sábado, 30 de novembro de 2019

Reações químicas (tipos) Síntese, análise e deslocamento, dupla-troca

Colégio Estadual Dinah Gonçalves
email accbarroso@hotmail.com
www.youtube.com/accbarroso1 

As reações químicas são processos que transformam uma ou mais substâncias, chamados reagentes, em outras substâncias, chamadas produtos. Em uma linguagem mais acadêmica, dizemos que uma reação química promove mudança na estrutura da matéria.

Na química inorgânica podemos classificar as reações em quatro tipos diferentes:

1) Reações de síntese ou adição
As reações de síntese ou adição são aquelas onde substâncias se juntam formando uma única substância. Representando genericamente os reagentes por A e B, uma reação de síntese pode ser escrita como:



Veja alguns exemplos:

Fe + S=FeS

2H2 + O2= 2H2O

H2O + CO2= H2CO3

Perceba nos exemplos que os reagentes não precisam ser necessariamente substâncias simples (Fe, S, H2, O2), podendo também ser substâncias compostas (CO2, H2O) mas, em todas elas o produto é uma substância "menos simples" que as que o originaram.

2) Reações de análise ou decomposição
As reações de análise ou decomposição são o oposto das reações de síntese, ou seja, um reagente dá origem a produtos mais simples que ele. Escrevendo a reação genérica fica fácil entender o que acontece:



Não parece bastante simples? E é bastante simples. Veja nos exemplos:

2H2O 2= H2 + O2

2H2O2 =2H2O + O2

Reversibilidade das reações químicas
Os exemplos podem sugerir que qualquer reação de síntese pode ser invertida através de uma reação de análise. Isso não é verdade. Algumas reações podem ser reversíveis, como podemos notar na reação da água:

2H2 + O2= 2H2O
2H2= 2H2 + O2

Entretanto, isso não é uma regra.

3) Reações de deslocamento
As reações de deslocamento ou de simples-troca merecem um pouco mais de atenção do que as anteriores. Não que sejam complicadas, pois não são, mas por alguns pequenos detalhes. Em sua forma genérica ela pode ser escrita como:



Vamos entender o que aconteceu: C trocou de lugar A. Simples assim, mas será que isso ocorre sempre? É intuitivo que não. Iamgine o seguinte: você entra em um baile e vê a pessoa com quem gostaria de dançar dançando com outra pessoa. Você vai até lá e tentará fazê-la mudar de par, ou seja, estará tentandodeslocar o acompanhante indesejável e assumir seu lugar. Se você for mais forte que o "indesejável", basta dar-lhe um empurrão e assumir seu lugar mas, se ele for um brutamontes troglodita, possivelmente ele nem sentirá seu empurrão. Na reação de deslocamento o processo é idêntico: C vê B ligado a A, aproxima-se e, sendo mais forte, desloca A e assume a ligação com B. Caso C não seja mais forte que A nada acontece.

Basta então saber que é mais forte que quem:


Desta forma, temos:

2Na + 2H2O =2NaOH + H2 (o sódio desloca o hidrogênio da água H-OH)

Au + HCl não reage (o ouro não consegue deslocar o hidrogênio)

4) Reações de dupla-troca
São também muito simples, mas devemos também ficar atento a detalhes. O mecanismo é fácil:



Certamente você já percebeu o que aconteceu: A trocou de lugar com C. A diferença desse tipo com as de deslocamento é que nem A nem C estavam sozinhos e, após a troca nenhum deles ficou sozinho.

Para entendermos como e quando uma reação deste tipo ocorre teremos que observar o seguinte:

# A substância AB está em solução e, desta forma, o que temos na verdade são os íons A+ e B- separados uns dos outros. A substância CD também está em solução, portanto temos também os íons C+ e D- separados;

# Quando juntamos as duas soluções estamos promovendo uma grande mistura entre os íons A+, B-, C+ e D-, formando uma grande "sopa de íons";

# Se, ao combinarmos C+ com B-, o composto CB for solúvel, os íons serão novamente separados em C+ e B-, resultando exatamente na mesma coisa que tínhamos anteriormente. O mesmo acontece com A+ e B-.

Assim, ao misturarmos AB com CD, estamos na verdade fazendo:




E perceba que juntar íons que se separarão novamente resultará na mesma "sopa de íons" e não resultará em nenhuma nova substância, portanto não ocorre nenhuma reação.

Para que a reação efetivamente ocorra, será necessário que ao menos um dos prováveis produtos (AD ou CB) não sejam separados ao se juntarem, ou seja, deve-se formar um composto insolúvel e isso é conseguido através de um sal insolúvel, de um gás ou de água. Se um dos produtos for um sal insolúvel ele não será separado em ións e permanecerá sólido. Se for um gás ele se desprenderá da solução (borbulhas) e também permanecerá com suas moléculas agrupadas. Se um dos produtos for a água, ela não se desagrupa em sua própria presença.

NaCl + AgNO3= NaNO3 + AgCl

Nesta reação o produto AgCl (cloreto de prata) é insolúvel, portanto a reação ocorre.

NaCl + LiNO3= NaNO3 + LiCl

Como nenhum dos produtos formados, NaNO3 (nitrato de sódio) ou LiCl (cloreto de lítio) é insolúvel, a reação não ocorre.

NaOH + HCl= NaCl + H2O

Como um dos produtos é a água (H2O), a reação ocorre.

Para a previsão da ocorrência ou não de uma reação de dupla-troca é fundamental que conheçamos a solubilidade dos sais em água e, para relembrar isso, leia o texto sobre solubilidade em água.

Viu como é simples? Com um pouco de prática e exercícios você consegue até escrever reações que podem dar origem a um determinado produto. Quer ver?

Imagine que você que obter sulfato de chumbo (PbSO4) . Você sabe que terá que juntar o íon chumbo (Pb2+) e o íon sulfato (SO42-). Como você sabe que o sulfato de chumbo é insolúvel, pode promover uma dupla-troca:

PbX + YSO4= PbSO4 + XY

É só escolher X e Y de forma que as duas substâncias sejam solúveis.

Outra forma é fazer um deslocamento do hidrogênio pelo chumbo, já que este é mais reativo:

Pb + H2SO4 =H2 + PbSO4

Não falei que era fácil?
* Fábio Rendelucci é professor de química e física e diretor do cursinho COC-Universitário de Santos (SP).

Funções

Funções

Dados dois conjuntos A e B não vazios , chama-se função (ou aplicação) de A em B, representada por
f : A ® B ; y = f(x) , a qualquer relação binária que associa a cada elemento de A ,
um único elemento de B .

Portanto, para que uma relação de A em B seja uma função , exige-se que a cada x Î A esteja associado um único y Î B , podendo entretanto existir y Î B que não esteja associado a nenhum elemento pertencente ao conjunto A.
Obs : na notação y = f(x) , entendemos que y é imagem de x pela função f, ou seja:
y está associado a x através da função f.
Exemplos:
f(x) = 4x+3 ; então f(2) = 4.2 + 3 = 11 e portanto , 11 é imagem de 2 pela função f ;
f(5) = 4.5 + 3 = 23 , portanto 23 é imagem de 5 pela função f , f(0) = 4.0 + 3 = 3, etc.
Para definir uma função , necessitamos de dois conjuntos (Domínio e Contradomínio ) e de uma fórmula ou uma lei que relacione cada elemento do domínio a um e somente um elemento do contradomínio .
Quando D(f) (domínio) Ì R e CD(f)(contradomínio) Ì R , sendo R o conjunto dos números reais , dizemos que a função f é uma função real de variável real . Na prática , costumamos considerar uma função real de variável real como sendo apenas a lei y = f(x) que a define , sendo o conjunto dos valores possíveis para x , chamado de domínio e o conjunto dos valores possíveis para y , chamado de conjunto imagem da função . Assim, por exemplo, para a função definida por y = 1/x , temos que o seu domínio é D(f) = R* , ou seja o conjunto dos reais diferentes de zero (lembre-se que não existe divisão por zero) , e o seu conjunto imagem é também R* , já que se y = 1/x , então x = 1/y e portanto y também não pode ser zero.

Nota: o símbolo Ì significa “contido em”.
Dada uma função f : A ® B definida por y = f(x),
podemos representar os pares ordenados (x,y)
Î f onde x Î A e y Î B ,num sistema de coordenadas cartesianas .
O gráfico obtido será o gráfico da função f .

