quinta-feira, 31 de outubro de 2019

Sistema pelo método de Cramer aula 1

Ciclo trigonométrico Função tangente aula 5

Equação de 1º grau

Equação do 1º grau
Equação é qualquer igualdade que só é satisfeita para alguns valores dos seus domínios.
Ex: 2x – 5 = 3 » o número desconhecido x recebe o nome de incógnita
De princípio, sem conhecer o valor da incógnita x, não podemos afirmar se essa igualdade é verdadeira ou falsa.
Porém podemos verificar facilmente que a equação acima se torna verdadeira para x = 4.
2x – 5 = 3 » 2x = 8 » x = 4
Logo o conjunto verdade (V) ou conjunto solução (S) é 4.
Equação do 1º grau
Chamamos equação do 1º grau na incógnita x a toda equação que pode ser escrita na forma
ax + b = 0 , onde a é diferente de 0.
ax + b = 0 ( a e b são números reais e a 0 )
Uma equação do 1º grau pode ser resolvida usando a propriedade:
ax + b = 0 » ax = -b
x = -b / a
* Convém lembrar que podemos transformar uma equação em outra equação equivalente mais simples. Podemos adicionar ou subtrair um mesmo número a ambos os membros da igualdade. E multiplicar ou dividir ambos os membros de uma equação por um número diferente de zero.
Ex: x – 5 = 0 » x –5 + 3 = 0 + 3 » x = 5
4x = 8 » 3.4x = 3.8 » x = 2
Resolução de equações do 1º grau:
Resolver uma equação significa encontrar valores de seus domínios que a satisfazem.
Para resolver equações do 1º grau, basta colocar as incógnitas de um lado do sinal (=) e os "números" do outro.
Para assimilarmos, vamos resolver alguns exemplos.
Determine o valor da incógnita x:
a) 2x – 8 = 10
2x = 10 + 8
2x = 18
x = 9 » V = {9}

b) 3 – 7.(1-2x) = 5 – (x+9)
3 –7 + 14x = 5 – x – 9
14x + x = 5 – 9 – 3 + 7
15x= 0
x = 0 » V= {0}

O método de resolução de equações do 1º grau, no qual coloca-se os valores de um lado do sinal (=) e as incógnitas do outro é apenas um "macete". Vamos ver o que realmente ocorre:
Numa equação:
2x + 8 = 10
Adicionamos -8 a ambos os lados, afim de deixarmos o valor de 2x "sozinho". Observem:
2x + 8 - 8 = 10 - 8
2x = 2
x = 1
V={1}
A resolução acima é a exposição do que ocorre na resolução de equações do 1º grau. O "macete" de "jogar" os números de um lado e as incógnitas de outro pode ser utilizado para agilizarmos a resolução.


Antonio Carlos Carneiro Barroso
HTTP://ensinodematemtica.blogspot.com
Email accbarroso@hotmail.com

Divisão de Polinômios

A operação de divisões é composta por dividendo, divisor, quociente e resto, no caso da divisão de polinômio por polinômio, considerando que cada um deles seja formado por mais de um monômio, iremos considerar a seguinte divisão:

P(x) |G(x)
R(x) D(x)

Onde P(x) é o dividendo; G(x) divisor; D(x) quociente e R(x) resto.

OBSERVAÇÃO: O resto em uma divisão de polinômio por polinômio pode ser:
• Igual à zero, nesse caso a divisão é exata, ou seja, o dividendo é divisível pelo divisor.
• Ou o resto pode ser diferente de zero, podendo assumir um valor real ou pode ser um polinômio, nesse caso será considerado resto um valor ou polinômio menor que o divisor.

A explicação de divisão de polinômio por polinômio será feita através de um exemplo, onde todos os passos tomados serão explicados.

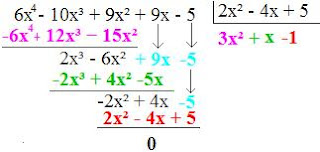
Exemplo: resolva a seguinte divisão (6x4 – 10x3 + 9x2 + 9x – 5) : (2x2 – 4x + 5).

