sexta-feira, 30 de agosto de 2019

Função do 2º grau

Professor de Matemática Antonio Carlos Carneiro Barroso
Colégio Estadual Dinah Gonçalves
email accbarroso@hotmail.com
Uma função para ser do 2º grau precisa assumir algumas características, pois ela deve ser dos reais para os reais, definida pela fórmula f(x) = ax2 + bx + c, sendo que a, b e c são números reais com a diferente de zero. Concluímos que a condição para que uma função seja do 2º grau é que o valor de a, da forma geral, não pode ser igual a zero.

Então, podemos dizer que a definição de função do 2º grau é: f: R→ R definida por f(x) = ax2 + bx + c, com a Є R* e b e c Є R.

Numa função do segundo grau, os valores de b e c podem ser iguais a zero, quando isso ocorrer, a equação do segundo grau será considerada incompleta.

Veja alguns exemplos de Função do 2º grau:

f(x) = 5x2 – 2x + 8; a = 5, b = – 2 e c = 8 (Completa)

f(x) = x2 – 2x; a = 1, b = – 2 e c = 0 (Incompleta)

f(x) = – x2; a = –1, b = 0 e c = 0 (Incompleta)

Toda função do 2º grau também terá domínio, imagem e contradomínio.

Exemplo 1

A função do 2º grau f(x) = – x2 + x – 2, pode ser representada por y = – x2 + x – 2. Para acharmos o seu domínio e contradomínio, devemos primeiro estipular alguns valores para x. Vamos dizer que x = –3; –2; –1; 0; 1; 2. Para cada valor de x teremos um valor em y, veja:

x = – 3
y = – (–3)2 + (–3) – 2
y = –9 – 3 – 2
y = – 12 – 2
y = – 14

x = – 2
y = –( – 2)2 + (– 2) – 2
y = – 4 – 2 – 2
y = – 8

x = –1
y = – (–1)2 + (–1) – 2
y = – 1 – 1 – 2
y = – 2 – 2
y = – 4

x = 0
y = 02 + 0 – 2
y = – 2

x = 1
y = – 12 + 1 – 2
y = – 1 + 1 – 2
y = – 2


x = 2
y = – 22 + 2 – 2
y = – 4 + 2 – 2
y = – 4

Exemplo 2

Dada a função y = 2x2 + x + 3, determine o conjunto imagem referente aos domínios –2, –1, 0, 1, 2, 3, 4.

x = –2
y = 2*(–2)2 + (–2) + 3
y = 2*4 – 2 + 3
y = 8 – 2 + 3
y = 9

x = –1
y = 2*(–1)2 + (–1) + 3
y = 2 – 1 + 3
y = 4

x = 0
y = 2*02 + 0 + 3
y = 3

x = 1
y = 2*12 + 1 + 3
y = 2 + 1 + 3
y = 6

x = 2
y = 2*22 + 2 + 3
y = 8 + 2 + 3
y = 13

x = 3
y = 2*32 + 3 + 3
y = 18 + 3 + 3
y = 24

x = 4
y = 2*42 + 4 + 3
y = 32 + 4 + 3
y = 39

Exemplo 3

Com relação à função f(x) = 3x2 – 5x + m2 – 9, sabe-se que f(0) = 0. Calcule o valor de m.

f(0) = 0, isso significa que x = 0 e y = 0. A função f(x) = 3x2 – 5x + m2 – 9 pode ser escrita assim: y = 3x2 – 5x + m2 – 9, agora basta fazer as substituições:

f(x) = 3x2 – 5x + m2 – 9
f(0) = 3 * 02 – 5 * 0 + m2 – 9
0 = m2 – 9
m2 = 9
m = √9
m = – 3 ou + 3
Marcos Noé Pedro da Silva

Distância entre dois pontos

Professor de Matemática e Ciências Antonio Carlos Carneiro Barroso
Colégio Estadual Dinah Gonçalves
email accbarroso@hotmail.com
Blog HTTP://ensinodematemtica.blogspot.com
http://accbarrosogestar.blogspot.com.br