Assim , por exemplo , sendo dado o gráfico cartesiano de uma função f , podemos dizer que:
a ) a projeção da curva sobre o eixo dos x , nos dá o domínio da função .

b ) a projeção da curva sobre o eixo dos y , nos dá o conjunto imagem da função .

c ) toda reta vertical que passa por um ponto do domínio da função , intercepta o gráfico da função em no máximo um ponto .
Veja a figura abaixo, relativa aos ítens 1, 2 e 3 acima:
2 -Tipos de funções
2.1 - Função sobrejetora
É aquela cujo conjunto imagem é igual ao contradomínio .
Exemplo:
2.2 - Função injetora
Uma função y = f(x) é injetora quando elementos distintos do seu domínio , possuem imagens distintas,
isto é:
x1 ¹ x2 Þ f(x1) ¹ f(x2) .
Exemplo:
2.3 - Função bijetora
Uma função é dita bijetora , quando é ao mesmo tempo , injetora e sobrejetora .
Exemplo:
Exercícios resolvidos:
1 - Considere três funções f, g e h, tais que:
A função f atribui a cada pessoa do mundo, a sua idade.
A função g atribui a cada país, a sua capital
A função h atribui a cada número natural, o seu dobro.
Podemos afirmar que, das funções dadas, são injetoras:
a) f, g e h
b) f e h
c) g e h
d) apenas h
e) nenhuma delas
Solução:
Sabemos que numa função injetora, elementos distintos do domínio, possuem imagens distintas, ou seja:
x1
¹ x2 Þ f(x1) ¹ f(x2) .
Logo, podemos concluir que:

f não é injetora, pois duas pessoas distintas podem ter a mesma idade.
g é injetora, pois não existem dois países distintos com a mesma capital.
h é injetora, pois dois números naturais distintos, possuem os seus dobros também distintos.
Assim é que concluímos que a alternativa correta é a de letra C.
2 - Seja f uma função definida em R - conjunto dos números reais - tal que
f(x - 5) = 4x. Nestas condições, pede-se determinar f(x + 5).
Solução:
Vamos fazer uma mudança de variável em f(x - 5) = 4x, da seguinte forma:
x - 5 = u
\ x = u + 5

Substituindo agora (x - 5) pela nova variável u e x por (u + 5), vem:
f(u) = 4(u + 5) \ f(u) = 4u + 20
Ora, se f(u) = 4u + 20, teremos:
f(x + 5) = 4(x+5) + 20 \ f(x+5) = 4x + 40

3 – UEFS 2005-1 ) Sabendo-se que a função real f(x) = ax + b é tal que f(2x2 + 1) = - 2x2 + 2,
para todo x
Î R, pode-se afirmar que b/a é igual a
a) 2
b) 3/2
c) 1/2
d) -1/3
e) -3
Solução:

Ora, se f(x) = ax + b, então f(2x2 + 1) = a(2x2 + 1) + b
Como f(2x2 + 1) = - 2x2 + 2, vem, igualando:

a(2x2 + 1) + b = - 2x2 + 2
Efetuando o produto indicado no primeiro membro, fica:
2ax2 + a + b = -2x2 + 2

Então, poderemos escrever:
2a = -2 \ a = -2 /2 = -1
E, também,
a + b = 2 ; como a = -1, vem substituindo: (-1) + b = 2 \ b = 2 + 1 = 3

Logo, o valor procurado a/b será a/b = -1 / 3 , o que nos leva tranquilamente à alternativa D.
Agora resolva este:A função f em R é tal que f(2x) = 3x + 1. Determine 2.f(3x + 1).
Resp: 9x + 5
3 - Paridade das funções
3.1 - Função par
A função y = f(x) é par, quando " x Î D(f) , f(- x ) = f(x) , ou seja, para todo elemento do seu domínio,
f( x ) = f ( - x ). Portanto , numa função par, elementos simétricos possuem a mesma imagem. Uma conseqüência desse fato é que os gráficos cartesiano das funções pares, são curvas simétricas em relação ao eixo dos y ou eixo das ordenadas.
O símbolo
" , lê-se “qualquer que seja”.
Exemplo:
y = x4 + 1 é uma função par, pois f(x) = f(-x), para todo x.
Por exemplo, f(2) = 24 + 1 = 17 e f(- 2) = (-2)4 + 1 = 17
O gráfico abaixo, é de uma função par.
4.2 - Função ímpar
A função y = f(x) é ímpar , quando " x Î D(f) , f( - x ) = - f (x) , ou seja, para todo elemento do seu domínio, f( - x) = - f( x ). Portanto, numa função ímpar, elementos simétricos possuem imagens simétricas. Uma conseqüência desse fato é que os gráficos cartesianos das funções ímpares, são curvas simétricas em relação ao ponto (0,0), origem do sistema de eixos cartesianos.
Exemplo:
y = x3 é uma função ímpar pois para todo x, teremos f(- x) = - f(x).
Por exemplo, f( - 2) = (- 2)3 = - 8 e - f( x) = - ( 23 ) = - 8.
O gráfico abaixo é de uma função ímpar:
Nota: se uma função y = f(x) não é par nem ímpar, diz-se que ela não possui paridade.
Exemplo:

O gráfico abaixo, representa uma função que não possui paridade, pois a curva não é simétrica em relação ao eixo dos x e, não é simétrica em relação à origem.

Regra de três composta

Regra de Três Composta

1. Uma olaria produz 1470 tijolos em 7 dias, trabalham 3 horas por dia. Quantos tijolos produzirá em 10 dias, trabalhando 8 horas por dia?

2. Oitenta pedreiros constroem 32m de muro em16 dias. Quantos pedreiros serão necessários para construir 16m de muro em 64 dia?

3. Um ônibus percorre 2232km em 6 dias, correndo 12 horas por dia. Quantos quilômetros percorrerá em 10 dias, correndo 14 horas por dia?

4. Numa fábrica, 12 operários trabalhando 8 horas por dia conseguem fazer 864 caixas de papelão. Quantas caixas serão feitas por 15 operários que trabalham 10 horas por dia?

5. Vinte máquinas, trabalhando 16 horas por dia, levam 6 dias para fazer um trabalho. Quantas máquinas serão necessárias para executar o mesmo serviço, se trabalharem 20 horas por dia, durante 12 dias?

6. Numa indústria têxtil, 8 alfaiates fazem 360 camisas em 3 dias. Quantos alfaiates são necessários para que sejam feitas 1080 camisas em 12 dias?

7. Um ciclista percorre 150km em 4 dias, pedalando 3 horas por dia. Em quantos dias faria uma viagem de 400km, pedalando 4 horas por dia?

8. Num internato, 35 alunos gastam 15.400 reais pelas refeições de 22 dias. Quanto gastariam 100 alunos pelas refeições de 83 dias neste internato ?

9. Empregaram-se 27,4kg de lã para tecer 24m de fazenda de 60cm de largura. Qual será o comprimento da fazenda que se poderia tecer com 3,425 toneladas de lã para se obter uma largura de 90cm?

10.Os 2/5 de um trabalho foram feitos em 10 dias por 24 operários, que trabalham 7 horas por dia. Em quantos dias se poderá terminar esse trabalho, sabendo que foram licenciados 4 operários e que se trabalham agora 6 horas por dias?

11.O consumo de 12 lâmpadas iguais, acesas durante 5 horas por dia, em 39 dias, é de 26 quilowatts. Conservando apenas 9 dessas lâmpadas acesas durante 4 horas por dia, de quanto será o consumo em 30 dias?

12.Se 15kg de papel correspondem a 3.000 folhas de 20cm de largura por 30cm de comprimento, a quantas folhas de 15cm por 20cm corresponderão 7kg de papel?
13.São necessários 1064 quilos de feno para alimentar 14 cavalos, durante 12 dias. Que quantidade de feno seria preciso para a alimentação de 6 cavalos, durante 60 dias?

14.30 operários gastam 15 dias de 8 horas para construir 52m de muro. Quantos dias de 9 horas gastarão 25 operários, para construir 39m de um muro igual?

15.6 operários, em 15 dias, fizeram a metade de um trabalho de que foram encarregados. Ao fim desse tempo, 4 operários abandonaram o serviço. Em quanto tempo os operários restantes poderão terminar o trabalho?

16.Uma frota de caminhões percorreu 3000km para transportar uma mercadoria, fazendo uma média de 60km por hora, e gastou 6 dias. Quantos dias serão necessários para, nas mesmas condições, essa mesma frota fazer 4500km com uma velocidade média de 50km por hora?

