domingo, 5 de janeiro de 2020

Multiplicação de Números Inteiros aula 3

Introdução à Geometria Analítica

Para começar o estudo da geometria analítica, é necessário conhecer o Plano Cartesiano:

O Eixo Y (linha vertical) é chamado de eixo das ordenadas, enquanto que o Eixo X (linha horizontal), é chamado de eixo das abscissas.
O ponto P (ponto vermelho da figura) possui duas coordenadas: X e Y , que indicam em que lugar dos eixos das ordenadas e abscissas ele se encontra. Representa-se isso por (Xp, Yp).

Os números romanos nos cantos mostram os quadrantes do plano cartesiano. Os pontos do eixo X que estão nos quadrantes II e III são negativos, enquanto que em I e IV são positivos. Os valores de Y nos quadrantes I e II são positivos, e nos restantes (III e IV), esses valores são negativos.

Bissetrizes
As bissetrizes são retas que cortam exatamente o centro do plano cartesiano ( ponto (0, 0) ), e formam um ângulo de 45º com os eixos X e Y. As coordenadas dos pontos que estão sobre a bissetriz que se encontra nos quadrantes pares são sempre opostos (se X for positivo, Y será negativo, e vice-versa).

Já os pontos sobre a bissetriz dos quadrantes ímpares, terão os valores de X e Y iguais. Veja no desenho abaixo:

Distância entre dois pontos

Se soubermos as coordenadas de dois pontos no plano cartesiano (ponto A e B), é possível determinar a sua distância, utilizando o teorema de Pitágoras (a² = b² + c²)

www.infoescola.com

O Sistema Genital

O Sistema Genital



Mudanças no corpo

A descoberta do sexo acontece com a descoberta do corpo. Moças e rapazes costumam acompanhar atentamente as mudanças que ocorrem nos seus órgãos sexuais externos. Essas mudanças são provocadas pela ação de hormônios.

As características sexuais primárias, visíveis nos órgãos genitais, são determinadas geneticamente e estão presentes desde o nascimento, tanto no homem como na mulher.



O corpo masculino

As principais modificações visíveis no corpo masculino ao longo da adolescência estão descritas abaixo.

Os testículos (dentro do saco escrotal) crescem primeiro e, pouco tempo depois, o pênis. Na puberdade, os pêlos surgem em diversos locais: no rosto, nas axilas, no peito e nas áreas próximas aos testículos. A voz também sofre mudanças.

Esse conjunto de características que se definem na puberdade, em conseqüência da ação hormonal, recebe o nome de características sexuais secundárias. Estas, porém, não obedecem a padrões rígidos. Adolescentes de mesma idade podem apresentar diferenças significativas em relação à estatura do corpo, quantidade de pêlos, tamanho do pênis, timbre de voz etc. O grupo étnico a que pertence o indivíduo, a herança genética, hábitos alimentares, problemas de saúde, dentre outros fatores, são responsáveis por essas diferenças.

Assim, colegas de mesma idade que a sua podem ser mais altos ou mais baixos que você ou terem a voz mais ou menos grave que a sua, por exemplo. Isto não deve preocupá-lo. As pessoas são diferentes e apresentam ritmos desiguais de desenvolvimento do corpo. É importante gostar de você, aprendendo a cuidar e valorizar o seu próprio corpo.

Os rapazes possuem uma pequena quantidade de hormônios sexuais femininos, as garotas, uma pequena quantidade de hormônios sexuais masculinos. Na puberdade, às vezes, um pequeno desequilíbrio na quantidade desses hormônios pode provocar um ligeiro crescimento das mamas nos rapazes ou pêlos em excesso nas garotas. Em geral, isso desaparece com o tempo, mas, se persistir, o mais aconselhável é procurar orientação médica.

Na região genital, encontramos o pênis e o saco escrotal.

Pênis e a Ejaculação – O pênis é um órgão de forma cilíndrica e constituído principalmente por tecido erétil, ou seja, que tem capacidade de se erguer. Com a excitação sexual, esse tecido e banhado e preenchido por maior quantidade de sangue, o que torna o pênis ereto e rígido. Na ponta do pênis, há a glande (a “cabeça”), que pode estar coberta pelo prepúcio.

Na glande, há o orifício da uretra, canal que no corpo masculino se comunica tanto com o sistema urinário quanto com o sistema reprodutor. O tamanho do pênis varia entre os homens e não tem relação biológica com fertilidade e nem com potência sexual.
Quando o homem é estimulado, como ocorre numa relação sexual, culmina com o esperma sendo lançado para fora do corpo masculino sob a forma de jatos. Esse fenômeno chama-se ejaculação.

O esperma é ejaculado através da uretra, por onde a urina também é eliminada. Durante uma ejaculação normal são expelidos de 2 a 4 mililitros de esperma; cada mililitro contém aproximadamente 100 milhões de espermatozóides.


Saco escrotal

Os espermatozóides, gameta sexual masculino, são produzidos nos testículos. Os testículos ficam no saco escrotal, que tem aparência flácida e um pouco enrugada. É importante eles se localizarem fora do abdome, pois os espermatozóides são produzidos em uma temperatura mais baixa do que a do restante do corpo.

Nos dias frios ou durante um banho frio, o saco escrotal se encolhe, favorecendo o aquecimento dos testículos. O uso de cueca apertada pode causar infertilidade temporária, decorrente do aquecimento excessivo que provoca nos testículos.





Testículos

Os testículos são glândulas sexuais masculinas. São formadas por tubos finos e enovelados, chamados túbulos seminíferos. Diferentemente do que ocorre com as garotas, que já nascem com “estoque” de gametas (óvulos) “prontos” no corpo, é na puberdade, sob ação dos hormônios, que se inicia no corpo masculino a produção de gametas (os espermatozóides) nos testículos.

A produção de espermatozóides começa na puberdade, por volta dos 12 ou 13 anos de idade e vai até o fim da vida. Cada espermatozóide é formado basicamente de três partes: cabeça, colo e cauda com flagelo.

Os testículos produzem também o hormônio sexual masculino, chamado testosterona. O hormônio testosterona estimula o aparecimento das características sexuais secundárias masculinas: pêlos no rosto e no restante do corpo, modificações na voz etc.





Epidídimos

Os espermatozóides que acabam de ser formados ficam armazenados no epidídimo, um outro enovelado de túbulos localizados sobre os testículos. Os epidídimos são dois órgãos formados por tubos enovelados, cada um localizado junto a um testículo. Reveja o esquema do sistema genital masculino e observe a localização dos epidídimos.

Os espermatozóides podem ficar armazenados nesses tubos por aproximadamente uma a três semanas, até que a maturação seja completada. Isso aumenta a sua mobilidade.

Os espermatozóides passam do epidídimo para um tubo com parede muscular chamado ducto deferente. De cada epidídimo parte um ducto deferente. Posteriormente e sob a bexiga urinária, cada ducto deferente se une ao canal da glândula seminal do mesmo lado e forma um tubo único, chamado ducto ejaculatório. Os ductos ejaculatórios lançam os espermatozóides num outro canal – a uretra. A uretra é um tubo que se inicia na bexiga urinária, percorre o interior do pênis e se abre no meio externo.



Glândulas Seminais e Próstata

As glândulas seminais são duas glândulas em forma de bolsa. Elas produzem um líquido denso que nutre os espermatozóides e aumenta a sua mobilidade.

A próstata é uma glândula produtora de um líquido de aspecto leitoso. Esse líquido é leitoso e neutraliza a acidez de restos de urina na uretra e, numa relação sexual, a acidez natural da vagina, protegendo assim os espermatozóides.

Em sua “viagem” até a uretra, os espermatozóides recebem os líquidos produzidos pelas glândulas seminais e pela próstata. Ao passar pela uretra, os espermatozóides recebem também um líquido lubrificante produzidos pelas glândulas bulbouretrais.