Distância entre dois pontos

Carlos Alberto Campagner
A simples medida da distância entre dois pontos, que envolve a utilização de réguas e escalas, na geometria analítica, se resume a uma fórmula facilmente dedutível:


reprodução


O triangulo ABC é um triângulo retângulo, portanto vale o teorema Pitágoras, em que a distância AB é a hipotenusa, logo:


reprodução

Elipse

Colégio Estadual Dinah Gonçalves
email accbarroso@hotmail.com        
       



ELIPSE

É o lugar geométrico dos pontos de um plano tal que a soma de suas distâncias a dois pontos fixos, denominados focos, F1 e F2, é constante, igual a 2a e maior que a distância entre os focos (2a > 2c)



EQUAÇÃO DA ELIPSE COM CENTRO NA ORIGEM
Considere a elipse com as extremidades do eixo maior nos pontos A1(-a, 0) e A2(a, 0), do eixo menor em B1(0, b) e B2(0, -b) e, conseqüentemente, o centro em O (0, 0). Considere também um ponto P (x, y) qualquer da curva. Com isso, obteremos, depois de certos procedimentos matemáticos, a equação reduzida da elipse.





HIPÉRBOLE

É lugar geométrico dos pontos P (x, y) de um plano tal que a diferença (em módulo) de suas distâncias a dois pontos fixos F1 e F2 é constante (2a < 2c), com . = 2c.



extraido de www.colegioweb.com.br

Elipse



Entende-se por elipse o lugar geométrico de um plano onde a soma da distância de sua extremidade a dois pontos fixos, chamados de focos, F1 e F2, resulta em uma constante 2a, onde 2a > 2c.


Na ilustração da elipse acima temos:

F1 e F2 são os focos da elipse e a distância entre eles é a distância focal (2c).
O segmento A1A2 é o maior eixo da elipse e sua medida é a soma da definição 2a.
O segmento B1B2 é o menor eixo da elipse e sua medida corresponde a 2b.
O centro O é o ponto médio entre os eixos da elipse e os focos A1A2 e F1F2.
A excentricidade da elipse é calculada pela razão entre c e a.

Na elipse, a relação de Pitágoras é válida entre as medidas de a, b e c. Dessa forma, temos que:
a² = b² + c²

Equação reduzida da elipse

De acordo com a posição dos focos em relação aos eixos das abscissas e das ordenadas, a elipse possui as seguintes equações reduzidas:





Exemplo 1

Vamos determinar as equações das seguintes elipses:

a)


a² = b² + c²
a² = 6² + 8²
a² = 36 + 64
a² = 100
a = 10

Equação:






b)



a² = b² + c²
a² = 5² + 12²
a² = 25 + 144
a² = 169
a = 13

Equação:



Exemplo 2

Vamos determinar os focos e as extremidades do eixo maior da elipse de equação 9x² + 36y² = 144.

Temos que 16 > 4, portanto, o eixo maior está na abscissa (x). Dessa forma:

a² = 16 → a = 4
b² = 4 → a = 2

a² = b² + c² → 16 = 2 + c² → c² = 16 – 2 → c² = 14

Os focos são F1(14,0) e F2(–14,0) e as extremidades dos eixos maiores são A1(5,0) e A2(–5,0).

A elipse possui uma importante aplicação na Astronomia, pois os planetas descrevem movimentos elípticos em órbita do sol, estando localizados nos focos da elipse. Essa teoria foi descoberta e comprovada por Johannes Kepler (1571 – 1630), grande astrônomo alemão.
extraido de www.mundoeducacao.com.br

Experimento aleatório

Todo experimento aleatório - os fenômenos casuais onde as experiências são repetidas inúmeras vezes sob condições iguais, mas não apresentam os mesmos resultados - constitui o conjunto formado por todos os resultados possíveis. Esse conjunto é denominado de espaço amostral, e qualquer subconjunto dele é chamado de evento. Portanto, temos que o espaço amostral constitui todos os resultados possíveis e o evento, os casos favoráveis. Vamos abordar alguns exemplos que exploram de forma geral essas definições.

