 1)9 , desenvolvido segundo as potências decrescentes de x.
Solução:
Vamos aplicar a fórmula do termo geral de (a + b)n , onde a = 2x , b = 1 e n = 9. Como queremos o sétimo termo, fazemos p = 6 na fórmula do termo geral e efetuamos os cálculos indicados. Temos então:
T6+1 = T7 = C9,6 . (2x)9-6 . (1)6 = 9! /[(9-6)! . 6!] . (2x)3 . 1 = 9.8.7.6! / 3.2.1.6! . 8x3 = 84.8x3 = 672x3.
Portanto o sétimo termo procurado é 672x3.
Vamos aplicar a fórmula do termo geral de (a + b)n , onde a = 2x , b = 1 e n = 9. Como queremos o sétimo termo, fazemos p = 6 na fórmula do termo geral e efetuamos os cálculos indicados. Temos então:
T6+1 = T7 = C9,6 . (2x)9-6 . (1)6 = 9! /[(9-6)! . 6!] . (2x)3 . 1 = 9.8.7.6! / 3.2.1.6! . 8x3 = 84.8x3 = 672x3.
Portanto o sétimo termo procurado é 672x3.
2 - Qual o termo médio do desenvolvimento de (2x + 3y)8 ?
Solução:
Temos a = 2x , b = 3y e n = 8. Sabemos que o desenvolvimento do binômio terá 9 termos, porque
n = 8. Ora sendo T1 T2 T3 T4 T5 T6 T7 T8 T9 os termos do desenvolvimento do binômio, o termo do meio (termo médio) será o T5 (quinto termo). Logo, o nosso problema resume-se ao cálculo do T5 . Para isto, basta fazer p = 4 na fórmula do termo geral e efetuar os cálculos decorrentes. Teremos:
T4+1 = T5 = C8,4 . (2x)8-4 . (3y)4 = 8! / [(8-4)! . 4!] . (2x)4 . (3y)4 = 8.7.6.5.4! / (4! . 4.3.2.1) . 16x4.81y4
Fazendo as contas vem:
T5 = 70.16.81.x4 . y4 = 90720x4y4 , que é o termo médio procurado.
Temos a = 2x , b = 3y e n = 8. Sabemos que o desenvolvimento do binômio terá 9 termos, porque
n = 8. Ora sendo T1 T2 T3 T4 T5 T6 T7 T8 T9 os termos do desenvolvimento do binômio, o termo do meio (termo médio) será o T5 (quinto termo). Logo, o nosso problema resume-se ao cálculo do T5 . Para isto, basta fazer p = 4 na fórmula do termo geral e efetuar os cálculos decorrentes. Teremos:
T4+1 = T5 = C8,4 . (2x)8-4 . (3y)4 = 8! / [(8-4)! . 4!] . (2x)4 . (3y)4 = 8.7.6.5.4! / (4! . 4.3.2.1) . 16x4.81y4
Fazendo as contas vem:
T5 = 70.16.81.x4 . y4 = 90720x4y4 , que é o termo médio procurado.
3 - Desenvolvendo o binômio (2x - 3y)3n , obtemos um polinômio de 16 termos . Qual o valor de n?
Solução:
Ora, se o desenvolvimento do binômio possui 16 termos, então o expoente do binômio é igual a 15.
Logo, 3n = 15 de onde conclui-se que n = 5.?
Ora, se o desenvolvimento do binômio possui 16 termos, então o expoente do binômio é igual a 15.
Logo, 3n = 15 de onde conclui-se que n = 5.?
4 - Qual a soma dos coeficientes dos termos do desenvolvimento de :
a) (2x - 3y)12 ?
|
Resp: 1
| ||||||||
b) (x - y)50 ?
|
Resp: 0
|
Solução:
a) basta fazer x=1 e y=1. Logo, a soma S procurada será: S = (2.1 -3.1)12 = (-1)12 = 1
b) analogamente, fazendo x = 1 e y = 1, vem: S = (1 - 1)50 = 050 = 0.
a) basta fazer x=1 e y=1. Logo, a soma S procurada será: S = (2.1 -3.1)12 = (-1)12 = 1
b) analogamente, fazendo x = 1 e y = 1, vem: S = (1 - 1)50 = 050 = 0.
5 - Determine o termo independente de x no desenvolvimento de (x + 1/x )6 .
Solução:
Sabemos que o termo independente de x é aquele que não depende de x, ou seja, aquele que não possui x.
Temos no problema dado: a = x , b = 1/x e n = 6.
Pela fórmula do termo geral, podemos escrever:
Temos no problema dado: a = x , b = 1/x e n = 6.
Pela fórmula do termo geral, podemos escrever:
Tp+1 = C6,p . x6-p . (1/x)p = C6,p . x6-p . x-p = C6,p . x6-2p . Ora, para que o termo seja independente de x, o expoente desta variável deve ser zero,
pois x0 = 1. Logo, fazendo 6 - 2p = 0, obtemos p=3. Substituindo então p por 6, teremos o termo procurado. Temos então:
T3+1 = T4 = C6,3 . x0 = C6,3 = 6! /[(6-3)! . 3! ] = 6.5.4.3! / 3!.3.2.1 = 20.
Logo, o termo independente de x é o T4 (quarto termo) que é igual a 20.
pois x0 = 1. Logo, fazendo 6 - 2p = 0, obtemos p=3. Substituindo então p por 6, teremos o termo procurado. Temos então:
T3+1 = T4 = C6,3 . x0 = C6,3 = 6! /[(6-3)! . 3! ] = 6.5.4.3! / 3!.3.2.1 = 20.
Logo, o termo independente de x é o T4 (quarto termo) que é igual a 20.
Exercícios propostos
1) Qual é o termo em x5 no desenvolvimento de (x + 3)8 ?
2) Determine a soma dos coeficientes do desenvolvimento de (x - 3y)7 .
3) Qual é o valor do produto dos coeficientes do 2o. e do penúltimo termo do desenvolvimento de (x - 1)80 ?
4) FGV-SP - Desenvolvendo-se a expressão [(x + 1/x) . (x - 1/x)]6 , obtém-se como termo independente de x o valor:
a) 10
b) -10
c) 20
d) -20
e) 36
a) 10
b) -10
c) 20
d) -20
e) 36
5) UF. VIÇOSA - A soma dos coeficientes do desenvolvimento de (2x + 3y)m é 625. O valor de m é:
a) 5
b) 6
c)10
d) 3
e) 4
a) 5
b) 6
c)10
d) 3
e) 4
6) MACK-SP - Os 3 primeiros coeficientes no desenvolvimento de (x2 + 1/(2x))n estão em progressão aritmética.O valor de n é:
a) 4
b) 6
c) 8
d) 10
e) 12
a) 4
b) 6
c) 8
d) 10
e) 12
7) No desenvolvimento de (3x + 13)n há 13 termos. A soma dos coeficientes destes termos
é igual a:
Resp: 248
é igual a:
Resp: 248
8 - UFBA-92 - Sabendo-se que a soma dos coeficientes no desenvolvimento do binômio (a + b)m é igual a 256, calcule (m/2)!
Resp: 24
Resp: 24
9 - UFBA-88 - Calcule o termo independente de x no desenvolvimento de (x2 + 1/x)9.
Resp: O termo independente de x é o sétimo e é igual a 84.
Resp: O termo independente de x é o sétimo e é igual a 84.
10 - Calcule a soma dos coeficientes do desenvolvimento do binômio (3x - 1)10.
Resp: 1024
Resp: 1024
Gabarito:
1) T4 = 1512.x5
2) – 128
3) 6400
4) D
5) E
6) 8
7) 248
8) 24
9) 84
10) 1024
1) T4 = 1512.x5
2) – 128
3) 6400
4) D
5) E
6) 8
7) 248
8) 24
9) 84
10) 1024
Autoria: Paulo Marques
Inequação – produto
Inequação é uma desigualdade de elementos, portanto uma inequação - produto pode ser representada da seguinte forma:
h(x) . w(x) > 0
h(x) . w(x) < 0
h(x) . w(x) ≠ 0
h(x) . w(x) ≥ 0
h(x) . w(x) ≤ 0
Sendo que h e w estão representando qualquer função (elemento). Por exemplo:
Qual seriam os possíveis valores de x para que o produto das funções h(x) = (3x + 6) e w(x) = (2x – 1) seja negativo?
É possível resolver de várias formas diferentes, dentre elas podemos destacar as seguintes:
• Para que esse produto seja negativo ele deverá ser menor que zero, portanto iremos representá-lo da seguinte forma: (3x + 6) . (2x – 1) < 0. Podemos estudar o sinal de cada uma das funções e em seguida estudar o sinal da inequação, assim serão encontrados os possíveis valores de x que satisfazem a desigualdade.
(3x + 6) . (2x – 1) < 0
h(x) = (3x + 6)
3x + 6 = 0
3x = -6
x = -2