Ao conjunto formado pelos espermatozóides e os líquidos produzidos pelas glândulas seminais, pela próstata e pelas glândulas bulbouretrais dá-se o nome de esperma ou sêmen.
O corpo feminino



Observe a figura abaixo que mostra a passagem da adolescente para a mulher adulta. Algumas das mudanças dessa passagem são o aumento dos seios e o aparecimento de pêlos pubianos e pêlos nas axilas. Essas são algumas das características sexuais secundárias femininas.

Antes de falarmos do interior do corpo feminino, vamos conversar sobre a parte externa, por meio da qual a mulher recebe estímulos e se relaciona com o meio ambiente.

Para a mulher, conhecer o próprio corpo é fundamental para ajudar a mantê-lo saudável. O ginecologista (médico especializado em órgãos reprodutores femininos) pode esclarecer dúvidas caso seja notado alguma alteração que cause estranheza.



Monte de Vênus ou púbis

É a área triangular acima da vulva e na qual aparecem pêlos, a partir da puberdade.



Vulva

Nessa região, estão os pequenos e grandes lábios, que são dobras de pele muito sensíveis. Entre os pequenos lábios, há o clitóris, pequenina estrutura do tamanho aproximado de uma ervilha e, que em geral, provoca grandes sensações de prazer, quando estimulado.

Abertura da vagina

A abertura da vagina leva aos órgãos sexuais internos. Essa abertura é parcialmente bloqueada, na maioria das garotas virgens, por uma fina membrana chamada hímen, que, geralmente, é rompido na primeira relação sexual com a penetração do pênis. O hímen tem uma abertura por onde ocorre a saída do sangue menstrual.



Uretra

O orifício da uretra é por onde sai a urina; não conduz a nenhum órgão sexual interno.

Ânus

O ânus é o orifício por onde saem as fezes; é a saída da tubo digestório. Também não tem ligação com órgãos sexuais internos.

Períneo

Entre o ânus e a vulva, na entrada da vagina, existe uma região chamada períneo. No homem, o períneo localiza-se entre o saco escrotal e o ânus.

Na hora do parto, muitas vezes é necessário fazer um pequeno corte no períneo, para que a cabeça do bebê não lacere (corte) os músculos dessa região. Isso é importante para proteger a mãe, pois lesões extensas no períneo farão com que ela, no futuro, possa sofrer de “queda de bexiga” e perda da capacidade de controlar a retenção da urina. Após o nascimento do bebê, o médico faz a sutura (dá pontos com linha e agulha cirúrgica) do períneo. O procedimento é feito com anestesia local.
O corpo feminino por dentro



Vagina

É o canal que liga a vulva até o útero.



Útero

É um órgão oco, constituído por tecido muscular, com grande elasticidade, que tem forma e tamanho semelhantes aos de uma pêra. Em caso de gravidez, o útero está preparado para alojar o embrião até o nascimento.



Ovários

Os ovários são as glândulas sexuais femininas, nas quais, desde o nascimento da menina – ficam armazenados aproximadamente 400 mil gametas femininos.

Essas células sexuais são chamadas óvulos. Elas contém a metade do material genético necessário ao desenvolvimento de um bebê. Os óvulos que existem nos ovários das meninas são imaturos. Os hormônios sexuais são responsáveis pelo amadurecimento e pela liberação desses óvulos.



Tubas uterinas

São dois tubos delgados que ligam os ovários ao útero. Revestindo esses tubos internamente, existem células com cílios que favorecem o deslocamento do óvulo até a cavidade uterina.



Os seios

O desenvolvimento dos seios ocorre na puberdade e nem sempre acontece de forma idêntica, às vezes, um seio é ligeiramente maior do que o outro. O tamanho do seio varia de uma mulher para outra. Do mesmo modo que acontece com o nariz, com as mãos ou com os pés, que não são de tamanho igual em todas as pessoas, nem mesmo no caso de irmãos.

O seio é formado por um tecido gorduroso e por pequenas glândulas chamadas glândulas mamárias. Essas glândulas são ligadas ao mamilo (bico) por canais, através dos quais o leite passa durante a amamentação. O mamilo, em geral, é muito sensível ao toque.

O desenvolvimento dos seios e de outras formas do corpo das meninas, como a cintura mais fina , os quadris arredondados, depende de quando e quanto hormônio sexual é produzido pelo corpo dela, ou seja, pelos ovários.

Algumas meninas começam a produzir mais hormônios sexuais mais cedo do que outras. Por isso, além de ficarem menstruadas primeiro, determinadas garotas desenvolvem o “corpo de mulher” mais precocemente que outras.

Outro fator importante a considerar é a hereditariedade, os traços físicos herdados dos pais, avós etc. Numa família na qual as mulheres possuem seios pouco desenvolvidos, é bem provável que as meninas venham a ter, também, seios pequenos.

Ninguém melhor do que o médico para dizer se o desenvolvimento dos seios e dos demais sinais de maturação do corpo está de acordo com o previsto para a idade da garota
A ovulação

A ovulação é a liberação de um óvulo maduro feita por um dos ovários por volta do 14º dia do ciclo menstrual, contado a partir do primeiro dia de menstruação. No ovário (o local de onde sai o óvulo) surge o corpo lúteo ou amarelo – uma estrutura amarelada que passa a produzir o estrogênio e progesterona. Esses hormônios atuam juntos, preparando o útero para uma possível gravidez, além disso, o estrogênio estimula o aparecimento das características sexuais femininas secundárias.

O óvulo liberado é “captado” por uma das tubas uterinas, que ligam os ovários ao útero. Revestindo essas tubas internamente, existem células com cílios que favorecem o deslocamento do óvulo até a cavidade do útero.





A fecundação


A mulher pode ficar grávida se, quando o óvulo estiver nesses tubos, ela mantiver relação sexual com o parceiro e um espermatozóide (célula reprodutora masculina) entrar no óvulo. O encontro de gametas (óvulo e espermatozóide), na tuba uterina, chama-se fecundação. Apenas um dos milhões de espermatozóides contidos no esperma penetra no óvulo, na fecundação.

Depois da fecundação, ocorre então a formação da célula-ovo ou zigoto. Essa primeira célula de um novo ser sofre divisões durante o seu trajeto pelo tubo até o útero. O sexo biológico desse novo ser humano – ou seja, o sexo do bebê – é definido na fecundação pelos cromossomos X ou Y.

Os seres humanos, salvo raras exceções possuem 46 cromossomos, sendo que dois deles são os cromossomos sexuais (que definem o sexo). As mulheres possuem dois cromossomos X (portanto ela á XX) e os homens, um X e um Y (portanto XY).



Na divisão celular (meiose) para a formação dos gametas (óvulo e espermatozóide) a mulher só gera gametas (óvulos) X enquanto que o homem pode gerar gametas (espermatozóides) X e Y.

ermatozóide) a mulher só gera gametas (óvulos) X enquanto que o homem pode gerar gametas (espermatozóides) X e Y.

Então:

* Se o espermatozóide que contém o cromossomo X fecundar o óvulo (X), o embrião será do sexo feminino (XX).
* Se o espermatozóide que contém o cromossomo Y fecundar o óvulo (X), o embrião será do sexo masculino (XY).



A menstruação

A menstruação ocorre quando não há fecundação e o óvulo é eliminado pelo canal vaginal com o sangue e o material resultante da descamação da mucosa uterina.


O ciclo menstrual é o período entre o início de uma menstruação e outra. Esse período dura, em média 28 dias, mas pode ser mais curto ou mais longo.

A primeira menstruação se chama menarca e, na maioria das vezes ocorre entre 11 e 13 anos, embora não exista uma idade determinada para isso. A menstruação representa o início da vida fértil, isto é, o período em que a mulher pode, se não houver problemas, engravidar.

Por volta dos 50 anos o “estoque” de óvulos se esgota, pois alguns foram liberados nas ovulações e outros se degeneraram. Cessam as menstruações e, com isso a fertilidade da mulher. Nessa fase, denominada menopausa, grande parte das mulheres sentem desconforto por conta da redução de hormônios. Esse desconforto é marcado principalmente por aumento da sensação de calor corporal e pode ser diminuído com tratamento médico.