Exemplo 1

No lançamento simultâneo de dois dados, um branco e um preto, há um espaço amostral gerado. Vamos determinar todos os possíveis resultados deste lançamento.

(1,1) (2,1) (3,1) (4,1) (5,1) (6,1)
(1,2) (2,2) (3,2) (4,2) (5,2) (6,2)
(1,3) (2,3) (3,3) (4,3) (5,3) (6,3)
(1,4) (2,4) (3,4) (4,4) (5,4) (6,4)
(1,5) (2,5) (3,5) (4,5) (5,5) (6,5)
(1,6) (2,6) (3,6) (4,6) (5,6) (6,6)

O resultado possível no lançamento simultâneo de dois dados resulta em 36.

Com base nesse espaço amostral, podemos determinar qualquer evento pertencente ao conjunto dos possíveis resultados.

Evento A – faces iguais
A = {(1,1), (2,2), (3,3), (4,4), (5,5), (6,6)}

Evento B – soma maior que 10
B = {(5,6), (6,5), (6,6)}

Evento C – sair soma 6
C = {(1,5), (5,1), (2,4), (4,2), (3,3)}

Evento D – soma 7
D = {(1,6), (6,1), (2,5), (5,2), (3,4), (4,3)}

Evento E – soma menor que 5
E = {(1,1), (1,2), (2,1), (1,3), (3,1), (2,2)}


Exemplo 2

Uma urna contém uma bola verde e três brancas. Defina o espaço amostral do experimento “retirar uma bola ao acaso” e os eventos: retirar bola verde e retirar bola branca.

Possíveis resultados (espaço amostral): {verde, branca 1, branca 2, branca 3}, constituído de 4 elementos.

Evento retirar bola verde: {verde}, possui 1 elemento.

Evento retirar bola branca: {branca 1, branca 2, branca 3}, possui 3 elementos.


Exemplo 3

Numa caixa existem fichas numeradas de 1 a 10. Defina o espaço amostral do experimento “retirar fichas ao acaso” e defina os eventos: ocorrência de número ímpar, ocorrência de número primo e ocorrência de número maior que 4.

Possíveis resultados (espaço amostral): {1, 2, 3, 4, 5, 6, 7, 8, 9, 10}

Evento ocorrência de número ímpar: {1, 3, 5, 7, 9}

Evento ocorrência de número primo: {2, 3, 5, 7}

Evento ocorrência de número maior que 4: {5, 6, 7, 8, 9, 10}
www.mundoeducacao.com.br/

Tecido Ósseo

O tecido ósseo é altamente rígido e resistente e suas funções estão relacionadas à sustentação e proteção de órgãos vitais do organismo. Proporciona apoio aos músculos esqueléticos, traduzindo suas contrações em movimentos, além de ser um depósito de cálcio, fosfato e mais alguns íons, liberando-os no organismo de forma controlada.

Este tecido é formado por células e material extracelular calcificado, chamado de matriz óssea. A nutrição de uma das células formadoras do tecido ósseo (osteócitos) depende dos canalículos presentes na matriz, que possibilitam as trocas de íons e moléculas entre os capilares e estas células ósseas. Os ossos são recobertos na sua face interna (endósteo) e externa (periósteo) por uma camada de tecido que possui células osteogênicas.

As células que compõe o tecido ósseo são:
Osteócitos

Ficam localizados em cavidades na matriz óssea, chamadas de lacunas, sendo que cada uma abriga apenas um osteócito. Por entre os canalículos estas células se comunicam e trocam moléculas e íons pelas junções gap (junções celulares). Possuem um formato achatado, semelhantes a amêndoas, possuem certa quantidade de retículo endoplasmático rugoso, complexo de Golgi pequeno e núcleo com cromatina condensada. São células de extrema importância na manutenção da matriz óssea.
Osteoblasto

Estas células produzem a parte orgânica da matriz óssea. Possuem a capacidade de armazenar fosfato de cálcio, participando na mineralização da matriz. Encontram-se dispostas lado a lado na superfície óssea e, quando estão em alta atividade de síntese apresentam formato cubóide, com citoplasma basófilo; quando em estado de pouca atividade, tornam-se achatados e o citoplasma se torna menos basófilo. Quando esta célula passa a ficar aprisionada na matriz óssea, torna-se um osteócito.
Osteoclasto