Antes de iniciarmos o processo da divisão é preciso fazer algumas verificações:

• Verificar se tanto o dividendo como o divisor está em ordem conforme as potências de x.
• Verificar se no dividendo, não está faltando nenhum termo, se estiver é preciso completar.

Feita as verificações podemos iniciar a divisão.

O dividendo possui 5 monômios (termos) e o divisor possui 3 monômios (termos).

6x4 – 10x3 + 9x2 + 9x – 5 | 2x2 – 4x + 5

• Iremos dividir o 1º termo do dividendo pelo primeiro termo do divisor:

6x4 : 2x2 = 3x2

• O resultado encontrado irá multiplicar o polinômio 2x2 – 4x + 5 (divisor).

(2x2 – 4x + 5) . (3x2) = 6x4 – 12x3 + 15x2

• O resultado desse produto deverá ser subtraído pelo polinômio 6x4 – 10x3 + 9x2 + 9x – 5 (dividendo).



• Agora iremos levar em consideração o polinômio 2x3 – 6x2 + 9x - 5 e iremos dividir seu 1º termo pelo primeiro termo do dividendo (2x2 – 4x + 5).

2x3 : 2x2 = x

• O resultado encontrado irá multiplicar o polinômio 2x2 – 4x + 5 (divisor)

(2x2 – 4x + 5) . (x) = 2x3 – 4x2 + 5x

• O resultado desse produto deverá ser subtraído pelo polinômio 2x3 – 6x2 + 9x – 5.




• Agora iremos levar em consideração o polinômio -2x2 +4x - 5e dividir seu 1º termo pelo primeiro termo do dividendo (2x2 – 4x + 5).

-2x2 : 2x2 = -1

• O resultado encontrado irá multiplicar o polinômio 2x2 – 4x + 5 (divisor)

(2x2 – 4x + 5) . (-1) = - 2x2 + 4x - 5

• O resultado desse produto deverá ser subtraído pelo polinômio -2x2 +4x – 5.



Portando, podemos dizer que (6x4 – 10x3 + 9x2 + 9x – 5) : (2x2 – 4x + 5) = 3x2 +x – 1, com resto igual a zero. Caso queira fazer a prova real, basta multiplicar (3x2 +x – 1) por 2x2 – 4x + 5 e verificar se a solução será 6x4 – 10x3 + 9x2 + 9x – 5. Nesse caso, como o resto é zero, não é preciso somá-lo ao produto.

PRODUTOS NOTÁVEIS


Colégio Estadual Dinah Gonçalves
email accbarroso@hotmail.com        
     

Há certos produtos que ocorrem freqüentemente no calculo algébrico e que são chamados produtos notáveis. Vamos apresentar aqueles cujo emprego é mais freqüente.

QUADRADO DA SOMA DE DOIS TERMOS

Observe: (a + b)² = ( a + b) . (a + b)
_______________= a² + ab+ ab + b²
_______________= a² + 2ab + b²

Conclusão:
(primeiro termo)² + 2.(primeiro termo) . (segundo termo) + (segundo termo)²

Exemplos :