A menstruação pode vir acompanhada de cólicas. Se as dores forem leves, atividades físicas orientadas, técnicas de relaxamento bolsa de água quente sobre o ventre e chás podem ser de grande ajuda. Caso as cólicas sejam intensas e dolorosas, é recomendado procurar um ginecologista, que pode ajudar a solucionar esse problema.

Durante a menstruação o cuidado com a higiene deve ser redobrado. O sangue eliminado não é sujo, mas, em contato com o ar, pode provocar mau cheiro e se transformar em um meio propício para o desenvolvimento de micróbios. A rotina não deve ser alterada. Tomar banho, lavar os cabelos, fazer ginástica, dançar, tomar sorvete não faz mal algum. Os absorventes descartáveis são os mais indicados, e a troca deles deve ser regular, de acordo com a intensidade do fluxo sangüíneo.

Tipo de absorvente externo



As mulheres podem, alguns dias antes da menstruação, perceber que os seios estão inchados e doloridos, sentir-se irritada, com vontade de chorar. Quando isso ocorre, elas podem estar com tensão pré-menstrual (TPM), nome dado a um confundo de várias sensações desagradáveis que acomete algumas mulheres e parece, segundo alguns estudos, estar relacionado aos hormônios. Nesse caso, deve-se procurar um médico, que vai aconselhar o que fazer para diminuir ou eliminar os sintomas da TPM.
Atualmente existem tampões absorventes internos que levam em conta a anatomia da mulher. Em caso de dúvidas é melhor conversar com o ginecologista. Os tampões permitem, por exemplo, que a pessoa pratique natação ou vá a praia durante o período da menstruação. Os absorventes externos são encontrados em mais de um padrão de largura e comprimento, adequados às diferentes intensidades do fluxo menstrual.




É bom lembrar que os primeiros ciclos menstruais não costumam ser regulares. Além disso, preocupações, ansiedade e má alimentação, algumas vezes atrasam ou até suspendem as menstruações. A ausência de menstruação também é um dos primeiros sinais de gravidez.

A nidação

O embrião, parecido com uma “bolinha” de células, chega ao útero. Lá ele se implanta, isto é, se fixa na mucosa uterina, aproximadamente oito dias após a fecundação. Essa fixação na mucosa uterina chama-se nidação.

O pequeno embrião, formado a partir do zigoto, poderá se desenvolver no útero, protegido por membranas e pelo líquido amniótico. Logo nas primeiras semanas de gravidez, forma-se a placenta.

A importância da placenta

A placenta é formada por tecidos do embrião e do útero materno e é típica do organismo dos animais mamíferos. A placenta se liga ao embrião pelo cordão umbilical, que possui vasos por onde circulam o sangue com o oxigênio e os nutrientes (os quais vão da mãe para o feto), e o gás carbônico e os restos dos nutrientes não-utilizados (estes vão do feto para a mãe).

A gestante que fuma ou que faz uso do álcool ou outras drogas, inclusive certos remédios, pode ter a placenta pequena, comprometendo o desenvolvimento do feto. Durante toda a gravidez, o feto cresce e fica protegido dentro do útero materno. O umbigo marca o lugar por onde a criança esteve ligada à sua mãe através do cordão umbilical.

Nas doze primeiras semanas é formada a maioria dos órgãos, entre eles o coração, os pulmões e os rins. No restante do período de gestação, ocorre o crescimento e o fortalecimento do feto, tornando-o apto à vida no ambiente externo ao útero. Em geral, são necessários nove meses (cerca de 40 semanas), para que o bebê esteja pronto para nascer.
O parto

Depois de aproximadamente nove meses cerca de 40 semanas após o ato da fecundação, o feto já se desenvolveu e está pronto para viver no ambiente externo ao útero materno, que não tem mais condições de mantê-lo e protegê-lo. Está na hora de nascer.

De modo geral, a hora do parto é cercada de muita expectativa, ansiedade e até medo, o que acarreta numa grande excitação da gestante principalmente daquela que está dando à luz o seu primeiro filho.

Durante a gravidez, a gestante deve fazer o acompanhamento pré-natal em postos de saúde, hospitais etc. O ginecologista/ obstetra dará orientações corretas que ajudarão a acompanhar e perceber os sinais que precedem a hora do parto, o nascimento do bebê (contrações regulares do útero, rompimento da “bolsa d’água”, muco ou pequena quantidade de sangue expelida pela vagina, etc.). O médico também informará qual o tipo de parto á melhor indicado para a gestante.

Parto "normal" ou "natural"

O trabalho de parto geralmente inicia quando o desenvolvimento do feto está completo. Determinados hormônios da mãe estimulam o útero a se contrair, até expulsar o bebê.

Essas contrações provocam a dilatação do colo do útero. O colo do útero, ou colo uterino, é a parte do útero que se comunica com a vagina. A sua posição é no fundo do canal vaginal. No momento do parto, é essa porção que dilata, dando passagem ao feto nascer. Por isso a vagina também é chamada de canal de parto. Na maioria dos casos, nas últimas semanas de gestação o bebê se vira, colocando a cabeça na parte mais larga da pélvis da mãe. A cabeça se apresenta, assim, em primeiro lugar, o que facilita o parto.

Cesariana

A cesariana é um procedimento cirúrgico com anestesia, em que se faz uma incisão (corte) horizontal, na barriga da mãe, alguns centímetros abaixo do umbigo. Por meio dele, retiram-se o bebê e a placenta.

A cesariana é indicada especialmente quando o bebê não está em posição favorável; quando ele está sofrendo; quando não há dilatação do colo do útero; se a mãe está correndo o risco; se é hipertensa. Como os demais tipos de cirurgia, não deve ser uma prática indiscriminada, feita sem necessidade ou orientação médica.


www.sobiologia.com.br

Teorema das bissetrizes interna e externa dos triângulos aula 1

Adição e subtração de números racionais aula 1

Sistema Muscular

Os músculos são órgãos constituídos principalmente por tecido muscular, especializado em contrair e realizar movimentos, geralmente em resposta a um estímulo nervoso.

Os músculos podem ser formados por três tipos básicos de tecido muscular:

Tecido Muscular Estriado Esquelético

Apresenta, sob observação microscópica, faixas alternadas transversais, claras e escuras. Essa estriação resulta do arranjo regular de microfilamentos formados pelas proteínas actina e miosina, responsáveis pela contração muscular. A célula muscular estriada chamada fibra muscular, possui inúmeros núcleos e pode atingir comprimentos que vão de 1mm a 60 cm.

Tecido Muscular Liso

Está presente em diversos órgãos internos (tubo digestivo, bexiga, útero etc) e também na parede dos vasos sanguíneos. As células musculares lisas são uninucleadas e os filamentos de actina e miosina se dispõem em hélice em seu interior, sem formar padrão estriado como o tecido muscular esquelético.

A contração dos músculos lisos é geralmente involuntária, ao contrário da contração dos músculos esqueléticos.

Tecido Muscular Estriado Cardíaco

Está presente no coração. Ao microscópio, apresenta estriação transversal. Suas células são uninucleadas e têm contração involuntária.

Sarcômeros

As fibras musculares esqueléticas tem o citoplasma repleto de filamentos longitudinais muito finos, (as miofibrilas) constituídas por microfilamentos das proteínas actina e miosina. A disposição regular dessas proteínas ao longo da fibra produz o padrão de faixas claras e escuras alternadas, típicas do músculo estriado.

As unidades de actina e miosina que se repetem ao longo da miofibrila são chamadas sarcômeros. As faixas mais extremas do sarcômero, claras, são denominadas banda I e contém filamentos de actina. A faixa central mais escura é a banda A, as extremidades desta são formadas por filamentos de actina e miosina sobrepostos, enquanto sua região mediana mais clara, (a banda H), contém miosina.