São células gigantes, móveis, muito ramificadas, contendo inúmeros núcleos, com citoplasma granuloso, certas vezes com vacúolos, pouco basófilos nas células jovens e acidófilos nas células mais velhas. As lacunas cavadas na matriz óssea, pelos osteoclastos, recebem o nome de lacunas de Howship. Os osteoclástos apresentam prolongamentos vilosos, ao redor desta área de prolongamento existe uma zona citoplasmática, chamada zona clara que é pobre em organelas, porém rica em filamentos de actina. Esta zona é um local de adesão do osteoclasto com a matriz óssea e cria um ambiente fechado, onde ocorre a reabsorção óssea.

Principais estruturas do tecido ósseo

O tecido ósseo divide-se em dois tipos:
Osso compacto

Não possui espaço medular, mas possui canais que abrigam nervos e vasos sanguíneos, conhecidos como canais de Volkmann e canais de Havers. Presente, quase que na totalidade da diáfise de ossos longos, na periferia de ossos curtos, nos ossos chatos formando duas camadas que recebem o nome de tábuas interna e externa.
Osso esponjoso

Apresenta amplos espaços medulares, formados por diversas trabéculas, conferindo ao osso, um aspecto poroso, abrigando a medula óssea. É encontrado na parte mais profunda da diáfise de ossos longos, no centro de ossos curtos e separando as tábuas interna e externa dos ossos chatos.

Existe outra classificação dos ossos:
Tecido ósseo primário ou imaturo

É o primeiro tecido ósseo que aparece no osso, sendo substituído aos poucos por tecido ósseo lamelar. Em adultos, persiste apenas perto das suturas dos ósseos do crânio, nos alvéolos dentários e em algumas regiões de inserção dos tendões.
Tecido ósseo secundário ou lamelar

Geralmente é encontrado nos adultos, sendo que sua característica principal reside no fato de possui fibras colágenas organizadas em lamelas, paralelas, ou dispostas de forma concêntrica ao redor dos canais e vasos, dando origem aos sistemas de Havers.

Fontes:
http://pt.wikipedia.org/wiki/Tecido_Ósseo
Histologia Básica – Luiz C. Junqueira e José Carneiro. Editora Guanabara Koogan S.A. (10° Ed), 2004.

Análise Sintática do Período Simples


Frase é todo enunciado (palavra ou conjunto de palavras) que apresente sentido complexo.
Ex.: Até logo! Psiu! Espero que todos aprendam.

Oração é a frase ou fragmento de frase que contém um verbo ou expressão verbal.
Ex.:
Estamos muito bem. Quero [Oração] / que todos participem [Oração].
Ele não tem trabalhado ultimamente.

Período é o conjunto formado por uma (período simples) ou várias orações (período composto). Ex.: Estamos muito bem. (Período simples / oração absoluta). Quero que todos aprendam. (Período composto).

Os termos oracionais estão classificados em:

- Essenciais
- Integrantes
- Acessórios
- Independente

Predicado


Predicado é o termo essencial da oração que constitui a parte da enunciação referente ao sujeito. É a parte da oração que contém os verbos referentes ao sujeito. Os predicados podem se apresentar como: predicados nominais (têm um nome como núcleo de significação), predicados verbais (têm um verbo como núcleo central de significação) e predicados verbo-nominais (composto por verbos e nomes como núcleos significativos).

Predicado Nominal

Predicado nominal é o predicado que apresenta um nome como núcleo significativo. Os predicados nominais são formados com a presença de um verbo de ligação mais um predicativo.

Exemplos:
Ele está só, Os dias permanecem os mesmos;
Ficamos muito bem por aqui;
Isto parece uma grande mentira.

Predicado Verbal

Predicado verbal é o predicado que apresenta um verbo como núcleo significativo. Os predicados verbais são formados com a presença de verbos transitivos e intransitivos.