1) (5 + x)² = 5² + 2.5.x + x² = 25 + 10x + x²

2) (2x + 3y)² = (2x)² + 2.(2x).(3y) + (3y)² = 4x² + 12xy + 9y²

Exercícios

1) Calcule

a) (3 + x)² = ( R: 9 + 6x +x²)b) (x + 5)² = ( R: x² + 10x + 25)
c) ( x + y)² = ( R: x² + 2xy +y²)
d) (x + 2)² = ( R: x² + 4x + 4)
e) ( 3x + 2)² = ( R: 9x² + 12x +4)
f) (2x + 1)² = (R: 4x² + 4x + 1)
g) ( 5+ 3x)² = (R: 25 + 30x + 9x²)
h) (2x + y)² = (R: 4x² + 4xy + y²)
i) (r + 4s)² = (R: r² + 8rs + 16s²)j) ( 10x + y)² = (R: 100x² + 20xy + y²)l) (3y + 3x)² = (R: 9y² + 18xy + 9x²)m) (-5 + n)² = (R: 25 -10n + n²)
n) (-3x + 5)² = (R: 9x² - 30x + 25)
o) (a + ab)² = (R: a² + 2a²b + a²b²)
p) (2x + xy)² = (R: 4x² + 4x²y + x²y²)
q) (a² + 1)² = (R: (a²)² + 2a² + 1)r) (y³ + 3)² = [R: (y³)² + 6y³ + 9]s) (a² + b²)² = [R: (a²)² + 2a²b² + (b²)²]
t) ( x + 2y³)² = [R: x² + 4xy³ + 4(y³)²]
u) ( x + ½)² = (R: x² +x + 1/4)
v) ( 2x + ½)² = (R: 4x² + 2x + 1/4)x) ( x/2 +y/2)² = [R: x²/4 + 2xy/4 + y²/4]






QUADRADO DA DIFERENÇA DE DOIS TERMOS

Observe: (a - b)² = ( a - b) . (a - b)
______________= a² - ab- ab + b²
______________= a² - 2ab + b²

Conclusão:
(primeiro termo)² - 2.(primeiro termo) . (segundo termo) + (segundo termo)²

1) ( 3 – X)² = 3² + 2.3.X + X² = 9– 6x + x²

2) (2x -3y)² = (2x)² -2.(2x).(3y) + (3y)² = 4x² - 12xy+ 9y²


Exercícios

1) Calcule

a) ( 5 – x)² = (R: 25 – 10x + x²)b) (y – 3)² = (R: y² - 6y + 9)c) (x – y)² = (R: x² - 2xy + y²)
d) ( x – 7)² = (R: x² - 14x + 49)e) (2x – 5) ² = (R: 4x² - 20 x + 25)f) (6y – 4)² = (R: 36y² - 48y + 16)
g) (3x – 2y)² = (R: 9x² - 12xy + 4y²)h) (2x – b)² = (R: 4x² - 4xb + b²)
i) (5x² - 1)² = [R: 25(x²)² - 10x² + 1)
j) (x² - 1)² =
l) (9x² - 1)² =
m) (x³ - 2)² =
n) (2m⁵ - 3)² =
o) (x – 5y³)² =
p) (1 - mx)² =
q) (2 - x⁵)² =
r) (-3x – 5)² =
s) (x³ - m³)² =






PRODUTO DA SOMA PELA DIFERENÇA DE DOIS TERMOS(a + b). (a – b) = a² - ab + ab - b² = a²- b²

conclusão:
(primeiro termo)² - (segundo termo)²

Exemplos :

1) ( x + 5 ) . (x – 5) = x² - 5² = x² - 25
2) (3x + 7y) . (3x – 7y) = (3x)² - (7y)² = 9x² - 49y²


EXERCÍCIOS

1) Calcule o produto da soma pela diferença de dois termos:

a) (x + y) . ( x - y) = (R : x² - y²)b) (y – 7 ) . (y + 7) = ( R : x² - 49)
c) (x + 3) . (x – 3) = ( R: x² - 9)
d) (2x + 5 ) . (2x – 5) = ( R: 4x² - 25)
e) (3x – 2 ) . ( 3x + 2) = ( R: 9x² - 4 )
f) (5x + 4 ) . (5x – 4) = ( R: 25x² - 16)g) (3x + y ) (3x – y) = (R: 9x² - y² )h) ( 1 – 5x) . (1 + 5x) = ( R: 1 - 25x² )i) (2x + 3y) . (2x – 3y) = ( R: 4x² - 9y² )j) (7 – 6x) . ( 7 + 6x) = (R: 49 - 36x²)
l) (1 + 7x²) . ( 1 – 7x²) =
m) (3x² - 4 ) ( 3x² + 4) =
n) (3x² - y²) . ( 3x² + y²) =
o) (x + 1/2 ) . ( x – 1/2 ) =
p)(x – 2/3) . ( x + 2/3) =
q)( x/4 + 2/3) . ( x/4 – 2/3) =