w(x) = (2x – 1)
2x – 1 = 0
2x = 1
x = 1/2

Agora montamos a seguinte tabela que possibilitará encontrar os valores de x:

Portanto, teremos como solução da inequação: S = {x R / -2 < x < 1/2}
• Outra forma de encontrar o valor dessa mesma inequação – produto é transformá-la em uma inequação de 2º grau. Veja como isso acontece:
(3x + 6) . (2x – 1) < 0
6x2 – 3x + 12x – 6 < 0
6x2 + 9x – 6 < 0 → inequação do segundo grau.
Igualamos a expressão algébrica a zero e encontramos os possíveis valores de x:
6x2 + 9x – 6 = 0
Δ = 25
x’ = 1/2
x’’ = -2
Com esses valores estudamos o sinal da inequação, dessa forma encontramos a solução da inequação – produto.

S = {x R / -2 < x < 1/2}
mundoeducacao
h(x) . w(x) > 0
h(x) . w(x) < 0
h(x) . w(x) ≠ 0
h(x) . w(x) ≥ 0
h(x) . w(x) ≤ 0
Sendo que h e w estão representando qualquer função (elemento). Por exemplo:
Qual seriam os possíveis valores de x para que o produto das funções h(x) = (3x + 6) e w(x) = (2x – 1) seja negativo?
É possível resolver de várias formas diferentes, dentre elas podemos destacar as seguintes:
• Para que esse produto seja negativo ele deverá ser menor que zero, portanto iremos representá-lo da seguinte forma: (3x + 6) . (2x – 1) < 0. Podemos estudar o sinal de cada uma das funções e em seguida estudar o sinal da inequação, assim serão encontrados os possíveis valores de x que satisfazem a desigualdade.
(3x + 6) . (2x – 1) < 0
h(x) = (3x + 6)
3x + 6 = 0
3x = -6
x = -2

w(x) = (2x – 1)
2x – 1 = 0
2x = 1
x = 1/2

Agora montamos a seguinte tabela que possibilitará encontrar os valores de x:

Portanto, teremos como solução da inequação: S = {x R / -2 < x < 1/2}
• Outra forma de encontrar o valor dessa mesma inequação – produto é transformá-la em uma inequação de 2º grau. Veja como isso acontece:
(3x + 6) . (2x – 1) < 0
6x2 – 3x + 12x – 6 < 0
6x2 + 9x – 6 < 0 → inequação do segundo grau.
Igualamos a expressão algébrica a zero e encontramos os possíveis valores de x:
6x2 + 9x – 6 = 0
Δ = 25
x’ = 1/2
x’’ = -2
Com esses valores estudamos o sinal da inequação, dessa forma encontramos a solução da inequação – produto.

S = {x R / -2 < x < 1/2}
mundoeducacao
Equação reduzida da reta
Equação reduzida da reta
Marcelo Rigonatto
Equação reduzida

Fazendo

Teremos:
y = mx + q → que é a equação reduzida da reta.
m = tgα, em que α é o ângulo formado entre a reta e o eixo x.
m é chamado de coeficiente angular da reta ou declividade da reta.
q é chamado de coeficiente linear da reta e é o ponto onde a reta corta o eixo x.
Exemplo1. Determine a equação reduzida da reta t que forma um ângulo de 135o com o eixo das abscissas e que passa pelo ponto P(4, 5).
Solução: Sabemos que α = 135o e que a equação reduzida da reta é da forma y = mx + q. Assim, temos que:
m = tg 135o = – 1
Como a reta t passa pelo ponto P, obtemos:
5 = -1*4 + q
q = 5 + 4 = 9
Portanto, a equação reduzida da reta t é y = – x + 9.
Exemplo 2. Determine a equação reduzida da reta s que passa pelos pontos A(1, 0) e B(3, 4).
Solução: Como conhecemos dois pontos da reta s, podemos encontrar sua equação geral.

Desenvolvendo o determinante obtemos:
2y – 4x + 4 = 0
Isolando y teremos:

Ou
y = 2x – 2
Observações:
Se a reta for horizontal, ela forma um ângulo nulo com o eixo x. Assim, m = tg 0o e a equação reduzida da reta será do tipo y = q.
Se a reta for vertical, ela forma um ângulo reto com o eixo x e, como não existe tg 90o, não é possível escrever a equação reduzida da reta.
quarta-feira, 21 de agosto de 2019
Área da Circunferência
Área da Circunferência
Marcelo Rigonatto
Circunferência
A = πr2 → fórmula para o cálculo da área de uma circunferência de raio r.
Vamos fazer alguns exemplos para entender a utilização da fórmula.
Exemplo 1. Determine a área de uma circunferência de raio medindo 20 cm. (Use π = 3,14)
Solução: Temos que
r = 20 cm
π = 3,14
A = ?
A = 3,14∙202
A = 3,14∙400
A = 1256 cm2
Exemplo 2. Calcule a área de uma circunferência de 30 cm de diâmetro. (Use π = 3,14)
Solução: Temos
d = 30 cm → r = d/2 → r = 15 cm
A = ?
A = 3,14∙152
A = 3,14∙225
A = 706,5 cm2
Exemplo 3. Se uma circunferência tem 43,96 cm de comprimento, qual será o tamanho de sua área? (Use π = 3,14)
Solução: Note que não temos a medida do raio da circunferência. Através do comprimento que foi dado, vamos encontrar a medida do raio. A fórmula do comprimento da circunferência é:
C = 2πr
Assim,
43,96 = 2∙3,14∙r
43,96 = 6,28∙r
r = 43,96/6,28
r = 7 cm
Conhecendo o valor do raio podemos calcular a área.
A=3,14∙72
A=3,14∙49
A=153,86 cm2
Exemplo 4. Um fazendeiro possui 628 m de tela para fazer um galinheiro. Existem dois projetos para a realização desse galinheiro: um galinheiro quadrado e um galinheiro circular. O fazendeiro irá optar pelo projeto que possuir a maior área. Qual dos dois projetos é o que irá satisfazer sua vontade? (Use π = 3,14)
Solução: Como o fazendeiro possui 628 m de tela para fazer o galinheiro, o perímetro do quadrado e da circunferência será de 628 m. Vamos então calcular a área de cada uma das figuras, usando a mesma quantidade de tela, e verificar qual dos projetos apresenta a maior área.
Área do quadrado:
Como o perímetro do quadrado é de 628 m, cada lado terá 157 m de comprimento. (628÷4)
Assim,
A = 1572
A = 24649 m2
Área da circunferência:
Sabemos que o comprimento da circunferência também é 628 m, pois temos a mesma quantidade de tela. Precisamos encontrar a medida do raio dessa circunferência.
C=2πr
628 = 2∙3,14∙r
628 = 6,28∙r
r = 628/6,28
r = 100 m
Assim,
A = 3,14∙1002
A = 3,14∙10000
A = 31400 m2
Portanto, o galinheiro que terá a maior área será o de formato circular.
Perímetro da circunferência
Perímetro da circunferência
Danielle de Miranda
Circunferência
Linha aberta.
Circunferência formada por uma linha.
Todas as circunferências são semelhantes entre si, pois podemos construir todas com um único centro.
Por isso que a razão entre seu comprimento C e o seu diâmetro 2r (duas vezes o raio) será sempre igual, ou seja, terá sempre o mesmo valor, independentemente do tamanho do seu comprimento e diâmetro.
C = constante
2r
Essa constante foi indicada pelo matemático grego Arquimedes de Siracusa como tendo o seu valor numérico aproximadamente 3,14 e simbolizado pela letra π, então:
C = π = 3,14
2r
Isolando o comprimento C, temos o perímetro da circunferência:
C = 2 π r
Probabilidade
PROBABILIDADE
A história da teoria das probabilidades, teve início com os jogos de cartas, dados e de roleta. Esse é o motivo da grande existência de exemplos de jogos de azar no estudo da probabilidade. A teoria da probabilidade permite que se calcule a chance de ocorrência de um número em um experimento aleatório.
Experimento Aleatório
É aquele experimento que quando repetido em iguais condições, podem fornecer resultados diferentes, ou seja, são resultados explicados ao acaso. Quando se fala de tempo e possibilidades de ganho na loteria, a abordagem envolve cálculo de experimento aleatório.
Espaço Amostral
É o conjunto de todos os resultados possíveis de um experimento aleatório. A letra que representa o espaço amostral, é S.
Exemplo:
Lançando uma moeda e um dado, simultaneamente, sendo S o espaço amostral, constituído pelos 12 elementos:
S = {K1, K2, K3, K4, K5, K6, R1, R2, R3, R4, R5, R6}
Escreva explicitamente os seguintes eventos: A={caras e m número par aparece}, B={um número primo aparece}, C={coroas e um número ímpar aparecem}.
Idem, o evento em que:
a) A ou B ocorrem;
b) B e C ocorrem;
c) Somente B ocorre.
Quais dos eventos A,B e C são mutuamente exclusivos
Resolução:
Para obter A, escolhemos os elementos de S constituídos de um K e um número par: A={K2, K4, K6};
Para obter B, escolhemos os pontos de S constituídos de números primos: B={K2,K3,K5,R2,R3,R5}
Para obter C, escolhemos os pontos de S constituídos de um R e um número ímpar: C={R1,R3,R5}.
(a) A ou B = AUB = {K2,K4,K6,K3,K5,R2,R3,R5}
(b) B e C = B Ç C = {R3,R5}
(c) Escolhemos os elementos de B que não estão em A ou C;
B Ç Ac Ç Cc = {K3,K5,R2}
A e C são mutuamente exclusivos, porque A Ç C = Æ
Conceito de probabilidade
Se em um fenômeno aleatório as possibilidades são igualmente prováveis, então a probabilidade de ocorrer um evento A é:

Propriedades Importantes:
1. Se A e A’ são eventos complementares, então:
P( A ) + P( A' ) = 1
2. A probabilidade de um evento é sempre um número entre Æ (probabilidade de evento impossível) e 1 (probabilidade do evento certo).
Probabilidade Condicional
Antes da realização de um experimento, é necessário que já tenha alguma informação sobre o evento que se deseja observar. Nesse caso, o espaço amostral se modifica e o evento tem a sua probabilidade de ocorrência alterada.
Fórmula de Probabilidade Condicional
P(E1 e E2 e E3 e ...e En-1 e En) é igual a P(E1).P(E2/E1).P(E3/E1 e E2)...P(En/E1 e E2 e ...En-1).
Onde P(E2/E1) é a probabilidade de ocorrer E2, condicionada pelo fato de já ter ocorrido E1;
P(E3/E1 e E2) é a probabilidade ocorrer E3, condicionada pelo fato de já terem ocorrido E1 e E2;
P(Pn/E1 e E2 e ...En-1) é a probabilidade de ocorrer En, condicionada ao fato de já ter ocorrido E1 e E2...En-1.
Exemplo:
Uma urna tem 30 bolas, sendo 10 vermelhas e 20 azuis. Se ocorrer um sorteio de 2 bolas, uma de cada vez e sem reposição, qual será a probabilidade de a primeira ser vermelha e a segunda ser azul?
Resolução:
Seja o espaço amostral S=30 bolas, e considerarmos os seguintes eventos:
A: vermelha na primeira retirada e P(A) = 10/30
B: azul na segunda retirada e P(B) = 20/29
Assim:
P(A e B) = P(A).(B/A) = 10/30.20/29 = 20/87
Eventos independentes
Dizemos que E1 e E2 e ...En-1, En são eventos independentes quando a probabilidade de ocorrer um deles não depende do fato de os outros terem ou não terem ocorrido.
Fórmula da probabilidade dos eventos independentes:
P(E1 e E2 e E3 e ...e En-1 e En) = P(E1).P(E2).p(E3)...P(En)
Exemplo:
Uma urna tem 30 bolas, sendo 10 vermelhas e 20 azuis. Se sortearmos 2 bolas, 1 de cada vez e repondo a sorteada na urna, qual será a probabilidade de a primeira ser vermelha e a segunda ser azul?
Resolução:
Como os eventos são independentes, a probabilidade de sair vermelha na primeira retirada e azul na segunda retirada é igual ao produto das probabilidades de cada condição, ou seja, P(A e B) = P(A).P(B). Ora, a probabilidade de sair vermelha na primeira retirada é 10/30 e a de sair azul na segunda retirada 20/30. Daí, usando a regra do produto, temos: 10/30.20/30=2/9.
Observe que na segunda retirada forma consideradas todas as bolas, pois houve reposição. Assim, P(B/A) =P(B), porque o fato de sair bola vermelha na primeira retirada não influenciou a segunda retirada, já que ela foi reposta na urna.
Probabilidade de ocorrer a união de eventos
Fórmula da probabilidade de ocorrer a união de eventos:
P(E1 ou E2) = P(E1) + P(E2) - P(E1 e E2)
De fato, se existirem elementos comuns a E1 e E2, estes eventos estarão computados no cálculo de P(E1) e P(E2). Para que sejam considerados uma vez só, subtraímos P(E1 e E2).
Fórmula de probabilidade de ocorrer a união de eventos mutuamente exclusivos:
P(E1 ou E2 ou E3 ou ... ou En) = P(E1) + P(E2) + ... + P(En)
Exemplo: Se dois dados, azul e branco, forem lançados, qual a probabilidade de sair 5 no azul e 3 no branco?
Considerando os eventos:
A: Tirar 5 no dado azul e P(A) = 1/6
B: Tirar 3 no dado branco e P(B) = 1/6
Sendo S o espaço amostral de todos os possíveis resultados, temos:
n(S) = 6.6 = 36 possibilidades. Daí, temos:P(A ou B) = 1/6 + 1/6 – 1/36 = 11/36
Exemplo: Se retirarmos aleatoriamente uma carta de baralho com 52 cartas, qual a probabilidade de ser um 8 ou um Rei?
Sendo S o espaço amostral de todos os resultados possíveis, temos: n(S) = 52 cartas. Considere os eventos:
A: sair 8 e P(A) = 4/52
B: sair um rei e P(B) = 4/52
Assim, P(A ou B) = 4/52 + 4/52 – 0 = 8/52 = 2/13. Note que P(A e B) = 0, pois uma carta não pode ser 8 e rei ao mesmo tempo. Quando isso ocorre dizemos que os eventos A e B são mutuamente exclusivos.
Professor Antonio Carlos Carneiro Barroso
http://ensinodematemtica.blogspot.com
extraido de www.somatematica.com.br
A história da teoria das probabilidades, teve início com os jogos de cartas, dados e de roleta. Esse é o motivo da grande existência de exemplos de jogos de azar no estudo da probabilidade. A teoria da probabilidade permite que se calcule a chance de ocorrência de um número em um experimento aleatório.
Experimento Aleatório
É aquele experimento que quando repetido em iguais condições, podem fornecer resultados diferentes, ou seja, são resultados explicados ao acaso. Quando se fala de tempo e possibilidades de ganho na loteria, a abordagem envolve cálculo de experimento aleatório.
Espaço Amostral
É o conjunto de todos os resultados possíveis de um experimento aleatório. A letra que representa o espaço amostral, é S.
Exemplo:
Lançando uma moeda e um dado, simultaneamente, sendo S o espaço amostral, constituído pelos 12 elementos:
S = {K1, K2, K3, K4, K5, K6, R1, R2, R3, R4, R5, R6}
Escreva explicitamente os seguintes eventos: A={caras e m número par aparece}, B={um número primo aparece}, C={coroas e um número ímpar aparecem}.
Idem, o evento em que:
a) A ou B ocorrem;
b) B e C ocorrem;
c) Somente B ocorre.
Quais dos eventos A,B e C são mutuamente exclusivos
Resolução:
Para obter A, escolhemos os elementos de S constituídos de um K e um número par: A={K2, K4, K6};
Para obter B, escolhemos os pontos de S constituídos de números primos: B={K2,K3,K5,R2,R3,R5}
Para obter C, escolhemos os pontos de S constituídos de um R e um número ímpar: C={R1,R3,R5}.
(a) A ou B = AUB = {K2,K4,K6,K3,K5,R2,R3,R5}
(b) B e C = B Ç C = {R3,R5}
(c) Escolhemos os elementos de B que não estão em A ou C;
B Ç Ac Ç Cc = {K3,K5,R2}
A e C são mutuamente exclusivos, porque A Ç C = Æ
Conceito de probabilidade
Se em um fenômeno aleatório as possibilidades são igualmente prováveis, então a probabilidade de ocorrer um evento A é:

Propriedades Importantes:
1. Se A e A’ são eventos complementares, então:
P( A ) + P( A' ) = 1
2. A probabilidade de um evento é sempre um número entre Æ (probabilidade de evento impossível) e 1 (probabilidade do evento certo).
Probabilidade Condicional
Antes da realização de um experimento, é necessário que já tenha alguma informação sobre o evento que se deseja observar. Nesse caso, o espaço amostral se modifica e o evento tem a sua probabilidade de ocorrência alterada.
Fórmula de Probabilidade Condicional
P(E1 e E2 e E3 e ...e En-1 e En) é igual a P(E1).P(E2/E1).P(E3/E1 e E2)...P(En/E1 e E2 e ...En-1).
Onde P(E2/E1) é a probabilidade de ocorrer E2, condicionada pelo fato de já ter ocorrido E1;
P(E3/E1 e E2) é a probabilidade ocorrer E3, condicionada pelo fato de já terem ocorrido E1 e E2;
P(Pn/E1 e E2 e ...En-1) é a probabilidade de ocorrer En, condicionada ao fato de já ter ocorrido E1 e E2...En-1.
Exemplo:
Uma urna tem 30 bolas, sendo 10 vermelhas e 20 azuis. Se ocorrer um sorteio de 2 bolas, uma de cada vez e sem reposição, qual será a probabilidade de a primeira ser vermelha e a segunda ser azul?
Resolução:
Seja o espaço amostral S=30 bolas, e considerarmos os seguintes eventos:
A: vermelha na primeira retirada e P(A) = 10/30
B: azul na segunda retirada e P(B) = 20/29
Assim:
P(A e B) = P(A).(B/A) = 10/30.20/29 = 20/87
Eventos independentes
Dizemos que E1 e E2 e ...En-1, En são eventos independentes quando a probabilidade de ocorrer um deles não depende do fato de os outros terem ou não terem ocorrido.
Fórmula da probabilidade dos eventos independentes:
P(E1 e E2 e E3 e ...e En-1 e En) = P(E1).P(E2).p(E3)...P(En)
Exemplo:
Uma urna tem 30 bolas, sendo 10 vermelhas e 20 azuis. Se sortearmos 2 bolas, 1 de cada vez e repondo a sorteada na urna, qual será a probabilidade de a primeira ser vermelha e a segunda ser azul?
Resolução:
Como os eventos são independentes, a probabilidade de sair vermelha na primeira retirada e azul na segunda retirada é igual ao produto das probabilidades de cada condição, ou seja, P(A e B) = P(A).P(B). Ora, a probabilidade de sair vermelha na primeira retirada é 10/30 e a de sair azul na segunda retirada 20/30. Daí, usando a regra do produto, temos: 10/30.20/30=2/9.
Observe que na segunda retirada forma consideradas todas as bolas, pois houve reposição. Assim, P(B/A) =P(B), porque o fato de sair bola vermelha na primeira retirada não influenciou a segunda retirada, já que ela foi reposta na urna.
Probabilidade de ocorrer a união de eventos
Fórmula da probabilidade de ocorrer a união de eventos:
P(E1 ou E2) = P(E1) + P(E2) - P(E1 e E2)
De fato, se existirem elementos comuns a E1 e E2, estes eventos estarão computados no cálculo de P(E1) e P(E2). Para que sejam considerados uma vez só, subtraímos P(E1 e E2).
Fórmula de probabilidade de ocorrer a união de eventos mutuamente exclusivos:
P(E1 ou E2 ou E3 ou ... ou En) = P(E1) + P(E2) + ... + P(En)
Exemplo: Se dois dados, azul e branco, forem lançados, qual a probabilidade de sair 5 no azul e 3 no branco?
Considerando os eventos:
A: Tirar 5 no dado azul e P(A) = 1/6
B: Tirar 3 no dado branco e P(B) = 1/6
Sendo S o espaço amostral de todos os possíveis resultados, temos:
n(S) = 6.6 = 36 possibilidades. Daí, temos:P(A ou B) = 1/6 + 1/6 – 1/36 = 11/36
Exemplo: Se retirarmos aleatoriamente uma carta de baralho com 52 cartas, qual a probabilidade de ser um 8 ou um Rei?
Sendo S o espaço amostral de todos os resultados possíveis, temos: n(S) = 52 cartas. Considere os eventos:
A: sair 8 e P(A) = 4/52
B: sair um rei e P(B) = 4/52
Assim, P(A ou B) = 4/52 + 4/52 – 0 = 8/52 = 2/13. Note que P(A e B) = 0, pois uma carta não pode ser 8 e rei ao mesmo tempo. Quando isso ocorre dizemos que os eventos A e B são mutuamente exclusivos.
Professor Antonio Carlos Carneiro Barroso
http://ensinodematemtica.blogspot.com
extraido de www.somatematica.com.br
Funções Seno,cosseno e Tangente
Colégio Estadual Dinah Gonçalves
email accbarroso@hotmail.com
Considere o ciclo trigonométrico (circulo de raio unitário, r = 1) e T a intersecção da reta OM com o eixo das tangentes (reta perpendicular ao eixo x, que passa pelo ponto A).