Exemplos:
O escritor criou seu universo fictício;
João deu asas à imaginação;
Assim que o trem parou, os passageiros desceram.

Predicado Verbo-Nominal

Predicado verbo-nominal é o predicado que apresenta um verbo e um predicativo como núcleos de significação.

Exemplos:
Magda abriu o pacote, surpresa;
E então, o rapaz perguntou ao mestre, aflito.

Predicativo do Objeto

Predicativo do objeto é um agente modificador do objeto. Esse predicativo ocorre apenas nos predicados verbo-nominais.

Exemplos: Os incidentes constantes o tornaram insensível;
Encontraram a criança fatigada e triste.

Aceleração

Cinemática - Aceleração Escalar

1. Aceleração Escalar Média
A aceleração escalar é a a grandeza física que nos indica o ritmo com que a velocidade escalar de um móvel varia.
A aceleração é uma grandeza causada pelo agente físico força. Quando um móvel receber a ação de uma força, ou de um sistema de forças, pode ficar sujeito a uma aceleração e, conseqüentemente, sofrerá variação de velocidade.
Definição:
Aceleração escalar média é a razão entre a variação de velocidade escalar instantânea e o correspondente intervalo de tempo.
Assim, escrevemos:
Aceleração Escalar Aceleração Escalar Aceleração Escalar

No Sistema Internacional (SI), a unidade para a aceleração escalar média é o metro por segundo por segundo (m/s/s), que abreviamos por m/s2. Outras unidades podem ser utilizadas, tais como cm/s2 e km/h2.
A aceleração escalar média apresenta o mesmo sinal da variação de velocidade escalar instantânea (deltaVelocidade instantânea), pois o intervalo de tempo (delta tempo) é sempre positivo.
Quando informamos que num certo intervalo de tempo o móvel teve uma aceleração escalar média de 2 m/s2, isto significa que em média a sua velocidade escalar esteve aumentando de 2m/s a cada segundo. Por outro lado, uma aceleração escalar média de - 2 m/s2, quer dizer que sua velocidade escalar esteve diminuindo em média de 2 m/s a cada segundo.
2. Aceleração Escalar Instantânea
De modo análogo à velocidade escalar instantânea, podemos obter a aceleração escalar instantânea, partindo da expressão que nos fornece a aceleração escalar média (deltavelocidade instantânea/delta tempo), fazendo tender a zero. Com este procedimento, a aceleração escalar média tende para um valor denominado de aceleração escalar instantânea:
Aceleração Escalar
Em termos práticos, vamos determinar a aceleração instantânea da seguinte forma:
Aceleração Escalar
A aceleração escalar instantânea representa a aceleração do móvel num determinado instante (t) e, mais precisamente, seu cálculo é feito através do processo de derivação, análogo ao ocorrido com a velocidade escalar instantânea.
A aceleração escalar instantânea de um móvel é obtida através da derivada da função horária de sua velocidade escalar.
Simbolicamente, isto é expresso assim:
Aceleração Escalar
3. Classificação
Sabemos que o velocímetro de um veículo indica o módulo de sua velocidade escalar instantânea. Quando as suas indicações são crescentes, está ocorrendo um movimento variado do tipo acelerado. Quando o velocímetro indica valores decrescentes, o movimento é classificado como retardado.
De modo geral, podemos detalhar esses casos assim:
a) O móvel se movimenta com uma velocidade escalar instantânea, cujo módulo aumenta em função do tempo. O movimento é denominado acelerado.
Aceleração Escalar
Para que isto ocorra, a aceleração escalar instantânea deve ser no mesmo sentido da velocidade escalar instantânea, ou seja, Velocidade Instantânea e aceleração possuem o mesmo sinal.
b) O móvel se movimenta com velocidade escalar instantânea cujo módulo diminui em função do tempo. O movimento é denominado retardado.
Aceleração Escalar
Para que isto ocorra, a aceleração escalar instantânea deve ser no sentido oposto ao da velocidade escalar instantânea, ou seja, Velocidade Instantânea e aceleração possuem sinais opostos.
c) O móvel se movimenta com velocidade escalar instantânea constante em função do tempo. O movimento é denominado uniforme. Para que isto ocorra, a aceleração escalar instantânea deve ser nula ( aceleração = 0).
Observação – Tanto o movimento acelerado quanto o retardado podem apresentar uma aceleração escalar instantânea constante. Neste caso, o movimento recebe a denominação de uniformemente acelerado ou retardado
www.vestibulandoweb.com.br