17.A produção de 400 hectares onde trabalham 50 homens sustenta 5 famílias. Quantas famílias poderão ser sustentadas, nas mesmas condições, com 600 hectares e 60 homens trabalhando?

18.Se 16 homens gastam 10 dias montando 32 máquinas, o número de dias que 20 homens necessitarão para montar 60 máquinas é:

19.Um veículo percorre uma certa distância trafegando com data velocidade constante, durante 3 horas. Quanto tempo ele gastaria para percorrer 2/3 daquela distância numa velocidade constante que fosse 3/5 da anterior?

20.Uma obra foi concluída em 60 dias usando-se 5 pedreiros e 10 aprendizes. Sabendo-se que o trabalho de dois aprendizes equivale ao de um pedreiro, quantos dias seriam necessários para concluir a mesma obra se dispuséssemos de 6 pedreiros e 12 aprendizes?

RESPOSTAS


1) 5600
2) 10
3) 4340
4) 1350
5) 8
6) 6
7) 8
8) 166.000
9) 200 cm
10) 23 dias
11) 13 KW
12) 2800
13) 2280 kg
14) 12 dias
15) 45 dias
16) 54/5 dias
17) 9
18) 15
19) 3h 20 min
20) 50

O governo de Itamar Franco

Professor de Matemática no Colégio Estadual Dinah Gonçalves
E Biologia na rede privada de Salvador-Bahia        www.youtube.com/accbarroso1
Professor Antonio Carlos carneiro Barroso
email accbarroso@hotmail.com
Extraído de http://www.alunosonline.com.br

O governo de Itamar Franco



Itamar Franco, "pai" do Plano Real, que estabilizou a economia brasileira.
No ano de 1990, iniciava-se uma nova fase na política brasileira: a retomada da Democracia. Em meio a uma grande crise econômica, Fernando Collor de Melo foi eleito presidente pelo voto direto. Propagando uma postura renovadora, Collor foi inserido num esquema de corrupção, organizado pelo tesoureiro de sua campanha, Paulo César Farias. Foi submetido a julgamento, e foi condenado, tendo seu mandato cassado e seus direitos políticos suspensos por oito anos. Seu vice, Itamar Franco, assumiu.

A principal medida adotada no governo Itamar foi a criação de um plano para barrar o crescimento da inflação: o Plano Real. Idealizado e organizado pelo Ministro da Fazenda (e posteriormente, Presidente da República) Fernando Henrique Cardoso, o Plano Real obteve êxito, reduzindo a inflação de 50% para 4%, em um mês. No dia 21 de abril de 1993, o Presidente Itamar Franco convocou um plebiscito para escolher a nova forma de governo: se manteria o presidencialismo e a república, ou se retornaria à monarquia e ao parlamentarismo. O regime republicano e presidencialista foi escolhido por uma maioria esmagadora dos votos.

Um fato curioso, acontecido no governo Itamar, foi sua sugestão à fábrica alemã Volkswagen, a retomar a fabricação do Fusca, carro muito popular nas décadas de 60 e 70, no Brasil. Itamar visava aquecer a venda de automóveis, tornando-os mais acessíveis aos brasileiros. A fábrica havia parado de fabricar o Fusca em 1978 e, a pedido do presidente, retomou sua fabricação (que cessou em 1996). O carro, apelidado de Fusca do Itamar, não atendeu às necessidades do povo, mas a ideia de popularização dos veículos foi adotada por outras fábricas.

O governo de Itamar foi curto (cerca de dois anos), mas foi o suficiente para levantar a economia nacional e, consequentemente, o orgulho dos brasileiros, ferido nos anos de chumbo da ditadura e destroçado no governo corrupto de Collor. Itamar alcançou índices tão altos de popularidade e aprovação, que seu apoio foi imprescindível para a eleição de seu Ministro e sucessor, Fernando Henrique Cardoso, nas eleições presidenciais de 1994.

OPERAÇÕES COM MONÔMIOS


Adição e subtração
Eliminam-se os parênteses e reduzem-se os termos semelhantes.

Exemplos 1
(+8x) + (-5x)
8x – 5x
3x

Exemplo 2
(-7x ) – ( +x)
-7x – x
-8x

Exemplo 3
(2/3x) – (-1/2x)
2/3x + 1/2x
4x/6 + 3x/6
7x/6


EXERCÍCIOS


1) Efetue:

a) (+7x) + (-3x) = (R: 4x)
b) (-8x) + (+11x) = (R: 3x )c) (-2y) + (-3y) = (R: -5y)
d) (-2m) + (-m) = (R: -3m)
e) (+5a²) + (-3a²) = (R: 2a²)
f) (+5x) + (-5x) = (R: 0)
g) (+6x) + (-4x) = (R: 2x)
h) (-6n) + (+n) = (R: -4n)
i) (+8x) – ( -3x) = (R: 11x)
j) (-5x) – (-11x) = (R: 6x)
k) (-6y) – (-y) = (R: -5y)
l) (+7y) – (+7y) = (R: 0 )m) (-3x) – (+4x) = (R -7x)
n) (-6x) – ( -x) = (R: -5x)
o) (+2y) – (+5y) = (R: -3y )p) (-m) –(-m) = (R: 0 )
2) Efetue :

a) (+ 3xy) – (-xy) + (xy) = (R: 5xy)
b) (+ 15x) – (-3x) – (+7x) + (-2x) = (R: 9x )c) (-9y) –( +3y) – (+y) + (-2y) = (R: -15y)
d) (3n) + (-8n) + (+4n) – (-5n) – (-n) = (R: 5n)

3) Efetue:

a) (+1/2x) + (-1/3x) = (R: 1x/6)
b) ( -2/5x) + (-2/3x) = (R: -16x/15)
c) (-7/2y) + (+1/4y) = (R: -13y/4)
d) (+2m) +( -3/4m) = (R: 5m/4)
e) (+2/3x) - ( -3/2x) = (R: 13x/6)
f) (-3/4y) – (+1/2y) = (R: -5y/4)
g) (+2/5m) – (+2/3m) = (-4m/15)
h) (-3x) –(-2/5x) = (R: 13x/5)



MULTIPLICAÇÃO

Vamos Calcular:
(3x²) . (2x⁵) =
( 3 . x . x) . ( 2 .x.x.x.x.x.)=
3 .2 x.x.x.x.x.x.x =
6x⁷

Conclusão: multiplicam-se os coeficientes e as partes literais

Exemplos

a) (3x⁴) . (-5x³) = -15x⁷
b) (-4x) . (+3x) = -12x²
c) (-2y⁵) . (-7y ) = 14y⁶
d) (3x) . ( 2y) = 6xy


EXERCÍCIOS


1) Calcule:
a) (+5x) . (-4x²) = (R: -20x³)
b) (-2x) . (+3x) = (R: -6x²)c) (+5x) . (+4x) = (R: 20x²)
d) (-n) . (+ 6n) = (R: -6n²)e) (-6x) . (+3x²) = (R: -18x³)
f) (-2y) . (5y) = (R: -10y²)
g) (+4x²) . (+5x³) = (R: 20x⁵)
h) (2y) . (-7x) = (R: -14yx)
i) (-2x) . (-3y) = (R: 6xy)
j) (+3x) . (-5y) = (R: -15xy)
k) (-3xy) . (-2x) = (R: 6x²y)
2) Calcule

a) (2xb) . (4x) = (R: 8x²b)
b) (-5x²) . (+5xy²) = ( R: -25 x³y²)c) (-5) . (+15x²y) = (R: -75 x²y)
d) (-9X²Y) . (-5XY²) = (R: 45x³y³)e) (+3X²Y) . (-XY) = ( R: -3x³y²)
f) (X²Y³) . (5X³Y²) =
g) (-3x) . (+2xy) . ( -x³) = (R: 6x⁵y)h) (-x³) . (5yx²) . (2y³) =
i) (-xy) . (-xy) . (-xy) =
j) (-xm) . ( x²m) . (3m) =

3) Calcule:

a) (1/2x) . (3/5x³) =
b) (-2/3x) . (+3/4y) =
c) (-1/3x²) . (4/3x³) =
d) (-x²/3) . (-x/2) =
e) (-2x/3) . (6x/5) =
f) (-10xy) . ( xy²/3) =

DIVISÃO


Vamos calcula:

(15x⁶) : (5x²) =
15 . x . x . x. x. x. x : 3 . x . x
3 . x . x . x . x
3x⁴

Conclusão: dividem-se os coeficientes e as partes literais

Exemplos

a) (21x⁶) : (-7x⁴) = -3x²
b) (-10x³) : (-2x²) = +5x
c) (-15x³y) : ( -5xy) = +3x²

EXERCÍCIOS

1) Calcule os quocientes:

a) (15x⁶) : (3x²) =
b) (16x⁴) : (8x) =
c) (-30x⁵) : (+3x³) =
d) (+8x⁶) : (-2x⁴) =
e) (-10y⁵) : (-2y) =
f) (-35x⁷) : ( +5x³) =
g) (+15x⁸) : (-3x²) =
h) (-8x) : (-8x) =
i) (-14x³) : (+2x²) =
j) (-10x³y) : (+5x²) =
k) (+6x²y) : (-2xy) =
l) (-7abc) : (-ab) =
m) (15x⁷) : ( 6x⁵) =
n) (20a³b²) : ( 15ab²) =
o) (+1/3x³) : (-1/5x²) =
p) (-4/5x⁵y) : ( -4/3x³y) =
q) (-2xy²) : ( xy/4) = (R: -8y)

POTENCIAÇÃO
Vamos calcular:

(5a³m)² = 25 a⁶m

Conclusão : Para elevarmos um monômio a uma potência, elevamos cada um de seus fatores a essa potência.