Teoria do deslizamento dos filamentos

Quando o músculo se contrai, as bandas I e H diminuem de largura. A contração muscular se dá pelo deslizamento dos filamentos de actina sobre os de miosina. Essa idéia é conhecida como teoria do deslizamento dos filamentos.

Nas pontas dos filamentos de miosina existem pequenas projeções, capazes de formar ligações com certos sítios dos filamentos de actina quando o músculo é estimulado. As projeções da miosina puxam os filamentos de actina como dentes de uma engrenagem, forçando-os a deslizar sobre os filamentos de miosina, o que leva ao encurtamento das miofibrilas e à conseqüente contração da fibra muscular.

Contração Muscular

O estímulo para a contração é geralmente um impulso nervoso que se propaga pela membrana das fibras musculares, atingindo o retículo sarcoplasmático (um conjunto de bolsas membranosas citoplasmáticas onde há cálcio armazenado), que libera íons de cálcio no citoplasma. Ao entrar em contato com as miofibrilas, o cálcio desbloqueia os sítios de ligação de actina, permitindo que se ligue a miosina, iniciando a contração muscular.

Assim que cessa o estímulo, o cálcio é rebombeado para o interior do retículo sarcoplasmático e cessa a contração muscular.

A energia para contração muscular é suprida por moléculas de ATP (produzidas durante a respiração celular). O ATP atua na ligação de miosina à actina, o que resulta na contração muscular. Mas a principal reserva de energia nas células musculares é a fosfocreatina, onde grupos de fosfatos, ricos em energia, são transferidos da fosfocreatina para o ADP, que se transforma em ATP. Quando o trabalho muscular é intenso, as células musculares repõem seus estoques de ATP e de fosfocreatina, intensificando a respiração celular, utilizando o glicogênio como combustível.

Tetania e Fadiga Muscular

A estimulação contínua faz com que o músculo atinja um grau máximo de contração, o músculo permanece contraído, condição conhecida como tetania. Uma tetania muito prolongada ocasiona a fadiga muscular. Um músculo fadigado, após se relaxar, perde por um certo tempo, a capacidade de se contrair. Pode ocorrer por deficiência de ATP, incapacidade de propagação do estímulo nervoso através da membrana celular ou acúmulo de ácido lático.

Antagonismo muscular

A movimentação de uma parte do corpo depende da ação de músculos que atuam antagonicamente. Por exemplo, a contração do músculo bíceps e o relaxamento do tríceps, provocam a flexão do membro superior.

Fibras musculares lentas e rápidas

As fibras musculares esqueléticas diferem quanto ao tempo que levam para se contrair, podendo levar um tempo de até 5 vezes maior do que as rápidas para se contrair.

As fibras musculares lentas estão adaptadas à realização de trabalho contínuo, possuem maior quantidade de mitocôndrias, maior irrigação sanguínea e grande quantidade de mioglobina, capaz de estocar gás oxigênio. As fibras rápidas, pobres em mioglobina, estão presentes em músculos adaptados à contrações rápidas e fortes.

Esses dois tipos de fibras podem ser diferenciados apenas ao microscópio por meio de corantes especiais.

Tônus muscular

Os músculos mantêm-se normalmente em um estado de contração parcial, o tônus muscular, que é causado pela estimulação nervosa, e é um processo inconsciente que mantém os músculos preparados para entrar em ação. Quando o nervo que estimula um músculo é cortado, este perde tônus e se torna flácido. Estados de tensão emocional podem aumentar o tônus muscular, causando a sensação física de tensão muscular. Nesta condição, gasta mais energia que o normal e isso causa a fadiga.

sábado, 4 de janeiro de 2020

Amapá


Bandeira do Amapá
Significado da bandeira: o azul simboliza a justiça e o céu amapaense; o verde representa as matas, além da esperança, o futuro, o amor e a liberdade; o amarelo, as riquezas do subsolo; o branco, a paz; o preto é uma homenagem aos que morreram lutando pelo estado.
O Amapá é um estado brasileiro que integra a Região Norte. Seu território, localizado no extremo norte do Brasil e banhado pelo oceano Atlântico, limita-se ao sul com o Pará, a noroeste com o Suriname e, por meio do rio Oiapoque, faz fronteira com a Guiana Francesa.
Com extensão territorial de 142.814,585 quilômetros quadrados, o Amapá é o menor estado nortista. Sua área abriga 16 municípios, cuja capital é a cidade de Macapá. Conforme dados divulgados em 2010 pelo Instituto Brasileiro de Geografia e Estatística (IBGE), a população estadual é composta por 668.689 habitantes, sendo a densidade demográfica de 4,6 habitantes por quilômetro quadrado. A taxa de crescimento demográfico é uma das maiores do país: 5,7% ao ano.

Localização do Amapá no mapa do Brasil
A floresta Amazônica cobre aproximadamente 90% do território amapaense, que também abriga mangues litorâneos e campos. O clima predominante é o equatorial. O relevo, por sua vez, é marcado por planície, depressão e algumas regiões de planaltos residuais. A rede hidrográfica é representada pelos rios Amazonas, Araguari, Jari, Maracá e Oiapoque.
O Amapá apresenta desenvolvimento econômico muito recente e enfrenta problemas em infraestrutura, sobretudo de transporte, comunicação e energia. O estado destaca-se por ser grande produtor de manganês, além de abrigar jazidas de ouro e caulim. Na agropecuária, os destaques são os cultivos de frutas, milho, arroz e feijão e a criação de búfalos. A pesca e o extrativismo vegetal são outras importantes atividades para a captação de recursos financeiros.
A qualidade de vida da população amapaense é a melhor da Região Norte, visto que o estado detém o maior Índice de Desenvolvimento Humano (IDH) desse complexo regional. A taxa de mortalidade infantil é de 23,2 para cada mil nascidos vivos, estando um pouco abaixo da média nacional, que é de 23,3. O analfabetismo atinge apenas 4% dos habitantes (a média brasileira é de 10%). Porém, existe um grande déficit nos serviços de saneamento ambiental – apenas 37% das residências possuem acesso à rede de esgoto.
Confira nossos artigos sobre o Amapá e conheça mais sobre os aspectos físicos, populacionais e econômicos dessa unidade federativa do Brasil.
alunosonline

Lobo-guará Maior canídeo sul-americano está em risco de extinção


Colégio Estadual Dinah Gonçalves
email accbarroso@hotmail.com        



Lobo-guará: mais uma espécie que pode se extinguir
Muita gente já ouviu falar neste animal maravilhoso. Mas a maior parte do que se pensa sobre ele não condiz com a realidade. O lobo-guará (Chrysocyon brachyurus) é o maior e mais belo canídeo selvagem brasileiro e o mais alto do mundo. Última espécie de seu gênero, o lobo-guará possui pelagem vermelho-ouro, focinho preto, pernas longas e pretas e grandes orelhas apontadas para cima. A extremidade da cauda é mais clara que o resto do corpo.

Um lobo-guará adulto pode ter até 80 cm de altura (das patas às pontas das orelhas), 2 m da ponta da cauda até o focinho e pesar até 25 kg - sim, trata-se de um canídeo esbelto!

Lobo-guará não é lobo
Apesar de seu nome, o guará não é lobo e há muitas diferenças entre essas duas espécies. Seu grau de parentesco com os canídeos lupinos se estende até a família Canidae. A partir daí, o gênero muda (o lobo é do gênero Canis e o guará é pertence ao Chrysocyon).

Esses animais são tão diferentes em termos genéticos que um cruzamento entre guará e lobo não produziria filhotes. Para se fazer uma idéia do quanto esse fato determina um parentesco, se um cachorro (Canis familiaris) acasalar com um lobo (Canis lupus), nascerão filhotes - tanto o cão como o lobo pertencem ao mesmo gênero.

Enquanto os lobos vivem em matilhas e mantêm relações sociais complexas entre si, os guará vivem sozinhos. A exceção é a época de acasalamento, quando são encontrados aos pares. Mais: o Canis lupus é apenas carnívoro. Já o Chrysocyon brachyurus é onívoro (alimenta-se de frutos, insetos e pequenos mamíferos).