CUBO DA SOMA OU DA DIFERENÇA DE DOIS TERMOS
.
Exemplo

a) (a + b)³ = (a + b) . (a + b)²
------------=(a + b) . (a² + 2ab + b²)
-------------= a³ + 2a²b + ab² + a²b + 2ab² + b³
-------------= a³ + 3a²b + 3ab² + b³

b) (a – b)³ = (a - b) . (a – b)²
-------------= ( a – b) . ( a² - 2ab + b²)
------------ = a³ - 2a²b + ab² - a²b + 2ab² - b³
------------ = a³ - 3a²b + 3ab² - b³

c) ( x + 5 )³ = x³ + 3x²5 + 3x5² + 5 ³
-------------- = x³ + 15x² + 75x +125

d) (2x – y )³ = (2x)³ - 3(2x)²y + 3(2x)y² - y³
--------------- = 8x³ - 3(4x²)y + 6xy² - y³
--------------- = 8x³ - 12x²y + 6xy² - y³


EXERCICIOS

1) Desenvolva

a) ( x + y)³ = (R: x³ + 3x²y + 3xy² + y³)
b) (x – y)³ = (R: x³ - 3x²y + 3xy² - y³)
c) (m + 3)³ = ( R: m³ + 9m² + 27m +27)
d) (a – 1 )³ = (R: a³ - 3a² + 3a -1)
e) ( 5 – x)³ = (R: 125 - 75x + 15x² -x³)f) (-a - b)³
g) (x + 2y)³
h) ( 2x – y )³
i) (1 + 2y)³
j) ( x – 2x)³
k) ( 1 – pq)³
l) (x – 1)³
m) ( x + 2 )³
n) ( 2x – 1)³
o) ( 2x + 5 )³
p) (3x – 2 )³
http://jmpmat3.blogspot.com/

Adição de números Inteiros

Na soma de dois números inteiros com sinais iguais, o valor absoluto será a soma das parcelas, e o sinal será o mesmo das parcelas.
Exemplo: (+ 5) + (+ 4) = + 9
(- 5) + (- 4) = - 9

Na soma de dois números inteiros com sinais diferentes, o valor absoluto será a diferença das parcelas e o sinal será o da parcela de maior valor absoluto.
Exemplo: (- 5) + (+ 4) = - 1

A Soma de dois números inteiros opostos é ZERO.
Exemplo: (+ 10) + (- 10) = 0

Simplificando a escrita:


a onblur="try {parent.deselectBloggerImageGracefully();} catch(e) {}" href="http://4.bp.blogspot.com/_HoaPhQ9Vmy0/TH63ODknaHI/AAAAAAAADtw/YFUk1FF6uB8/s1600/soma.JPG">


Propriedades da Adição:

►Propriedade do fechamento

(+15) + (+8) = +23

(-34) + (+20) = -14

(-60) + (+60) = 0

A soma de dois números inteiros é sempre um número inteiro.

► Propriedade Comutativa

(+20) + (-43) = -23

(-43) + (+20) = -23

(+20) + (-43) = (-43) + (+20)

A ordem das parcelas não altera a soma


► Propriedade Associativa

[(+10) + (-6)] + (-80) (+10) + [(-6) + (-80)] =
= (+4) + (-80) = -76 (+10) + (-86) = -76

Numa adição de três ou mais parcelas, podemos associar as parcelas de formas diferentes, que os resultados serão iguais.