Exemplos

1) (-7x)² = 49 x²
2) (-3x²y)³ = -27x⁶y³
3) (- 1/4x⁴)² = 1/16x⁸


EXERCÍCIOS

1) Calcule:

a) ( + 3x²)² =
b) (-8x⁴)² =
c) (2x⁵)³ =
d) (3y²)³ =
e) (-y²)⁴ =
f) (-mn)⁴ =
g) (2xy²)⁴ =
h) (-4x²b)² =
i) (-3y²)³ =
j) (-6m³)² =
k) (-3x³y⁴)⁴ =
l) (-2x²m³)³ =

2) Calcule:

a) (x²/2)³ =
b) (-x²/4)² =
c) (-1/2y)² =
d) (+2/3x)³ =
e) (-3/4m)² =
f) (-5/6m³)² =

RAIZ QUADRADA

Aplicando a definição de raiz quadrada, temos:

a) √49x² = 7x, pois (7x)² = 49x²
b) √25x⁶ = 5x³, pois (5x³)² = 25x⁶

Conclusão: para extrair a raiz quadrada de um monômio, extraímos a raiz quadrada do coeficiente e dividimos o expoente de cada variável por 2

Exemplos:

a) √16x⁶ = 4x³
b) √64x⁴b² = 8x²b

Obs: Estamos admitindo que os resultados obtidos não assumam valores numéricos negativos

EXERCÍCIOS

1) Calcule

a) √4x⁶ =
b) √x²y⁴ =
c) √36c⁴ =
d) √81m² =
e) √25x¹² =
f) √49m¹⁰ =
g) √9xb² =
h) √9x²y² =
i) √16x⁸ =

2) Calcule:

a) √x²/49 =
b) √x²/25 =
c) √4/9x⁸ =
d) √49/64x¹⁰ =
e) √25/81yx⁶ =
f) √121/100 x²m⁸ =

sexta-feira, 29 de novembro de 2019

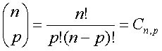
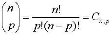
O triângulo de Pascal

O triângulo de Pascal tem o objetivo de dispor os coeficientes binomiais, de modo que os coeficientes de mesmo numerador agrupem-se em uma mesma linha, e coeficientes de mesmo denominador agrupem-se na mesma coluna. O coeficiente binomial de dois números naturais é expresso por:

O número n é o numerador e o p, o denominador.

Observe a distribuição no triângulo:

Calculando os valores dos coeficientes, obtemos outra forma de expressar o triângulo de Pascal ou Tartaglia:

O triângulo apresenta algumas propriedades fundamentais. Veja:

Cada linha inicia e termina com o número 1.

Em cada linha, os termos equidistantes dos extremos possuem valor igual.


A partir da 2º linha, podemos perceber que cada elemento, com exceção do primeiro e do último, é igual à soma de dois elementos da linha anterior, a saber: o elemento imediatamente acima e o anterior. Observe:


A soma dos elementos de cada linha do triângulo é a potência de base 2 elevado ao expoente referente à linha. Observe:

www.mundoeducacao.com.br/

Órgãos dos sentidos

Professor de Matemática e Biologia Antônio Carlos Carneiro Barroso
Colégio Estadual Dinah Gonçalves
email accbarroso@hotmail.com
www.youtube.com/accbarroso1

Órgãos dos sentidos

Você já reparou quantas coisas diferentes nosso corpo é capaz de fazer? Podemos perceber o ambiente vendo, ouvindo, cheirando, apalpando, sentindo sabores. Recebemos informações sobre o meio que nos cerca. Ao processá-las em nosso cérebro, nós as interpretamos, seja como sinais de perigo, sensações agradáveis ou desagradáveis, etc. Depois dessa interpretação, respondemos aos estímulos do ambiente, interagindo com ele.

Nossos corpos podem fazer diversas coisas que uma máquina não é capaz.

Como você sabe o que está acontecendo ao seu redor? Recebemos informações sobre o ambiente através dos cinco sentidos: visão, audição, paladar, olfato e tato.



A visão

A energia luminosa (luz) chega aos nossos olhos trazendo informações do que existe ao nosso redor. Nossos olhos conseguem transformar o estímulo luminoso em uma outra forma de energia (potencial de ação) capaz de ser transmitida até o nosso cérebro. Esse último é responsável pela criação de uma imagem a partir das informações retiradas do meio.

O olho é revestido por três membranas: esclera, coróide e retina. A esclera á a camada mais externa, o que chamamos de “branco do olho”.

A parte anterior da esclera é constituída pela córnea, que é uma membrana curva e transparente por onde passa a luz.

Além da córnea, há a coróide – essa membrana intermediária apresenta muitos vasos sanguíneos que nutrem as células oculares.

Na parte anterior da coróide, sob a córnea, encontra-se a íris, que é a parte colorida do olho. No centro da iria, há uma abertura, a pupila, por onde a luz entra no olho. A cor da íris depende da quantidade de melanina (substância também responsável pela cor da pele) que a pessoa possui. A quantidade de pigmento é hereditária, ou seja, é determinada pelos genes.



Observe seus olhos em um espelho. Você verá uma "bolinha" bem preta no centro da região colorida. É a pupila. Mas, o que é a pupila?

Nada mais do que um orifício que deixa passar a luz. Você já saiu de um local escuro e entrou em outro ambiente bem claro? O que aconteceu? Provavelmente, você ficou ofuscado, isto é, deixou de enxergar por alguns segundos. A região colorida de seus olhos é conhecida como íris. Trata-se de uma delicada musculatura que faz sua pupila ficar grande ou pequena, de acordo com a quantidade de luz que ela recebe.

Quando a quantidade de luz é pequena, é preciso aumentar esse orifício para captar a maior quantidade possível de energia luminosa. Já quando a luminosidade é grande, a íris diminui a pupila, tornando menor a entrada de luz, para seus olhos não receberem tanta "informação" ficando incapazes de transmiti-las ao cérebro.



Partes internas do olho

As estruturas transparentes, existentes no interior do olho, permitem que a luz atravesse o globo ocular e chegue até a retina, que é sensível ao estímulo da luz. Essas estruturas são: o cristalino, a córnea, o humor aquoso e o humor vítreo.



- cristalino: lente biconvexa coberta por uma membrana transparente. Situa-se atrás da pupila e e orienta a passagem da luz até a retina. Também divide o interior do olho em dois compartimentos contendo fluidos ligeiramente diferentes: (1) a câmara anterior, preenchida pelo humor aquoso e (2) a câmara posterior, preenchida pelo humor vítreo. Pode ficar mais delgado ou mais espesso, porque é preso ao músculo ciliar, que pode torná-lo mais delgado ou mais curvo. Essas mudanças de forma ocorrem para desviar os raios luminosos na direção da mancha amarela. O cristalino fica mais espesso para a visão de objetos próximos e, mais delgado para a visão de objetos mais distantes, permitindo que nossos olhos ajustem o foco para diferentes distâncias visuais. A essa propriedade do cristalino dá-se o nome de acomodação visual. Com o envelhecimento, o cristalino pode perder a transparência normal, tornando-se opaco, ao que chamamos catarata.

- córnea: porção transparente da túnica externa (esclerótica); é circular no seu contorno e de espessura uniforme.


Sua superfície é lubrificada pela lágrima, secretada pelas glândulas lacrimais e drenada para a cavidade nasal através de um orifício existente no canto interno do olho.