O lobo-guará é agressivo?
Muita gente pensa que os lobos-guará são implacáveis comedores de galinhas. Há até mesmo quem acredite que esses animais atacam as pessoas. Entra-se nesse momento em um assunto delicado.

Os lobos-guará não atacam seres humanos. De temperamento tímido e arredio, apenas rosnam quando acuados e ameaçam avançar para proteger seus filhotes. Esses canídeos podem desenvolver um relacionamento amistoso com seres humanos, como acontece em uma estação da Companhia Elétrica de Minas Gerais (Cemig). Nesse lugar, todas as noites, os funcionários recebem visitas de uma fêmea de lobo-guará e a presenteiam com petiscos.

Alimentação do lobo-guará
Um estudo publicado na revista científica Fapesp, realizado pelo pesquisador e professor do Instituto de Biociências da Universidade de São Paulo, José Carlos Motta Júnior, mostrou que a dieta dos lobos-guará divide-se em 50% de animais e 50% de frutos.

Dos animais predados por eles, apenas 1,9% correspondem aos galináceos. E tem mais: para cada galinha, esse canídeo mata de 50 a 70 ratos. Isso comprova sua importância no controle populacional desses animais (e como conseqüência, para a saúde humana).

Além disso, o Chrysocyon brachyurus é um importante dispersor das sementes dos frutos típicos do Cerrado - principalmente a lobeira e a gabiroba (Campomanesia spp).

Raiva (hidrofobia)
Todos temem a raiva, ou hidrofobia. E o lobo-guará pode, sim, contrair raiva. Essa doença o atinge por causa da atitude irresponsável dos seres humanos que abandonam cachorros em reservas e parques de preservação. Não fosse por isso, o lobos-guará não seriam contagiados.

Como todo animal quando está raivoso, o maior canídeo sul-americano apresenta comportamento anormal. A boa notícia é que há programas de vacinação para os lobos-guará - especialmente nas áreas em que o contato com as pessoas é maior. Mesmo assim, é bom evitar interagir com eles. Deixar animais selvagens em paz é uma forma de evitar acidentes.

Ameaça de extinção
O lobo-guará habitava o leste da Bolívia, o norte da Argentina, o Paraguai e a região Centro-Oeste do Brasil. Devido à caça predatória e a destruição progressiva de seu habitat natural, o canídeo mais alto do mundo está extinto nas três primeiras regiões citadas.

Ele ainda existe no Brasil e luta para sobreviver. A degradação ambiental continua a ameaçá-lo, bem como a caça ilegal. As previsões são de que nosso "lobo" deixe de existir em menos de 100 anos.

Lobo-guará em cativeiro
Há quem acredite que os zoológicos são uma esperança de preservação. Mas um lobo-guará confinado em uma jaula é uma triste visão. Esses animais são exímios andarilhos noturnos e sua "jaula" na natureza tem, de 30 a 110 km2. Essa é a área que um casal de lobos-guará ocupa e precisa para viver.

Proibido de andar, correr e caçar, os músculos das longas pernas se atrofiam. O animal pode perder a visão ou, ainda, morrer vítima de depressão. As melhores maneiras de salvar o lobo-guará, segundo ecólogos e biólogos, são a conscientização das pessoas, e a educação ambiental para as crianças.

Para saber mais, entre em contato com a ong Pró-Carnívoros , especializada no manejo e conservação desses animais.
*Mariana Aprile é estudante de biologia na Universidade presbiteriana Mackenzie e bolsista de iniciação científica do Mackpesquisa (PIBICK).

MDC e MMC com exercícios


Máximo Divisor Comum - M.D.C.


Definimos Máximo Divisor Comum - M.D.C entre dois ou mais números como sendo o maior divisor comum entre eles.

Exemplo 1 : Consideremos, por exemplo, os números 18 e 30. Determinemos, inicialmente, o conjunto de seus divisores :

D(18) = { 1, 2, 3, 6, 9 e 18 } e D(30) = { 1, 2, 3, 5, 6, 10, 15 e 30 }

O Conjunto nos mostra os divisores comuns a 18 e 30 e dentre eles o maior, ou máximo,
será o 6 ; Com isso diremos que : M.D.C ( 18 e 30 ) = 6

Exemplo 2 : Consideremos, por exemplo, os números 24, 60 e 84. Determinemos, inicialmente, seus divisores :

D(24) = { 1, 2, 3, 4, 6, 8, 12 e 24 },
D(60) = { 1, 2, 3, 4, 5, 6, 10, 12, 15, 20, 30 e 60 } e
D(84) = { 1, 2, 3, 4, 6, 7, 12, 14, 21, 28, 42 e 84 }

O Conjunto nos mostra os divisores comuns a 24, 60 e 84 e dentre eles o maior, ou
máximo, será o 12 ; Com isso diremos que : M.D.C ( 18, 60 e 84 ) = 12

2.0 - Métodos para o Cálculo do M.D.C.


2.1 - 1º Método: Algoritmo de Euclides, Método das Divisões Sucessivas ou " Jogo da Velha "


Exemplo 1 : Calculemos, por exemplo, o M.D.C entre 48 e 72 .

Montemos um diagrama semelhante ao Jogo da Velha e nele colocaremos na ordem decrescente os números dados.

Passo 1 - Dividimos o maior 72 pelo menor 48, o quociente 1 dessa divisão colocaremos acima do divisor 48 e o resto da divisão 24
colocaremos abaixo do dividendo 72.

Passo 2 - Deslocamos o resto obtido 24 para o espaço a direita do divisor e Dividimos este 48 por ele 24, o quociente 2 dessa divisão
colocaremos acima do novo divisor e o resto da divisão 0 colocaremos abaixo do novo dividendo 48. Esse processo será repetido até
que chequemos ao resto zero.

Passo 3 - Quando o resto se tornar igual a zero concluímos que o último divisor será o M.D.C. procurado . Assim: M.D.C. ( 48 e 72 ) = 24



Exemplo 2 : Calculemos, por exemplo, o M.D.C entre 324 e 252 .

Montemos um diagrama semelhante ao Jogo da Velha e nele colocaremos na ordem decrescente os números dados.

Passo 1 - Dividimos o maior 324 pelo menor 252, o quociente 1 dessa divisão colocaremos acima do divisor 252 e o resto da divisão 72
colocaremos abaixo do dividendo 324.

Passo 2 - Deslocamos o resto obtido 72 para o espaço a direita do divisor e dividimos este 252 por ele 72, o quociente 3 dessa divisão
colocaremos acima do novo divisor 72 e o resto 36 colocaremos abaixo do novo dividendo 252.

Passo 3 - Deslocamos o resto obtido 36 para o espaço a direita do novo divisor 72 e dividimos este 72 por ele 36, o quociente 2 dessa
divisão colocaremos acima do divisor 36 e o resto da divisão 0 colocaremos abaixo do último dividendo 72.

Passo 4 - Como o resto se tornou igual a zero concluímos que o último divisor é o M.D.C. procurado . Assim M.D.C. ( 324 e 252 ) = 36



2.2 - 2º Método: Decomposição em Fatores Primos


Nesse método iremos decompor os números em fatores primos e aplicarmos a regra :

O M.D.C. entre dois ou mais números é dado pelo produto entre os fatores primos comuns, elevados aos menores expoentes

Exemplo 1 : Calculemos, por exemplo, o M.D.C entre 96 e 360.

Decompondo cada um dos números em fatores primos, teremos :

96 = 25 X 3 e 360 = 23 X 32 X 5. E aplicando a regra, teremos :

fatores comuns => 2 e 3 e elevados aos menores expoentes : 23 e 31. Com isso : M.D.C. ( 96 e 360 ) = 23 X 3 = 8 X 3 = 24

Exemplo 2 : Calculemos, por exemplo, o M.D.C entre 100, 180 e 840.