tangente
O arco AM corresponde ao ângulo central θ.
Definimos como tangente do ângulo θ (ou do arco AM) a medida algébrica do segmento AT, e é indicado como:
tg θ = AT
Agora observe que o triângulo retângulo OM’M e OAT são semelhantes. Portanto estabelecemos a relação:
tangente2
Sabemos que:
* OM’ = cos θ
* M’M = sen θ
* AT = tg θ
* OA = r = 1
portanto:

Valores importantes de tg θ:

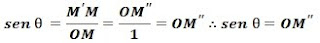
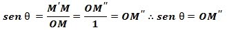
Seno
Considere o ciclo trigonométrico (circulo de raio unitário, r = 1) no qual marcamos o ponto M, que é imagem, no ciclo, do número real θ, conforme é mostrado na figura a seguir.

O arco AM corresponde ao ângulo central θ.
Seja OM o raio do ciclo, e M” e M’ as projeções do ponto nos eixos y e x, respectivamente.
Definimos como seno do ângulo (ou do arco AM) a ordenada do ponto M, e é indicado como:
sen θ = OM”, sendo OM” a ordenada do ponto M.
Agora observe o triângulo retângulo OM’M. Também podemos definir o seno do ângulo θ como sendo a razão entre o cateto oposto ao ângulo θ e a hipotenusa do triângulo OM’M. Veja:

Valores importantes de sen θ:

Cosseno
Considere o ciclo trigonométrico (circulo de raio unitário, r = 1) no qual marcamos o ponto M, que é imagem, no ciclo, do número real θ, conforme é mostrado na figura a seguir.

cosseno
O arco AM corresponde ao ângulo central θ.
Seja OM o raio do ciclo, e M” e M’ as projeções do ponto M nos eixos y e x, respectivamente.
Definimos como cosseno do ângulo θ (ou do arco AM) a abscissa do ponto M, e é indicado como:
cos θ = OM’, sendo OM’ a abscissa do ponto M.
Agora observe o triângulo retângulo OM’M. Também podemos definir o cosseno do ângulo θ, como sendo a razão entre o cateto adjacente ao ângulo θ e a hipotenusa do triângulo OM’M . Veja:

cosseno2Abaixo, os valores mais importantes de cos θ:

cosseno3
Referências bibliográficas:
GIOVANNI, José Ruy; BONJORNO, José Roberto; GIOVANNI JR.,José Ruy. Matemática Fundamental. FTD S.A.
Trigonometria, Período das funções
Colégio Estadual Dinah Gonçalves
email accbarroso@hotmail.com
Considere uma função y = f(x) de domínio D. Seja x Î D um elemento do domínio da função f. Consideremos um elemento p Î D.
Se f(x+p) = f(x) para todo x Î D, dizemos que a função f é periódica.
Ao menor valor positivo de p , denominamos período da função f.
Complicado? Não!
Veja o exemplo abaixo:
Seja y = f(x) = senx
Temos que f(x+2p ) = sen(x+2p ) = senx.cos2p + sen2p .cosx =senx .1 + 0.cosx = senx
ou seja, f(x+2p ) = f(x).
Portanto, sen(x+2p ) = senx
Da definição acima, concluímos que o período da função y = senx é igual a 2p radianos.
Analogamente, concluiríamos que:
O período da função y = cosx é 2p radianos.
O período da função y = secx é 2p radianos.
O período da função y = cosecx é 2p radianos.
O período da função y = tgx é p radianos.
O período da função y = cotgx é p radianos.
cos(x+2p ) = cosx|
sec(x+2p ) = secx
cosec(x+2p ) = cosecx
tg(x+p ) = tgx
cotg(x+p ) = cotgx
De uma forma genérica, poderemos dizer que o período T da função
y = a+b.sen(rx + q)
é dado por:
Observe que somente o coeficiente de x tem influencia para o cálculo do período da função.
A fórmula acima aplica-se também para o caso da função y = a + b.cos(rx+q).
No caso das funções y = a + b.tg(rx+q) ou y = a + b.cotg(rx+q) a fórmula a ser aplicada para o cálculo do período T é:
Exemplos:
Determine o período das seguintes funções trigonométricas:
a) y = sen(2x - 45º)
Resposta: T = 2p /2 = p radianos
b) y = 2.cos(3x+45º)
Resposta: T = 2p /3 rad = 120º . (Lembre-se que p rad = 180º).
c) y = 5 + 10.cos(p x + 2)
Resposta: T = 2p /p = 2 rad
d) y = tg(2x - p )
Resposta: T = p /2 rad
e) y = sen2x.cos4x + sen4x.cos2x
Resposta: A função pode ser escrita como y = sen(2x+4x) = sen6x
Logo, T = 2p /6 = p /3 rad ou 60º.
f) y = senx + cosx
Resposta: Antes de aplicar a fórmula do período, temos que transformar a soma do segundo membro, num produto. Logo,
y = senx + sen(90º - x)Observe que sen(90º-x) = sen90º.cosx - senx.cos90º = cosx.
Logo, a função dada poderá ser escrita como, usando a fórmula de transformação da soma de senos em produto.
Portanto o período procurado será T = 2p /1 = 2p rad.
Agora resolva estes:
Determine o período das seguintes funções:
a) y = sen10x
Resposta: T = p /5 rad.
b) y = 1 + cos(2x+p /4)
Resposta: T = p rad.
c) y = sen(x/3) + cos(x/2)
Resposta: T = 12p rad.
fonte: /www.algosobre.com.br
Equações trigonométricas
Colégio Estadual Dinah Gonçalves
email accbarroso@hotmail.com
Equações Trigonométricas
INTRODUÇÃO
Quando encontramos função trigonométrica da incógnita ou função trigonométrica de alguma função da incógnita em pelo menos um dos membros de uma equação, dizemos que esta equação é trigonométrica.
Exemplos:
1) sen x + cos x =
e sen 2x = cos2 x são equações trigonométricas.
1) sen x + cos x =
2) x + ( tg 30º) . x2 e x + sen 60º =
não são equações trigonométricas.
Dizemos que r é uma raiz ou solução da equação trigonométrica f(x) = g(x) se r for elemento do domínio de f e g e se f(r) = g(r) for verdadeira.
Na equação sen x - sen
O conjunto S de todas as raízes da equação é o seu conjunto solução ou conjunto verdade.
Quase todas as equações trigonométricas, quando convenientemente tratadas e transformadas, podem ser reduzidas a pelo menos uma das três equações seguintes:
sen x = sen a
|
cos x = cos a
|
tg x = tg a
|
Estas são as equações trigonométricas elementares ou equações trigonométricas fundamentais.
RESOLUÇÃO DA 1ª EQUAÇÃO FUNDAMENTAL
Ela baseia-se no fato de que, se dois arcos têm o mesmo seno, então eles são côngruos ou suplementares.

Logo, podemos escrever que:
sen x = sen a ![]() |

Logo, podemos escrever que:
cos x = cos a
|

Logo, podemos escrever que:
www.somatematica.com.br
Assinar:
Postagens (Atom)