- humor aquoso: fluido aquoso que se situa entre a córnea e o cristalino, preenchendo a câmara anterior do olho.

- humor vítreo: fluido mais viscoso e gelatinoso que se situa entre o cristalino e a retina, preenchendo a câmara posterior do olho. Sua pressão mantém o globo ocular esférico.
Estruturas de proteção dos olhos

O globo ocular apresenta, ainda, anexos: as pálpebras, os cílios, as sobrancelhas ou supercílios, as glândulas lacrimais e os músculos oculares.

As pálpebras são duas dobras de pele revestidas internamente por uma membrana chamada conjuntiva. Servem para proteger os olhos e espalhar sobre eles o líquido que conhecemos como lágrima. Os cílios ou pestanas impedem a entrada de poeira e de excesso de luz nos olhos, e as sobrancelhas impedem que o suor da testa entre neles.

As glândulas lacrimais produzem lágrimas continuamente. Esse líquido, espalhado pelos movimentos das pálpebras, lava e lubrifica o olho. Quando choramos, o excesso de líquido desce pelo canal lacrimal e é despejado nas fossas nasais, em direção ao exterior do nariz.

Mecanismo da visão

Os raios de luz refletidos do objeto entram nos nossos olhos, atravessam as estruturas oculares - a córnea, a pupila, os humores, o cristalino – e chegam ao fundo do olho, até a retina, onde existem células sensíveis a luz. A imagem transformada em impulsos nervosos, é enviada a través do nervo óptico ao cérebro. No cérebro as informações (cor, forma, tamanho e posição) são “interpretadas” fazendo com que a imagem do objeto em foco seja vista na posição correta.



Saúde visual

Todo mundo tem alguém na família ou pelo menos conhece alguém que usa óculos. Geralmente pensamos logo nos nossos avós, pois a maioria dos idosos tem dificuldade para enxergar. Mas ao contrário do que se pensa, os problemas de visão ocorrem na infância e adolescência. Pesquisas revelam que 1 em cada 5 crianças em idade escolar sofre de problemas de visão. Uma criança não tem como comparar se está enxergando bem ou não e dificilmente vai se queixar, o que pode trazer sérios problemas para o aprendizado e a saúde.

Os sintomas podem ser:

* Dificuldade de leitura: Quando você lê um livro, preste atenção se precisa aproximá-lo dos olhos ou se é necessário afastá-lo. Observe se as letras ficam meio embaçadas, como se tivesse uma nuvem de fumaça sobre seus olhos.
* Piscamento: Observe se você pisca muitas vezes ao focalizar algum objeto ou durante a leitura.
* Sensibilidade exagerada à luz: Em ambientes claros a pessoa não consegue abrir os olhos totalmente, que em seguida começam a lacrimejar.
* Terçol Frequênte: É uma inflamação geralmente localizada nas pálpebras, como se fosse uma espinha grande, deixando a região avermelhada e inchada.
* Dores de Cabeça: Geralmente durante ou após a leitura ou ao assistir televisão.
* Tonteiras: Também são frequêntes durante a leitura.


Se você tem algum desses sintomas deve consultar um oftalmologista que irá fazer alguns exames para confirmar se você tem ou não problemas de visão. Se for confirmado, é capaz de você escutar uns nomes bem esquisitos como miopia, hipermetropia e astigmatismo. Mas não precisa se assustar. Esses são os nomes específicos para cada problema. Quer conhecer?


Então, confira abaixo:

* Miopia - Dificuldade de enxergar de longe
* Hipermetropia - Dificuldade de enxergar de perto
* Astigmatismo - A imagem fica desfocada, meio embaçada devido a uma alteração na Córnea (camada transparente sobre a parte colorida).


Depois disso, certamente você deverá usar óculos. E nem pensar em ficar chateado e achar que você é o único, pelo contrário, os óculos vão te fazer enxergar tudo, bem direitinho. Seja de longe ou de perto.

E além do mais, hoje em dia, existem óculos com armações bem modernas. Podem ser coloridos, redondos ou quadrados, grandes ou pequenos. Existem até alguns em que as armações são tão fininhas que ficam quase imperceptíveis. É só escolher um que você se sinta bem ou fazer uma coleção. Já pensou que legal usar um óculos diferente todo dia?

Então, nada de ficar com medo de ir ao médico fazer o exame. Você verá a vida com outros olhos.
Doenças dos olhos



Conjuntivite

Conjuntivite é a inflamação da conjuntiva, membrana transparente e fina que reveste a parte da frente do globo ocular (o branco dos olhos) e o interior das pálpebras. Em geral, ataca os dois olhos, pode durar de uma semana a 15 dias e não costuma deixar sequelas. A combinação de vários sintomas pode estar presente na conjuntivite como: coceira, olhos avermelhados e lacrimejando em excesso, visão embaçada e sensível à claridade, inchaço das pálpebras, e ainda pode ocorrer também dor de cabeça, mal-estar geral e inflamação nos gânglios.

As principais causas da conjuntivite são:

* Contaminação do olho com bactérias ou vírus. Os dois tipos de infecção são contagiosos. As virais são as que mais freqüentemente causam epidemias.
* Irritação química é outra causa de conjuntivite. Os causadores podem ser a poluição do ar, sabonetes, spray, maquiagens, cloro, produtos de limpeza, etc.
* Alguns indivíduos apresentam conjuntivite alérgica (sazonal), devido a alergia a polens.



A conjuntivite pode ser transmitida através do contado direto com secreções oculares de uma pessoa infectada transmitidos principalmente pelas mãos, por toalhas, cosméticos ou indiretamente por meio de instrumentos, superfícies ou soluções contaminadas. É muito comum a contaminação dentro do meio familiar, isto é, o contato direto e indireto de um indivíduo infectado com outro da mesma família.



O glaucoma

É decorrente do acúmulo de humor aquoso, resultando do aumento de pressão dentro dos olhos. O nervo óptico é a parte do olho que carrega a informação visual até o cérebro. É formado por mais de um milhão de células nervosas. Quando se eleva a pressão no olho, as células nervosas tornam-se comprimidas, o que as danifica, e eventualmente até causa sua morte. A morte destas células resulta em perda visual permanente. O diagnóstico e o tratamento precoces do glaucoma podem prevenir esta situação.

Catarata

Ocorre, com mais frequência em pessoas com mais de 50 anos. A catarata prejudica a visão porque o cristalino perde parte da sua transparência. O tratamento geralmente é cirúrgico.



Tracoma

É uma inflamação que afeta a córnea e a conjuntiva. Essa doença é causada por vírus. O tracoma é uma doença contagiosa que se propaga de modo semelhante da conjuntivite, por meio das mãos e de objetos contaminados. Os sintomas são fotofobia (grande sensibilidade à luz), dor e lacrimejamento.



Avitaminose A

Isto é, a falta de vitamina A no organismo, prejudica a recepção dos estímulos luminosos pelos sensores oculares. Essa deficiência vitamínica pode levar à cegueira noturna e à xeroftalmia (secura da córnea, que também pode levar a perda de visão).



Cuidados com os olhos

Como vimos, os olhos têm estruturas próprias de proteção. Mas, mesmo assim, devemos ter alguns cuidados especiais com os olhos, consultando sempre o médico:

* Não usar óculos sem receita médica.
* Não usar colírio sem recomendação médica.
* Em caso de cisco, lavar o olho com cuidado, sem esfregá-lo.
* Procurar ler e escrever em lugar adequadamente iluminado.
* Ao assistir televisão e ao ler ou escrever, manter a distância adequada. Da televisão, manter no mínimo 1,5 metros da tela. O livro ou o caderno devem estar a uma distância de 30 cm dos olhos.
* Para usar o computador, posicionar-se entre 45 cm a 70 cm do monitor. A tela deve ter a sua altura regulada um pouco abaixo da altura dos olhos.
* Nunca olhar diretamente para o Sol, pois isso pode causar sérios danos aos olhos. Evitar olhar diretamente para fonte intensa de luminosidade, farol de carro, por exemplo.

Audição

Nossos ouvidos também nos ajudam a perceber o que está ocorrendo a nossa volta. Além de perceberem os sons, eles também nos dão informações sobre a posição de nossos corpos, sendo parcialmente responsáveis por nosso equilíbrio. O pavilhão auditivo (orelha externa) concentra e capta o som para podermos ouvir os sons da natureza, diferenciar os sons vindos do mar do som vindo de um automóvel, os sons fortes e fracos, graves e agudos.