Decompondo cada um dos números em fatores primos, teremos :

100 = 22 X 52 180 = 22 X 32 X 5 e 840 = 23 X 3 X 5 X 7

E aplicando a regra, teremos :

fatores comuns => 2 e 5 e elevados aos menores expoentes : 22 e 51. Com isso : M.D.C. (100, 180 e 840) = 22 X 5 = 4 X 5 = 20

Exemplo 3 : Calculemos, por exemplo, o M.D.C entre A, B e C, sendo :

A = 22 X 35 X 54
B = 26 X 33 X 53 X 113 e
C = 24 X 34 X 52 X 75

Nesse caso os números já estão decompostos em fatores primos e aplicando a regra, teremos :

Fatores comuns => 2, 3 e 5 e elevados aos menores expoentes : 22, 33 e 52.

Com isso e deixando o resultado indicado como originalmente no exemplo : M.D.C. (A, B e C) = 22 X 33 X 52

3.0 - Características Marcantes do M.D.C.


5.04a - O M.D.C. entre dois ou mais números primos será sempre igual a unidade.

5.04b - O M.D.C. entre dois números consecutivos será sempre igual a unidade.

5.04c - O M.D.C. entre dois ou mais números pares será sempre igual a 2.

5.04d - Se A é múltiplo de B, o M.D.C. entre A e B será igual a B.

5.04e - Se B é divisor de A, o M.D.C. entre A e B será igual a B.

5.04f - Se multiplicarmos dois ou mais números por um número natural maior que zero, o M.D.C. entre eles também ficará multiplicado
por esse número.

5.04g - Se dividirmos dois ou mais números por um número natural maior que zero, o M.D.C. entre eles também ficará dividido por
esse número.

5.04h - Quando o M.D.C. entre dois números, não necessariamente primos, é 1, eles são chamados primos entre si.

4.0 - Mínimo Múltiplo Comum - M.M.C.


Definimos Mínimo Múltiplo Comum - M.M.C entre dois ou mais números como sendo o menor múltiplo comum não nulo entre eles.

Exemplo 1 : Consideremos, por exemplo, os números 12 e 18. Determinemos, inicialmente, o conjunto de seus múltiplos :

M(12) = { 0, 12, 24, 36, 48, 60, 72, … } e M(18) = { 0, 18, 36, 54, 72, 90, … }

O Conjunto nos mostra os múltiplos comuns a 12 e 18 e dentre eles o menor e
não nulo, ou mínimo, será o 36 ; Com isso, diremos que : M.M.C ( 12 e 18 ) = 36

Exemplo 2 : Consideremos, por exemplo, os números 6, 9 e 15. Determinemos, inicialmente, seus múltiplos :

M( 6 ) = { 0, 6, 12, 18, 24, 30, 36, 42, 48, 54, 60, 66, 72, 78, 84, 90, … } ,
M( 9 ) = { 0, 9, 18, 27, 36, 45, 54, 63, 72, 81, 90, 99, 108, … } e
M( 15 ) = { 0, 15, 30, 45, 60, 75, 90, 105, 120, 135, 150, … }

O Conjunto nos mostra os múltiplos comuns a 6, 9 e 15 e dentre eles o
menor e não nulo, ou mínimo, será o 90 ;

Com isso diremos que : M.M.C ( 6, 9 e 15 ) = 90

5.0 - Métodos para o Cálculo do Mínimo Múltiplo Comum - M.M.C.


5.1 - 1º Método para o Cálculo do M.M.C. : Decomposição em Fatores Primos


Nesse método iremos decompor os números em fatores primos e aplicarmos a regra :

O M.M.C. entre dois ou mais números é dado pelo produto entre todos os fatores primos, comuns e não comuns, elevados aos maiores
expoentes

Exemplo 1 : Calculemos, por exemplo, o M.M.C entre 24 e 50.

Decompondo cada um dos números em fatores primos, teremos : 24 = 23 X 31 e 50 = 21 X 52. E aplicando a regra, teremos :

todos os fatores => 2, 3 e 5 e elevados aos maiores expoentes : 23, 31 e 52. Com isso :

M.M.C. ( 24 e 50 ) = 23 X 31X 52 = 8 X 3 X 25 = 600

Exemplo 2 : Calculemos, por exemplo, o M.M.C entre A, B e C, sendo :

A = 22 X 35 X 5
B = 23 X 33 X 53 X 73
C = 24 X 34 X 52 X 74

Nesse caso os números já estão decompostos em fatores primos e aplicando a regra, teremos :

Todos os fatores => 2, 3, 5 e 7 e elevados aos maiores expoentes : 24, 35, 53 e 74. Com isso e deixando o resultado indicado como
originalmente no exemplo, teremos :

M.M.C. (A, B e C) = 24 X 35 X 53 X 74.

5.2 - 2º Método para o Cálculo do M.M.C. : Decomposição Simultânea.


Nesse método iremos decompor os números simultaneamente em fatores primos :

Exemplo 1 : Calculemos, por exemplo, o M.M.C entre 12 e 20.

Passo 1 - Coloquemos lado a lado os números e a direita deles tracemos uma linha vertical

Passo 2 - A partir daí dividiremos cada número pela sucessão dos números primos, enquanto pelo menos um deles for divisível a
operação deve ser continuada, e nesse caso repetiremos o número não divisível até que não seja mais possível também para o outro,
ou nenhum dos outros, a divisão.

Passo 3 - Quando cada coluna a esquerda apresentar a unidade, o produto de todos os fatores encontrados a direita nos dará o M.M.C. .



Com Isso o M.M.C. entre 12 e 20 será 22 X 3 X 5 = 60

Exemplo 2 : Calculemos, agora, o M.M.C entre 8, 14 e 20.



Com Isso o M.M.C. entre 8, 14 e 20 será 23 X 3 X 5 = 120

5.3 - 3º Método para o Cálculo do M.D.C. : Decomposição Simultânea.


Como já conhecemos como funciona o cálculo do M.M.C. pelo método da decomposição simultânea, podemos aplicá-lo também para
o cálculo do M.D.C.:

Exemplo 1 : Calculemos, por exemplo, o M.D.C entre 12 e 60 e 72.

Passo 1 - Faremos exatamente com se fossemos calcular o M.M.C. entre eles

Passo 2 - Quando cada coluna a esquerda apresentar a unidade, o produto de todos os fatores encontrados a direita do traço que
dividiram simultameamente todos os 3 números nos dará o M.D.C. entre eles.

12 , 60 , 72 2 <<<
6 , 30 , 36 2 <<<
3 , 15 , 18 2
3 , 15 , 9 3 <<<
1 , 5 , 3 3
1 , 5 , 1 5
1 , 1 , 1

Assinalamos com as 3 setinhas os fatores que dividiram ao mesmo tempo os 3 números. O produto desses números assinalados nos dará
o M.D.C. entre eles.

Com Isso o M.D.C entre 12 e 60 e 72 será 22 X 3 = 12

6.0 - Características Marcantes do M.M.C.


5.09a - O M.M.C. entre dois ou mais números primos será sempre igual ao produto entre eles.

5.09b - O M.M.C. entre dois números consecutivos será sempre igual ao produto entre eles.

5.09c - Se A é múltiplo de B, o M.M.C. entre A e B será igual a A.

5.09d - Se B é divisor de A, o M.M.C. entre A e B será igual a A.

5.09e - Se multiplicarmos dois ou mais números por um número natural maior que zero, o M.M.C. entre eles também ficará
multiplicado por esse número.

5.09f - Se dividirmos dois ou mais números por um número natural maior que zero, o M.D.C. entre eles também ficará dividido
por esse número.

7.0 - Propriedade Importante entre M.D.C. e M.M.C.


Dados dois números A e B, o produto entre seu M.D.C. e o seu M.M.C. , será igual ao produto A X B entre eles. Ou seja :

M.M.C. ( A e B ) x M.M.C.( A e B ) = A X B


Tente provar essa importante propriedade. É mais fácil que você imagina.