►Elemento Neutro

(-32) + 0 = 0 + (-32) = -32
(+250) + 0 = 0 + (+250) = +250
A subtração é uma operação básica da Matemática, sendo representada pelo sinal de –. O desenvolvimento da subtração entre números Naturais é de certa forma bem simples. Observe os exemplos:

10 – 2 = 8
12 – 6 = 6
22 – 10 = 12
52 – 12 = 40
101 – 10 = 91
200 – 189 = 11

As operações de subtração envolvendo os números Inteiros requerem algumas situações teóricas que relacionam os possíveis sinais operatórios. Para realizar a subtração entre os números inteiros precisamos ter conhecimento sobre o módulo de um número. Módulo de um número inteiro é calculado obtendo o seu valor real. Observe:

Módulo de +1: representado por |+1| = 1
| – 3| = 3
| – 7| = 7

Regras operatórias:
Sinais iguais: soma e conserva o sinal.
Sinais diferentes: subtrai e conserva o sinal do maior módulo.

Operações sem parênteses

+ 10 – 7 = + 3 (Sinais diferentes: subtrai e conserva o sinal do maior módulo)

– 3 – 3 = – 6 (Sinais iguais: soma e conserva o sinal)

+ 20 – 30 = – 10 (Sinais diferentes: subtrai e conserva o sinal do maior módulo)

– 12 + 3 = – 9 (Sinais diferentes: subtrai e conserva o sinal do maior módulo)

– 9 + 9 = 0 (operação entre números opostos, resultado sempre será 0)

– 25 + 24 = – 1 (Sinais diferentes: subtrai e conserva o sinal do maior módulo)


Operações com parênteses

Nesse caso, as operações de subtração podem ser resolvidas eliminando os parênteses, isso será feito aplicando algumas regras que envolvem jogo de sinal, observe:

+ (+) = +
+ (–) = –
– (+) = –
– (–) = +

Eliminado os parênteses, passa a valer as regras operatórias:

(+10) – (–23) = +10 + 23 = + 33

(+20) – (+12) = +20 – 12 = + 8

(–32) + (–5) = – 32 – 5 = – 37

(–27) – (–30) = –27 + 30 = + 3
O zero é o elemento neutro da adição.
/www.mundoeducacao.com.br

Tabuada


espacoeducar-liza.blogspot.com

Estudo da Reta ,Retas concorrentes aula 4

Função de 1º grau

Colégio Estadual Dinah Gonçalves
email accbarroso@hotmail.com
      



Consideremos x e y duas variáveis, sendo uma dependente da outra, isto é, para cada valor atribuído a x corresponde um valor para y. Definimos essa dependência como função, nesse caso, y está em função de x. O conjunto de valores conferidos a x deve ser chamado de domínio da função e os valores de y são a imagem da função.

Toda função é definida por uma lei de formação, no caso de uma função do 1º grau a lei de formação será a seguinte: y = ax + b, onde a e b são números reais e a ≠ 0.
Esse tipo de função deve ser dos Reais para os Reais.

A representação gráfica de uma função do 1º grau é uma reta. Analisando a lei de formação y = ax + b, notamos a dependência entre x e y, e identificamos dois números: a e b. Eles são os coeficientes da função, o valor de a indica se a função é crescente ou decrescente e o valor de b indica o ponto de intersecção da função com o eixo y no plano cartesiano. Observe:

Função crescente Função decrescente




Função crescente: à medida que os valores de x aumentam, os valores correspondentes em y também aumentam.

Função decrescente: à medida que os valores de x aumentam, os valores correspondentes de y diminuem.

Exemplos de funções do 1º grau

y = 4x + 2, a = 4 e b = 2

y = 5x – 9, a = 5 e b = –9

y = – 2x + 10, a = – 2 e b = 10

y = 3x, a = 3 e b = 0

y = – 6x – 1, a = – 6 e b = – 1

Raiz ou zero de uma função do 1º grau

Para determinar a raiz ou o zero de uma função do 1º grau é preciso considerar
y = 0. De acordo com gráfico, no instante em que y assume valor igual a zero, a reta intersecta o eixo x em um determinado ponto, determinando a raiz ou o zero da função.