Por possuirmos duas orelhas, uma de cada lado da cabeça, conseguimos localizar a que distância se encontra o emissor do som. Percebemos a diferença da chegada do som nas duas diferentes orelhas. Desse modo, podemos calcular a que distância encontra-se o emissor. Nossas orelhas captam e concentram as vibrações do ar, ou melhor, as ondas sonoras, que passam para a parte interna do nosso aparelho auditivo, as orelhas médias, onde a vibração do ar faz vibrar nossos tímpanos - as membranas que separam as orelhas externas das médias.


Essa vibração, por sua vez, será transmitida para três ossículos, o martelo, a bigorna e o estribo. Através desses ossos, o som passa a se propagar em um meio sólido, sendo assim transmitido mais rapidamente. Assim, a vibração chega à janela oval - cerca de vinte vezes menor que o tímpano - concentrando-se nessa região e amplificando o som.

Da orelha interna, partem os impulsos nervosos. Nosso aparelho auditivo consegue ampliar o som cerca de cento e oitenta vezes até o estímulo chegar ao nervo acústico, o qual levará a informação ao cérebro. Quando movemos a cabeça, movimentamos também os líquidos existentes nos canais semicirculares e no vestíbulo da orelha interna. É esse movimento que gera os estímulos que dão informações sobre os movimentos que nosso corpo está efetuando no espaço e sobre a posição da cabeça, transmitindo-nos com isso a noção de equilíbrio.



A orelha e o equilíbrio

A orelha é mais conhecida como o órgão do sentido da audição, mas ela também ajuda a manter o equilíbrio – a orientação postural – e o senso de direção. Dentro da orelha interna, há um “equipamento” de percepção de equilíbrio: os canais semicirculares, também chamados de labirinto que são preenchidos por líquido. Essas estruturas não participam do processo de audição. Quando movimentamos a cabeça, o líquido se desloca dentro dos canais. O deslocamento desse líquido estimula nervos específicos, que enviam ao cérebro informação sobre a posição do nosso corpo em relação ao ambiente. O nosso cérebro interpreta a mensagem e comanda os músculos que atuam na manutenção do equilíbrio do corpo.



Cuidados com os órgãos auditivos

Para este equipamento funcionar direitinho, cuide bem dele!

* O ouvido está sujo? Limpeza nele! Mas ATENÇÃO: nada de cotonete! Se não você pode fazer o maior estrago no seu ouvido! Peça uma ajudinha a um adulto, para ele mostrar como você deve fazer: é só usar a própria toalha e limpar apenas a parte de fora, na frente e atrás. Pode deixar que o médico cuida da parte de dentro!
* Praia e piscina são uma delícia, e mergulhar é melhor ainda. Mas cuidado: tente não deixar entrar água no ouvido e seque-o depois que sair, virando a cabeça de lado e fazendo uma leve pressão. Mas se você é um grande mergulhador e não consegue ficar parado, peça a um adulto para levá-lo ao médico; ele pode receitar um tampão feito sob medida para você.
* Ouvido também "gasta", sabia? Se você não cuidar bem do seu, pode ficar sem escutar direito... por isso, cuidado ao ouvir música no walkman: o som muito alto faz mal aos delicados órgãos auditivos, e pode até provocar dor de cabeça e zumbido no ouvido. O melhor mesmo é evitar os fones, ou ouvir baixinho.
* Se você já viajou para regiões de serra ou andou de avião, deve ter tido a sensação de ficar "surdo", não é? Isto acontece por causa da mudança de pressão do ar: Para não incomodar muito, quando isto acontecer, você pode engolir saliva várias vezes, ou abrir bem a boca. Em uma viagem longa, é legal chupar uma bala ou mascar chiclete. Não estranhe se seu ouvido ficar "estalando"!



Poluição sonora

Dizemos que há poluição sonora quando os ruídos incomodam por serem altos demais para o nosso sistema auditivo. A audição humana, em níveis normais, capta sons a partir de 10 ou 15 decibéis. Até cerca de 80 a 90 decibéis, os sons são inofensivos à audição humana. Acima dessa medida, podem provocar dores de cabeça, irritabilidade e insônia e, sobretudo, diminuição da capacidade auditiva.



Segundo a OMS, o “volume sonoro” nas cidades não deve ultrapassar 70 decibéis, para evitar a poluição sonora.
Olfato

Podemos adivinhar o que está no forno apenas pelo cheiro que sentimos no ar da cozinha. Esse é o sentido do olfato. Partículas saídas dos alimentos, de líquidos, de flores, etc. chegam ao nosso nariz e se dissolvem no tecido que reveste a região interna do teto da cavidade nasal, a mucosa olfatória. Ali a informação é transformada, para ser conduzida, através do nervo olfatório, até o cérebro, onde será decodificada.



A capacidade do nosso olfato é significativa. Podemos distinguir milhares de odores diferentes e identificar substâncias que têm cheiro forte, mesmo quando muito diluídas. Em relação ao sentido do olfato de outros animais, o nosso não pode ser considerado um dos mais desenvolvidos. O cachorro, por exemplo, tem o olfato muito mais apurado.



Paladar

Mesmo com os olhos vendados e o nariz tapado, somos capazes de identificar um alimento que é colocado dentro de nossa boca. Esse sentido é o paladar. Partículas se desprendem do alimento e se dissolvem na nossa boca, onde a informação é transformada para ser conduzida até o cérebro, que vai decodificá-la. Os seres humanos distinguem as sensações de doce, salgado, azedo e amargo através das papilas gustativas, situadas nas diferentes regiões da língua.



Para sentirmos os diferentes sabores, os grupamentos atômicos dos alimentos são dissolvidos pela água existente em nossa boca e estimulam nossos receptores gustativos existentes nas papilas.


Atuação do olfato em conjunto com o paladar

Quando mastigamos uma goiaba, também sentimos o cheiro que ela exala. Isso ocorre porque as partículas da substância que compõe a fruta – a essência – são captadas pelo sentido olfativo. O fato que podemos detectar pelo olfato a essência da fruta nos possibilita identificar o sabor da goiaba. É pelo olfato que identificamos os sabores específicos, por exemplo, da pêra e da goiaba, mesmo ambas sendo doces. Quando ficamos gripados, podemos constatar a atuação conjunta do olfato e do paladar. Um dos sintomas da gripe ou do resfriado é a produção de muito muco pelo nariz. Isso dificulta a circulação de ar (que carrega as partículas das substâncias) pela cavidade nasal. O ar não chega as células olfativas, prejudicando a percepção dos cheiros. Nessas ocasiões temos a percepção de que os alimentos, até os mais saborosos, perderam o gosto.




Tato

Já a nossa pele nos permite perceber a textura dos diferentes materiais, assim como a temperatura dos objetos, pelas diferenças de pressão, captando as variações da energia térmica e ainda as sensações de dor. Podemos sentir a suavidade do revestimento externo de um pêssego, o calor do corpo de uma criança que seguramos no colo e a maciez da pele de um corpo que acariciamos. Sem essas informações, nossas sensações de prazer seriam diminuídas, poderíamos nos queimar ou nos machucaríamos com frequência. Essa forma de percepção do mundo é conhecida como tato.

Os receptores do tato percebem as diferenças de pressão (receptores de pressão), traduzem informações recebidas pelo contato com diferentes substâncias químicas, percebem também a transferência de energia térmica que ocorre de um corpo para outro (receptores de calor).



Lendo com as pontas dos dedos

Os deficientes visuais podem ler textos, algarismos, notas musicais etc. e também redigir os seus próprios textos pelo sistema braile. O alfabeto desse sistema é constituído de pequenos pontos salientes em uma folha de papel. A leitura é feita por leve pressão da ponta dos dedos sobre os pontos para a percepção de sua posição e número. A escrita é realizada por perfuração do papel por um instrumento apropriado. Isso é possível à grande concentração de receptores sensíveis às pressões na ponta dos dedos.

O sistema braile é utilizado internacionalmente e em todos os idiomas. Ele permite a representação de letras e de diversos outros sinais.
Nossos sentidos nos informam, de várias maneiras, sobre o que está acontecendo a nossa volta. Podemos ver e ouvir, cheirar e sentir sabores. Podemos sentir a textura e a temperatura das coisas que tocamos. Nossos sentidos são impressionados pela matéria e a energia e, assim, nosso organismo entra em contato com o meio ambiente.