Importante: Essa propriedade somente é válida para o M.D.C. e o M.M.C. entre dois números

8.0 - Exercícios Propostos


I - Determine o M.D.C. entre :

01) dois números pares e consecutivos 02) dois números consecutivos
03) dois números ímpares e consecutivos 04) dois números primos
05) dois múltiplos pares e naturais de 9 06) 3 números terminados em 5
07) dois múltiplos inteiros de 7, positivos e consecutivos 08) dois múltiplos naturais cuja diferença é o triplo do menor


II - Determine pelo Algoritmo de Euclides ( Jogo da Velha ) o M.D.C. entre :

09) 24 e 60 10) 96 e 180 11) 132 e 198
12) 247 e 299 13) 624 e 720


14) Um aluno ao determinar o M.D.C. entre dois números pelo método das divisões sucessivas encontrou para M.D.C. 36 e
respectivamente os quocientes 1, 3 e 2. Cálculos esses dois números.

15) Um aluno ao determinar o M.D.C. de dois números pelo Algoritmo de Euclides encontrou 21 para M.D.C. e respectivamente
os quocientes 4, 2 e 2. Cálculos o maior desses números.

16) O M.D.C. de dois números determinado pelo Algoritmo de Euclides é 27. Se os 4 quocientes encontrados são distintos e os
menores possíveis, determi-ne o menor desses dois números.

17) Explique por que no cálculo do M.D.C. de dois números pelo Algoritmo de Euclides o último quociente encontrado é sempre
maior que a unidade.

III - Determine o M.D.C. entre :

18) 320 e 448 19) 462 e 1.386 20) 975 e 455
21) 28, 77 e 84 22) 108, 120 e 144 22) 60, 72, 96 e 156


IV - Qual é o maior número que divide exatamente :
23) 39, 65 e 143 24) 702 e 918 25) 519, 1.038 e 1.557


26) Qual é o maior número pelo qual devemos dividir 270 e 240 para obtermos, respectivamente, os restos 10 e 9 :

27) Qual é o maior número pelo qual devemos dividir 160, 220 e 472 para obtermos, respectivamente, os restos 7, 16 e 13

28) Ao dividirmos 167, 237, 379 e 593 pelo maior número possível, obtemos respectivamente os restos 23, 21,19 e 17.
Calcule esse número.

V - Encontrar dois números conhecendo-se sua soma S e seu M.D.C.. ( Obs : Dar todas as soluções possíveis )

29) Soma = 384 e M.D.C. = 24 30) Soma = 740 e M.D.C. = 37 31) Soma = 840 e M.D.C. = 56


VI - Encontrar dois números conhecendo-se sua soma D e seu M.D.C.. ( Obs : Dar todas as soluções possíveis )

32) Diferença = 75 e M.D.C. = 15 33) Diferença = 108 e M.D.C. = 18 34) Diferença = 378 e M.D.C. = 42


VII - Encontrar dois números conhecendo-se seu produto P e seu M.D.C.. ( Obs : Dar todas as soluções possíveis )

35) Produto = 1 536 e M.D.C. = 12 36) Produto = 1 792 e M.D.C. = 8 37) Produto = 4 320 e M.D.C. = 6


38) Encontrar três números distintos de 2 algarismos cujo M.D.C. é 13 e cuja soma é igual a 91.

VIII - Determine o M.MC. entre :

39) dois números pares e consecutivos 40) dois números consecutivos
41) dois números ímpares e consecutivos 42) dois números primos
43) dois múltiplos pares e naturais de 3 44) dois múltiplos naturais cuja diferença é o triplo do menor


IX - Determine o M.M.C. entre :

45) 32 e 48 46) 72 e 120 47) 26 e 65
48) 6, 7 e 210 49) 8, 12 e 14 50) 21, 28 e 36


X - Qual é o menor número simultaneamente divisível por :

51) 3, 4, 5, 6, 7 e 8 52) 2, 3 , 5, 8, 9 12 e 15 53) 11, 22, 33, 44 e 55
54) pelos 5 primeiros múltiplos positivos de 3 55) pelos números naturais menores que 11


XI - Determine o menor dos números que dividido por :

56) 12, 15 e 18 deixa o resto 8 57) 15, 24 e 30 deixa o resto 11
58) 24, 30, 36 e 60 deixa o resto 16 59) 32, 38 e 42 deixa o resto 17


XII - Encontrar dois números conhecendo-se sua soma S e seu M.M.C..

60) Soma = 30 e M.M.C. = 36 61) Soma = 140 e M.M.C. = 240 62) Soma = 168 e M.M.C. = 288


XIII - Encontrar dois números conhecendo-se sua soma P e seu M.M.C..

60) Produto = 360 e M.M.C. = 120 61) Produto = 2 160 e M.M.C. = 360 62) Produto = 1176 e M.M.C. = 108


63) Se o M.M.C. entre 70A e 56B é igual a 3 080. Determine os pares de valores possíveis para A e B.

XIV - Calcular o M.D.C. e o M.M.C. entre :

64) A = 23 x 34 x 5 e B = 22 x 32 x 52 65) P = 22 x 33 x 7 e Q = 2 x 34 x 5
66) M = 22 x 53 x 11 e N = 23 x 72 x 132 67) E = 23 x 3 x 5 x 72 , F = 22 x 33 x 52 x 112 e G = 2 X 32 X 73 X 112 X 17
68) A = 23 x 34 x 5 x 72 , B = 22 x 32 x 52 x 112 e C = 24 x 33 x 52 x 19 69) J = 23 x 34 x 5 x 72 , K = 22 x 32 x 52 x 112 e L = 24 x 33 x 52 x 19
70) M = 4 x 64 x 5 e P = 8 x 272 x 152


XV - Calcular o valor de n para as condições dadas :

71) A = 2n x 33 x 72 ; B= 24 x 32 x 7 x 112 para M.D.C. ( A e B ) = 23 X 32 X 7
72) Q = 22n x 32 x 52 ; B = 23 x 3n x 5 x 73 para M.M.C. ( A e B ) = 60
73) P = 24n x 9 ; B = 27 x 35 para M.D.C. ( A e B ) = 22 x 64
74) M = 30n X 7 ; B = 22 X 9 X 352 para M.M.C. ( A e B ) = 100 X 9 X 49


XVI - Calcular o valor de n + p para as condições dadas :

75) A = 2n X 33 X 132 ; B = 24 X 3p X 11 X 13 para M.D.C. ( A e B ) = 23 X 32 X 13
76) A = 2n X 32 X 11 ; B = 24 X 3p X 7 X 112 para M.M.C. ( A e B ) = 25 X 33 X 7 X 112


77) Calcular o valor da soma m + n + p tal que o M.D.C. entre A = 2m X 33 X 5p e B = 22 X 3n X 53 seja igual a 63 X 75

78) Dois números distintos A e B são os menores possíveis e podem ser representados, exclusivamente, pelos 3 menores fatores
primos. Se os expoentes do menor deles são números consecutivos. Determine o M.D.C. e o M.M.C. entre eles.

79) O produto de dois números A e B é igual a 360. Se o M.D.C. entre eles é 24, Calcule o seu M.M.C..

80) Uma doceria tem em estoque 150 balas de coco, 180 balas de chocolate e 240 balas de leite. Quantas balas de cada sabor se deve
colocar em caixas decoradas, sabendo que essas quantidades devem ser as maiores possíveis.

81) Três automóveis disputam uma corrida em uma pista circular. O mais rápido deles dá uma volta em 10 minutos, um outro leva
15 minutos e o terceiro e mais lento demora 18 minutos para dar uma volta completa. No fim de quanto tempo os 3 automóveis
voltarão a se encontrar no inicio da pista se eles partiram exatamente no mesmo instante.

82) Três automóveis disputam uma corrida em uma pista circular. Um deles dá uma volta em 18 minutos, um outro leva 20 minutos e o
terceiro demora 25 minutos para dar uma volta completa. Se eles partiram exatamente às 15 horas, Que horas serão quando os 3
automóveis voltarão a se encontrar no inicio da pista após 3 horas de corrida ?