Determinante de matriz de ordem 1, 2 ou 3

Podemos calcular o determinante de qualquer matriz desde que essa seja quadrada, ou seja, que a matriz tenha o mesmo número de linhas e de colunas (seja uma matriz de ordem n x n).

Podemos dizer que determinante de uma matriz quadrada é o seu valor numérico.

Os elementos de uma matriz podem ser colocados entre parênteses, colchetes ou entre duas barras duplas e os elementos dos determinantes são colocados entre duas barras.

Matriz de ordem 1

Quando uma matriz possui apenas um elemento ou possui apenas uma linha e uma coluna, dizemos que essa matriz é de ordem 1. Veja alguns exemplos:

Se A = [10], então o seu determinante será representado assim: det A = |10| = 10

Se B = (-25), então o seu determinante será representado assim: det B = |-25| = -25

Podemos concluir que o determinante de ordem 1 terá o seu valor numérico sempre igual ao seu elemento.
Matriz de ordem 2
Dada a matriz A de ordem dois A = , o seu determinante será calculado da seguinte forma:

O determinante de ordem dois possui uma diagonal principal e uma diagonal secundária.



O cálculo do seu valor numérico é feito pela diferença do produto da diagonal principal com o produto da diagonal secundária.

det A = = - 3 – (- 10) = - 3 + 10 = 7

Matriz de ordem 3

Dada a matriz de ordem 3, B = o valor numérico do seu determinante é calculado da seguinte forma:

Primeiro representamos essa matriz em forma de determinante e repetimos as duas primeiras colunas.

det B =

Depois calculamos os produtos das diagonais principais e os produtos das diagonais secundárias.

det B =

Deve-se pegar o oposto dos produtos das diagonais secundárias e somar com os produtos das diagonais principais.

Det B = 0 – 40 + 0 – 15 + 0 – 4 = -59

Essa regra utilizada no cálculo do determinante de matriz de ordem 3 é chamada de Regra de Sarrus.
www.mundoeducacao.com.br

Binômio de Newton

Atribuímos o desenvolvimento da expressão (a + b)n ao grande físico e matemático Isaac Newton, no intuito de calcular os polinômios decorrentes da expressão, quando n > 3.
Newton elaborou a fórmula do termo geral que pode ser aplicada para tais situações, pois ela possui uma lei de formação de fácil compreensão e desenvolvimento.
Termo geral:

Importante: Na expressão do termo geral, temos que o expoente de a será a diferença entre o numerador e o denominador do coeficiente binomial e o expoente de b será o denominador do coeficiente binomial.

Desenvolvimento da expressão (a + b)n

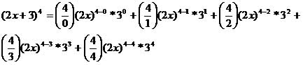
Exemplo 1: determine o polinômio correspondente ao desenvolvimento da expressão
(2x + 3)4.


(2x + 3)4 = (2x)4 * 1 + (2x)³ * 3 + (2x)² * 9 + (2x)¹*27 + (2x)0 * 81

(2x + 3)4 = 16x4 + 24x³ + 36x² + 54x + 81

Também podemos resolver pelo método da distribuição. Observe:

(2x + 3)4 = (2x + 3) * (2x + 3) * (2x + 3) * (2x + 3) = 16x4 + 24x³ + 36x² + 54x + 81

Porém, para situações nas quais o expoente indicado apresenta valores mais elevados, é aconselhado utilizar o binômio de Newton no desenvolvimento da expressão.