No entanto, nossos órgãos dos sentidos são limitados, percebem apenas uma determinada quantidade de comprimentos de ondas luminosas, sonoras, etc. Do mesmo modo, nosso corpo suporta somente uma determinada quantidade de pressão. Mas o homem passou a criar instrumentos para ampliar a sua percepção do mundo, podendo enxergar objetos cada vez menores e maiores, compreender e identificar ultra-sons e infra-sons. Com a possibilidade de um novo olhar, o homem foi encontrando novos problemas, levantando novas hipóteses, chegando a novas conclusões e conhecendo novas realidades.
www.sobiologia.com.br

As aves

Professor de Matemática e Biologia Antônio Carlos Carneiro Barroso
Colégio Estadual Dinah Gonçalves
email accbarroso@hotmail.com
WWW.profantoniocarneiro.com


As aves



As aves compreendem um grupo muito grande e bonito de animais. Chamam a atenção pela beleza e pelo canto. São os únicos animais que possuem penas. A conquista do vôo permitiu a estes animais habitarem locais de difícil acesso e até impossível para outras espécies. Apresentam outra grande adaptação à vida terrestre, a homeotermia, que é a manutenção da temperatura corporal, regulada pelo próprio metabolismo. O estudo das aves é chamado Ornitologia.

As aves evoluíram a partir dos répteis e muitas modificações ocorreram para que elas conquistassem todo esse modo de vida. Os ovos passaram a se desenvolver fora do corpo da fêmea, aparecimento de penas, os membros anteriores deram origem à asas, a excreção nitrogenada é o ácido úrico, num composto pastoso para economizar água, perda da bexiga, endotermia, separação da circulação venosa e arterial, sacos aéreos que ajudam na diminuição da densidade e dissipam calor, corpo aerodinâmico e elaboração da voz e da audição.

Tegumento

A pele é delgada, flexível e frouxamente presa à musculatura subjacente. Não possuem glândulas, com exceção da glândula uropigiana, que fica próxima à base da cauda, onde a ave passa o bico, recolhendo a secreção e passa nas penas para impermeabilizar e também evitar que o bico fique quebradiço.



As penas são leves e flexíveis. Crescem a partir dos folículos que estão na pele, formam uma isolação térmica e protegem a pele, além de terem uma enorme importância no vôo.

Existem vários tipos de pena como: penas de contorno, plumas, filoplumas, cerdas e plumas pulverulentas.

Durante o crescimento da ave, os pigmentos são depositados nas penas, resultando na coloração destas. O conjunto de todas as penas é chamado plumagem. O processo de troca das penas é chamado de muda.

Esqueleto

Os ossos das aves precisam ser leves e delicados para o vôo e muitos possuem cavidades para a diminuição do peso, são chamados ossos pneumáticos.

No esterno possuem a quilha ou carena, local onde os músculos peitorais se inserem, estes são responsáveis pelos batimentos da asa.



Musculatura

Para maior agilidade destes animais, assim como nos mamíferos, os músculos dos membros são aumentados. Os músculos peitorais das aves são responsáveis pelo movimento da asa durante o vôo e se inserem na quilha.

Como as pernas e patas não possuem penas, elas possuem poucos músculos para evitar a perda de calor e garantir uma forma mais aerodinâmica.

Digestão

A língua das aves é pequena, pontiaguda e possui um revestimento córneo. O formato do bico é adaptado à dieta de cada espécie e não possui dentes.

O sistema digestório é formado por boca, uma faringe curta, esôfago tubular que se dilata no papo, local onde o alimento fica armazenado e é umedecido. O estômago é dividido em proventrículo, que secreta enzimas, e ventrículo ou moela, onde o alimento é triturado pelos movimentos dos músculos. O intestino delgado termina no reto, há dois cecos, a cloaca e o ânus. A cloaca é a saída dos aparelhos reprodutor e excretor.



Circulação

A circulação é fechada e o coração tem 2 átrios e 2 ventrículos completamente separados, persistindo o arco aórtico sistêmico direito.

Não há mistura entre sangue venoso e sangue arterial e isso é muito importante na regulação da temperatura. As hemácias são ovais e nucleadas.

Respiração

Os pulmões das aves são compactos e muito eficientes. Estão ligados à estruturas muito importantes chamadas sacos aéreos, que trabalham para a diminuição da densidade da ave durante o vôo.

Na base da traquéia há uma estrutura chamada siringe, com músculos vocais, responsáveis pelo canto.

Esses sons emitidos pelas aves possibilitam a comunicação entre indivíduos da mesma espécie - o que é importante para a defesa do animal, para a marcação do território, e para aproximar machos e fêmeas no período reprodutivo. Há aves, como o avestruz e o urubu, que não possuem a siringe.






Excreção

As aves não têm bexiga. Os rins se comunicam diretamente com a cloaca por dois canais. A urina é esbranquiçada, meio pastosa e eliminada junto com as fezes.


Sistema Nervoso

O cérebro de uma ave é proporcionalmente maior que o cérebro de um réptil e possuem 12 pares de nervos cranianos.




Reprodução

As aves são dióicas, com fecundação interna, ovíparas e com desenvolvimento direto. A fecundação ocorre geralmente na região superior do oviduto, as glândulas da parte posterior secretam as membranas da casca quando o ovo está pronto para a postura.



A fêmea possui apenas um ovário, que produz grandes óvulos. O óvulo, também chamado de gema, quando fecundado pelo espermatozóide masculino, forma o zigoto, embrião do novo ser vivo. Passando por um longo canal, o ovo sai pela cloaca.

Os ovos são chocados pela fêmea, pelo macho ou pelos dois, geralmente, em ninho. O corpo da ave adulta sobre os ovos lhes garante o calor necessário para desenvolver o embrião. O período de incubação dura de 20 a 30 dias.

Nos ovos, existem substâncias (o vitelo) que nutrem o filhote em formação. A casca é porosa e apresenta minúsculos orifícios, que permitem a troca de gases, mas não a saída da água do interior do ovo, o que deixaria o embrião desidratado e o levaria a morte.
www.sobiologia.com.br

RESOLUÇÃO DE EQUAÇÃO INCOMPLETAS

RESOLUÇÃO DE EQUAÇÃO INCOMPLETAS



Resolver uma equação é determinar todas as suas soluções. Vejamos, através de exemplos, como se resolvem as equações incompletas do 2° grau

1° CASO – equações da forma ax² + c = 0, (b = 0)

Exemplos:

1) x² - 25 = 0
x² = 25
x = √25
x = 5
logo V= (+5 e -5)

2) 2x² - 18 = 0
2x² = 18
x² = 18/2
x² = 9
x = √9
x = 3
logo V= (-3 e +3)

3) 7x² - 14 = 0
7x² = 14
x² = 14/7
x² = 2
x = √2
logo V = (-√2 e +√2)

4) x²+ 25 = 0
x² = -25
x = √-25
obs: não existe nenhum número real que elevado ao quadrado seja igual a -25

EXERCÍCIOS

1) Resolva as seguintes equações do 2° grau

a) x² - 49 = 0 (R: -7 e +7)
b) x² = 1 (R: +1 e -1)
c) 2x² - 50 = 0 (R: 5 e -5)
d) 7x² - 7 = 0 (R: 1 e -1)
e) 5x² - 15 = 0 (R: √3 e -√3)
f) 21 = 7x² (R: √3 e -√3)
g) 5x² + 20 = 0 (R: vazio)
h) 7x² + 2 = 30 (R: 2 e -2 )
i) 2x² - 90 = 8 (R: 7 e -7)
j) 4x² - 27 = x² (R:3 e -3)
k) 8x² = 60 – 7x² (R: 2 e -2)
l) 3(x² - 1 ) = 24 (R: 3 e -3)
m) 2(x² - 1) = x² + 7 (R:3 e -3)
n) 5(x² - 1) = 4(x² + 1) (R:3 e -3)
o) (x – 3)(x + 4) + 8 = x (R:2 e -2)

2° CASO: Equações da forma ax² + bx = 0 ( c = 0)

Propriedade: Para que um produto seja nulo é preciso que um dos fatores seja zero .

Exemplos

1) resolver x² - 5x = 0
fatorando x ( x – 5) = 0

deixando um dos fatores nulo temos x = 0

e o outro x – 5 = 0 , passando o 5 para o outro lado do igual temos x = 5

logo V= (0 e 5)

2) resolver: 3x² - 10x = 0
fatorando: x (3x – 10) = 0

deixando um dos fatores nulo temos x = 0

Tendo também 3x – 10 = 0
3x = 10
x = 10/3

logo V= (0 e 10/3)

Observe que, nesse caso, uma das raízes é sempre zero.