Vamos determinar a raiz das funções a seguir:

y = 4x + 2
y = 0
4x + 2 = 0
4x = –2
x = –2/4
x = –1/2
A reta representada pela função y = 4x + 2 intersecta o eixo x no seguinte valor: –1/2


y = – 2x + 10
y = 0
– 2x + 10 = 0
– 2x = – 10 (–1)
2x = 10
x = 10/2
x = 5
A reta representada pela função y = – 2x + 10 intersecta o eixo x no seguinte valor: 5
extraido de www.mundoeducacao.com.br

Produtos notáveis

Colégio Estadual Dinah Gonçalves
email accbarroso@hotmail.com          

    

Alguns produtos (em matemática, é o nome que se dá para o resultado de uma multiplicação) algébricos (com incógnitas, tipo a.b, x.y) aparecem com freqüência nos cálculos. Em vez de fazer a multiplicação de polinômios a cada vez que essas operações aparecem, vale a pena memorizar sua fórmulas. Trata-se dos produtos notáveis.

Quadrado da soma de dois termos



(a + b)2 = a2 + 2ab + b2



Vale reforçar que o quadrado da soma de dois termos pode também ser representado da seguinte maneira:


Página 3


De acordo com a regra de multiplicação de polinômios:


Página 3


"O quadrado da soma de dois termos é igual ao quadrado do primeiro, mais duas vezes o primeiro pelo segundo, mais o quadrado do segundo."

Quadrado da diferença de dois termos



(a - b)2 = a2 - 2ab + b2




Página 3


Novamente segundo a regra:


Página 3


"O quadrado da diferença de dois termos é igual ao quadrado do primeiro, menos duas vezes o primeiro pelo segundo, mais o quadrado do segundo"

Produto da soma pela diferença de dois termos



(a + b)(a - b) = a2 - b2




Página 3


Ou, se você duvidar, venha a multiplicação:


Página 3


"A multiplicação da soma de dois termos pela diferença deles é igual ao quadrado do primeiro menos o quadrado do segundo."

Produtos notáveis e equações de 2º grau



Imagine a equação: x2 - 6x + 9 = 0

Ela pode resolvida com o auxílio da fórmula de Bhaskara


Página 3


Mas antes de sair desenvolvendo fórmulas, preste atenção novamente na equação. Você notará que ela é um produto notável - um quadrado da diferença de dois termos:


Página 3


Logo:


Página 3


Imagine: em que situação uma multiplicação pode dar zero? Pense na tabuada: qual número vezes outro é igual a zero? Apenas o próprio zero! ( 2 x 0 = 0; 3 x 0 = 0; 1.000 x 0 = 0)

Isso quer dizer que um dos termos de nossa multiplicação é igual a zero.
Como na nossa multiplicação, temos uma potência, isso quer dizer que temos a multiplicação de dois termos iguais. Ou seja, tanto o primeiro, quanto o segundo termo é igual ao zero.


Página 3

*Carlos Alberto Campagner é engenheiro mecânico, com mestrado em mecânica, professor de pós-graduação e consultor de informática.

A divisão da Alemanha

Colégio Estadual Dinah Gonçalves
email accbarroso@hotmail.com        
        

A divisão da Alemanha

Rainer Sousa


O Muro de Berlim estabeleceu a divisão ideológica e política da Alemanha.
Em maio de 1945, nos últimos dias da Segunda Guerra Mundial, os exércitos nazistas foram finalmente derrotados pelos países aliados. A Alemanha, que ocupa posição geográfica privilegiada entre o leste e o oeste da Europa, vivia um imenso vazio ideológico e político. A trágica e aliviadora saída de Adolf Hitler do poder era seguida pela urgente necessidade de se pensar quais os paradigmas seriam responsáveis pela reconstrução daquela incógnita nação.

Os grandes centros urbanos industriais estavam completamente arrasados e uma parcela considerável da população alemã experimentava uma evidente sensação de incerteza. Deveras, a perda de cinco milhões de vidas durante a Segunda Guerra era somente um dos graves traumas a serem superados. Ao mesmo tempo, os países vitoriosos tornavam públicos os crimes hediondos cometidos pelos remanescentes da alta cúpula do Estado Nazista.