Para desenvolvermos uma expressão do tipo (2x – 3)4 , devemos alternar os sinais, iniciando com o sinal de positivo. A expressão (2x – 3)4 ficaria da seguinte forma:

(2x + 3)4 = 16x4 - 24x³ + 36x² - 54x + 81


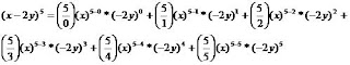
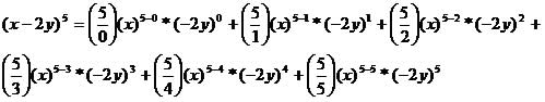
Exemplo 2: determine o desenvolvimento da expressão (x – 2y)5.

(x – 2y)5 = x5*1 + x4*(–2y) + x³*(4y) + x² * (–8y) + x*(16y) + 1*(–32y)

(x – 2y)5 = x5 – 2x4y + 4x³y – 8x²y + 16xy – 32y
/www.mundoeducacao.com.br/

A Origem das Mitocôndrias


A composição membranosa de uma mitocôndria.

As mitocôndrias são organelas supostamente derivadas de bactérias primitivas, englobadas por células procarióticas mais desenvolvidas, estabelecendo assim uma relação de endosimbiose.

O estabelecimento desse intercâmbio foi favorável aos dois organismos, devido à mútua cooperação de ambos: um ofertando proteção e nutrientes, o outro de forma compensatória, favorecendo maior rendimento e aproveitamento energético através do processo de respiração celular.

Essa hipótese simbiótica fundamenta-se segundo três aspectos: primeiro pela existência de material genético próprio, característico de organismos ancestrais (DNA circular); em segundo pela presença de RNA ribossômico estruturalmente diferenciado (com menor teor protéico / conseqüentemente menor tamanho dos ribossomos) em relação aos da célula hospedeira; e terceiro, devido à existência de duas membranas constituindo as mitocôndrias, sendo a interna do organismo engolfado e a externa do organismo que efetuou a incorporação.

Micrografia eletrônica de uma mitocôndria.

Esse último, por micrografia eletrônica (imagem microscópica), revela o aspecto membranar de uma mitocôndria. Externamente formada por uma membrana lisa envolvendo internamente outra membrana pregueada, chamadas de cristas mitocôndrias, que delimita um espaço viscoso (a matriz mitocôndrial) onde ficam imersos os ribossomos e o DNA.

Dessa forma, a mitocôndria, uma organela evolutivamente pertinente, possui particularidades morfofisiológicas primordiais ao metabolismo das células eucariontes animais e vegetais.

Seu importante desempenho bioquímico, no fornecimento de energia advindo do processo de respiração celular, envolve um complexo sistema enzimático que se estende desde a oxidação de ácidos graxos, ciclo de Krebs e a Cadeia respiratória.
www.mundoeducacao.com.br

Cloroplasto


Cloroplastos em células vegetais.

Os cloroplastos, uma classe de cromoplastos (plastídeos), são organelas que contém pigmentação de clorofila, sendo responsáveis pelo fenômeno biológico da fotossíntese, estando presentes exclusivamente no citoplasma de células de planta e de algas.

Sua estrutura possui característica semelhante à de uma mitocôndria: apresenta dupla membrana, DNA próprio, forma esférica ou ovóide, tamanho e quantidade variando conforme o tipo celular e origem endossimbionte, porém, são bem maiores que as mitocôndrias.

Segundo a teoria endosimbionte, os cloroplastos teriam surgidos a partir de uma cianobactéria ancestral engolfada pela célula eucariótica.

Existem células com apenas um cloroplasto, contudo, a maioria contém aproximadamente de 50 a 150 cloroplastos, que por inércia se deslocam em decorrência da intensidade luminosa incidente (ciclose).

Normalmente, cada uma dessas organelas possui a seguinte composição básica: proteínas, lipídeos, clorofila, água e carotenóides. Grande concentração das proteínas necessárias a um cloroplasto é sintetizada pelo núcleo da célula, migrando para o interior de sua matriz, denominada estroma. Já a produção dos lipídeos, fica a cargo de seu próprio metabolismo.

Mergulhado no estroma, existe um sistema de membrana que forma um conjunto de sacos achatados em forma de discos chamados de membrana tilacóide (do grego thylakos = saco). Ao conjunto de discos empilhados dá-se o nome de granum.