EXERCÍCIOS

1) Resolva as seguintes equações do 2° grau.

a) x² - 7x = 0 (R: 0 e 7)
b) x² + 5x = 0 (R: 0 e -5)
c) 4x² - 9x = 0 (R: 0 e 9/4)
d) 3x² + 5x =0 (R: 0 e -5/3)
e) 4x² - 12x = 0 (R: 0 e 3)
f) 5x² + x = 0 (R: 0 e -1/5)
g) x² + x = 0 (R: 0 e -1)
h) 7x² - x = 0 (R: 0 e 1/7)
i) 2x² = 7x (R: 0 e 7/2)
j) 2x² = 8x (R: 0 e 4)
k) 7x² = -14x (R: 0 e -2)
l) -2x² + 10x = 0 (R: 0 e 5)

2) Resolva as seguintes equações do 2° grau

a) x² + x ( x – 6 ) = 0 (R: 0 e 3)
b) x(x + 3) = 5x (R: 0 e 2)
c) x(x – 3) -2 ( x-3) = 6 (R: 0 e 5)
d) ( x + 5)² = 25 (R: 0 e -10)
e) (x – 2)² = 4 – 9x (R: 0 e -5)
f) (x + 1) (x – 3) = -3 (R: 0 e 2)

Múltiplos de um Número


Múltiplos de um Número


Definimos Múltiplos de um Número n, como sendo o conjunto numérico obtido quando multiplicamos esse número n pela sucessão dos
números naturais IN . Sendo assim, o conjunto dos múltiplos de n será :

Lembremos que IN = { 0, 1 , 2, 3, 4 ,5 , 6, 7, 8 , 9, 10, 11, 12 , 13, ....} e :

M(n) = { n X 0, n X 1, n X 2, n X 3, n X 4, n X 5, n X 6, n X 7, ......} daí :

M(3) = { 3 X 0, 3 X 1, 3 X 2, 3 X 3, 3 X 4, 3 X 5, 3 X 6, 3 X 7, ......} e :
M(3) = { 0, 3, 6, 9, 12, 15, 18, 21, 24, ......}

M(7) = { 7 X 0, 7 X 1, 7 X 2, 7 X 3, 7 X 4, 7 X 5, 7 X 6, 7 X 7, ......} e :
M(7) = { 0, 7, 14, 21, 28, 35, 42, 49, 56, ......}

M(12) = { 12 X 0, 12 X 1, 12 X 2, 12 X 3, 12 X 4, 12 X 5, ......} e :
M(12) = { 0, 12, 24, 36, 48, 60, 72, 84, 96, ......}

Com isso percebemos que :

3.01A - O conjunto dos múltiplos de um número é um conjunto infinito, já que possui uma quantidade ilimitada de elementos.

3.01B - O conjunto dos múltiplos da unidade é o próprio conjunto IN dos números naturais.
M(1) = { 1 X 0, 1 X 1, 1 X 2, 1 X 3, 1 X 4, 1 X 5, ......} e :
M(1) = { 0, 1, 2, 3, 4, 5, 6, 7, 8, 9, 10, ......} = IN

3.01C - O conjunto dos múltiplos de ZERO é um conjunto finito e unitário.
M(0) = { 0 X 0, 0 X 1, 0 X 2, 0 X 3, 0 X 4, 0 X 5, ......} e :
M(0) = { 0, 0, 0, 0, 0, 0, ......} = { 0 }

E com isso percebemos que o Zero é um número especial.

3.01D - O conjunto dos múltiplos de 2 forma o conjunto dos números pares.
M(2) = { 2 X 0, 2 X 1, 2 X 2, 2 X 3, 2 X 4, 2 X 5, ......} e :
M(2) = { 0, 2, 4, 6, 8, 10, 12, ......}

Observação Importante: Alguns autores e alguns concursos, como o Colégio Naval, estendem a definição de Múltiplos de um número
para o conjunto dos números inteiros, e com isso teremos múltiplos positivos, negativos e o zero. Assim :

M(4) = { ..., -12, - 8, - 4, 0, 4, 8, 12, 16, .... } , mas só devemos considerar dessa forma se isso ficar bem claro numa questão.

Múltiplos de um Número - Exercícios Propostos


I - Determine:

01 M(4) 02 M(9) 03 M(11) 04 M(15) 05 M(24)


II - Complete as lacunas com os múltiplos ordenados crescentemente:

06 M(6) = { 0, ...., ...., 18, ...., 30, ....} 07 M(....) = { ...., ..., 16, ...., ...., 40,....}
08 M(....) = { 0, ...., ...., 42, ...., 70, ....} 09 M(x) = { ...., ..., ...., ...., ...., ...., ....}


10) Os Múltiplos pares de 3 formam os múltiplos de ?

11) Os Múltiplos pares de 7 formam os múltiplos de ?

III - Determine:
12) A soma dos 5 menores múltiplos de 7
13) A soma dos 7 menores múltiplos de 10
14) A soma dos 5 menores múltiplos ímpares de 7
15) A diferença entre a soma dos 5 primeiros múltiplos pares de 6 e a soma dos 4 primeiros múltiplos ímpares de 6.
16) Qual é o número cuja soma de seus 6 menores múltiplos é igual a 105 ?
17) Qual é o número cuja soma de seus 4 menores múltiplos pares é 60 ?
18) Qual o número cuja soma de seus 5 menores múltiplos ímpares é 225 ?

19) Um aluno relaciona em ordem crescente os seis menores múltiplos positivos de um número N. Adiciona os três maiores e
diminui o resultado da adição dos três menores; com isso encontra 153 como resultado. Qual é esse número N ?

20) Um aluno relaciona em ordem crescente os 10 menores múltiplos positivos de um número N. Adiciona os múltiplos ímpares e
diminui o resultado da adição dos múltiplos pares, e encontra para resultado 65. Qual é esse número N ?

21) A soma de 3 múltiplos consecutivos de 13 é 234. Determine o maior desses múltiplos.

22) A soma dos cinco menores múltiplos positivos de um número é sempre um múltiplo de .

a) 5 b) 6 c) 8 d) 10 e) 12


23) A soma dos sete menores múltiplos ímpares e positivos de um número é sempre um múltiplo de .

a) 3 b) 4 c) 5 d) 7 e) 9


24) O produto dos três menores múltiplos positivos de um número é sempre um múltiplo de .

a) 3 b) 4 c) 5 d) 6 e) 8


25) Quantos são os múltiplos de 9 compreendidos entre 12 e 394.

a) 42 b) 45 c) 38 d) 32 e) 54


26) Dentre os números naturais de três algarismos, quantos são múltiplos de 7 ?

a) 125 b) 105 c) 128 d) 101 e) 131


27) O produto de 3 múltiplos consecutivos de 4 é 1 536. Determine a soma desses 3 múltiplos.

a) 28 b) 30 c) 32 d) 36 e) 40


28) (Questão Desafio 01) Dentre os múltiplos de 3 inferiores a 200. Determine quantos terminam em 5 .
Resposta : 7 a saber : 15 - 45 - 75 - 105 - 135 - 165 - 195

29) (Questão Desafio 02) O produto de 3 múltiplos consecutivos de um número é 30 720. Determine esses 3 números.
Resposta : 24 - 32 - 40

30) (Questão Desafio 03) A soma de 4 múltiplos consecutivos de um número é 350. Determine todas as respostas possíveis para
esses 4 números.
Resposta : 80 - 85 - 90 - 95 ou 77 - 84 - 91 - 98 ou 50 - 75 - 100 - 125 ou 35 - 70 - 105 - 140

Respostas dos Exercícios Propostos


01 M( 4 ) = { 0; 4; 8; 12; 16; 20; 24; ... } 02 M( 9 ) = { 0; 9; 18; 27; 36; 45; 54; ... } 03 M( 11 ) = { 0; 11; 22; 33; 44; 55; 66; ... }
04 M( 15 ) = { 0; 15; 30; 45; 60; 75; ... } 05 M( 24 ) = { 0; 24; 48; 72; 96; 120; ... } 06 M( 6 ) = { 0, 6, 12, 18, 24, 30, ....}
07 M( 8 ) = { 0, 8, 16, 24, 32, 40,....} 08 M( 14 ) = { 0, 14, 28, 42, 56, 70, ....} 09 M( x ) = { 0, x, 2x, 3x, 4x, 5x, ....}
10 6 11 14 12 70
13 210 14 15
16 17 18
19 20 21
22 23 24
25 26 27
28 29 30
31 32






Matemática Fácil