Afinal de contas, quem reconduziria o processo de reconstrução da Alemanha? Buscando dar uma primeira resposta à questão, as zonas administradas pelas nações capitalistas se fundiram, dando os primeiros passos para a criação da República Federal da Alemanha (RFA). A agilidade das negociações visava barrar a expansão da ideologia socialista pela Europa, que tinha a porção leste e metade do território alemão politicamente influenciado pela União Soviética.

Em junho de 1948, sentindo-se visivelmente pressionados para entregar o restante da Alemanha, os soviéticos bloquearam todo o trânsito ferroviário e rodoviário que davam acesso à cidade de Berlim. Em resposta, britânicos e estadunidenses formaram um corredor aéreo que conseguiu furar essa barreira e fornecer alimentos e outros gêneros básicos para a população da área ocidental da cidade. Em poucos meses, a manutenção do impasse se tornou insustentável para ambos os lados.

Finalmente, em outubro de 1949, os soviéticos conduziram os trâmites que deram origem à República Democrática da Alemanha (RDA). Para reafirmar a legitimidade de sua nova empreitada e barrar uma possível invasão ocidental, os soviéticos também promoveram a detonação experimental de sua primeira bomba nuclear. Dessa forma, o território alemão ficava dividido e o mundo enxergava com mais clareza a construção da ordem bipolar.

Graças à ajuda norte-americana, a RFA conseguiu organizar uma reforma econômica que apresentou resultados positivos desde os primeiros anos da década de 1950. A criação de uma nova moeda, o marco alemão, e a inserção do país na economia de mercado simbolizavam o trunfo do projeto capitalista. Em troca dos incentivos do bloco capitalista, a Alemanha Ocidental organizou grandes e eficientes projetos de assistência social que trouxeram conforto à população.

No lado oriental, a RDA passou por maiores dificuldades tendo em vista que, sob o ponto de vista histórico e econômico, essa sempre fora a parte menos desenvolvida da Alemanha. Além desses problemas, os comunistas locais pretendiam constituir uma nação livre da interferência soviética e guiada pelo regime pluripartidarista. Contudo, a necessidade de recursos e a sistemática pressão soviética garantiram a hegemonia comunista, principalmente após a assinatura do Pacto de Varsóvia, em 1955.

Ao longo de toda a Guerra Fria, não existiram chances mínimas que permitissem a reunificação do território alemão. No ano de 1961, essa possibilidade foi completamente anulada quando a construção de um muro marcou as zonas de influência capitalista e comunista. Construído pelas iniciativas da RDA, o Muro de Berlim impediria a fuga de seus cidadãos para áreas de influência capitalista. Contudo, esse muro acabou também servindo para apartar as duas ideologias que tomaram o mundo no resto do século XX.

A Guerra da Coreia

Colégio Estadual Dinah Gonçalves
email accbarroso@hotmail.com        
        

A Guerra da Coreia

Alunos Online


Bandeira da Coreia do Norte e da Coreia do Sul, respectivamente.
Em 1910 a guerra foi conquista pelo Japão, a Coreia manteve-se sob seu domínio até 1945.
Nesse ano, após a rendição japonesa na Segunda Guerra, os Estados Unidos e a União Soviética ocuparam a região comprometendo-se, no entanto, a respeitar a soberania coreana.
Deu-se início a um conflito de grandes proporções em 1950, em um clima de intensa rivalidade com os próprios coreanos, entre o Norte e o Sul.
E rapidamete, os Estados Unidos enviaram tropas para auxiliar a Coreia do Sul e convidaram seus aliados, inclusive o Brasil, a fazerem o mesmo.
Esse sangrento conflito, que quase resultou numa guerra mundial, estendeu-se até setembro de 1953, quando, sob o patrocínio da ONU, foi firmada a paz.
E acabou que a Coreia continuou dividida: o Norte sob o socialismo e o Sul sob o capitalismo.

Geométria Espacial ,Áreas dos prismas aula 3