83) Três netas visitam sua avó, respectivamente, em intervalos de 5 dias, de 7 dias e de 9 dias. Se a última vez em que as três se
encontraram na casa de sua avó foi no mês de Maio, em que mês do segundo semestre eles tornarão a se encontrar ?

84) Determine o menor número que ao ser dividido por por 11, 12 e 16 deixa, respectivamente, os restos 5, 6 e 10.

85) Determine o menor número de 4 algarismos que dividido por por 12, 15, 18 e 24 deixa, respectivamente, os restos 7, 10, 13 e 19.

9.0 - Questões de Concurso


86) ( CEFETQ - 1997 ) Determinar o maior número pelo qual se deve dividir os números 165 e 215 para que os restos sejam 9 e 11,
respectivamente.

87)( UFMG - 1996 ) O número de três algarismos divisível ao mesmo tempo por 2, 3, 5, 6, 9 e 11 é :

(A) 330 (B) 660 (C) 676 (D) 900 (E) 996


88) ( UNIFACS - 1997 ) O número de alunos de uma sala de aula é menor que 50. Formando-se equipes de 7 alunos, sobram 6.
Formando-se equipes de 9 alunos, sobram 6. Formando-se equipes de 9 alunos , sobram 5. Nessas condições, se forem formadas
equipes de 8 alunos, o número de alunos que sobram é :

(A) 1 (B) 2 (C) 3 (D) 4 (E) 5


89) ( PUC/CAMPINAS - 1995 ) Numa linha de produção, certo tipo de manutenção é feito na máquina A a cada 3 dias, na máquina B,
a cada 6 dias. Se no dia 2 de dezembro foi feita a manutenção das três máquinas, a próxima vez em que a manutenção ocorreu
no mesmo dia foi em :

(A) 5 de Dezembro (B) 6 de Dezembro (C) 8 de Dezembro (D) 14 de Dezembro (E) 26 de Dezembro


90) ( PUC/CAMPINAS - 1998 ) Uma editora tem em seu estoque 750 exemplares de um livro A, 1200 de um livro B e 2 500 de um livro C.
Deseja-se remetê-los a algumas escolas em pacotes, de modo que cada pacote os três tipos de livros em quantidades iguais e com o
maior número possível de exemplares de cada tipo. Nessas condições, remetidos todos os pacotes possíveis, o número de exemplares
que restarão no estoque é :

(A) 1.500 (B) 1.750 (C) 2.200 (D) 1.600 (E) 2.000

91) ( UNIARARAS - 1997 ) As cidade de Araras, Leme e Conchal realizam grandes festas periódicas, sendo as de Araras de 9 em
9 meses, as de Leme de 12 em 12 meses e as de Conchal de 20 em 20 meses. Se em Março de 1985 as festas coincidiram, então a
próxima coincidência foi em :

(A) Março de 1995 (B) Março de 2000 (C) Março de 1996 (D) Dezembro de 1999 (E) Nunca mais
www.matematicamuitofacil.com

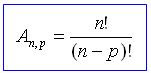
Fatorial de um número

Professor Antonio Carlos Carneiro Barroso
http://ensinodematemtica.blogspot.com.br
extraido de www.colegioweb.com.br
Fatorial de um número:







Arranjo simples:



Interjeição

Classe invariável que expressa emoções, sensações...

Algumas expressões das interjeições: alívio (Ufa!); dor (Ai!); espanto (Quê!); medo (Credo!); satisfação (Viva!)...

Locução interjeitiva é o conjunto de duas ou mais palavras com valor de interjeição. Ex.: Que horror!; Queira Deus!

Uma palavra pertencente a outra classe pode transformar-se em interjeição, tudo depende do contexto e da expressividade com que é falada.

Ex.: Cuidado!; Coragem!
www.coladaweb.com

Congruências entre ângulos determinados por retas transversais



Reconhecer e compreender as relações e, principalmente, as congruências entre ângulos determinados por retas transversais em retas paralelas é importante para a resolução de problemas relacionados a triângulos, quadriláteros e outros polígonos - bem como os próprios problemas com ângulos.

Vejamos alguns conceitos fundamentais que vão ser úteis:

Ângulos opostos pelo vértice:

Na figura, os ângulos marcados com a mesma cor são opostos pelo vértice e possuem a mesma medida, ou seja, são congruentes.
 Página 3<="" td="">


Ângulos suplementares:

São dois ângulos cuja soma vale 180º.

Na figura acima, sobre a mesma reta, temos um ângulo azul e um ângulo vermelho, cuja soma vale 180º, pois formam um ângulo raso.

Lembrados esses conceitos, vamos estudar as relações entre ângulos determinados por uma transversal em retas paralelas.

Observe a figura abaixo.

As retas r e s são paralelas "cortadas" pela transversal t.

Os ângulos 1, 2, 3 e 4 são os ângulos determinados pela transversal t em r - e os ângulos 5, 6, 7 e 8 são determinados por t em s.

Se "recortássemos" a figura conforme o pontilhado, poderíamos tranquilamente encaixar o pedaço recortado sobre a parte de baixo da figura, ou seja, os ângulos 1, 2, 3 e 4 "encaixariam" perfeitamente sobre os ângulos 5, 6, 7 e 8, nessa ordem:
 Página 3<="" td="">


Assim, dizemos que esses ângulos são correspondentes e, como podemos perceber, ângulos correspondentes têm a mesma medida.

Como os pares 1 - 4 e 5 - 8 são opostos pelo vértice e 1 - 5 e 4 - 8 são correspondentes, todos eles têm a mesma medida.

Pelo mesmo motivo, 2, 3, 6 e 7 também têm a mesma medida.

Formando ângulo raso, temos 1 - 2, 3 - 4, 5 - 6, 7 - 8. Cada um desses pares forma um ângulo raso. Sabendo que 2, 3, 6 e 7 têm a mesma medida (ângulos obtusos) e que 1, 4, 5 e 8 têm a mesma medida (ângulos agudos), podemos observar na figura um ângulo agudo qualquer e um obtuso qualquer sendo sempre suplementares.

Nomeando as propriedades

Agora vamos nomear essas propriedades observadas. Para isso, é preciso entender um pouco a nomenclatura utilizada em geometria.

Dadas duas retas paralelas e uma transversal, os ângulos determinados pela transversal na região entre as paralelas são chamados de internos. Logo, os que não estão entre as paralelas são chamados de externos.
 Página 3<="" td="">

Já os ângulos que estão do mesmo lado em relação à transversal, ou seja, do lado direito ou do lado esquerdo, são chamados colaterais. Os que estão em lados opostos são chamados alternos.
 Página 3<="" td="">

 Página 3<="" td="">

 Página 3<="" td="">

 Página 3<="" td="">

Voltando, então, à figura inicial, temos, em resumo:
 Página 3<="" td="">

AlternosInternos: 3 e 6, 4 e 5São congruentes
(mesma medida).
Externos: 1 e 8, 2 e 7
ColateraisInternos: 3 e 5, 4 e 6Formam ângulo raso
(medem juntos 180º).
Externos: 1 e 7, 2 e 8
Correspondentes1 e 5, 2 e 6, 3 e 7, 4 e 8São congruentes.
Opostos pelo vértice1 e 4, 5 e 8, 2 e 3, 6 e 7São congruentes.
*Michele Viana Debus de França é licenciada em matemática pela USP e mestre em educação matemática pela PUC-SP.

Crase – Preposição “a” + artigo feminino “a”

valor de substantivo. Por esta razão, a crase não virá diante de verbos, nem tão pouco de pronomes pessoais (sujeito).
Contudo, tanto a preposição “a” quanto o artigo feminino “a” virão diante de substantivos femininos, já que os substantivos masculinos não admitem artigo feminino.
Observe:

Não irei à farmácia. Irei ao supermercado.

O verbo “ir” exige preposição, veja: Não irei. Onde? A algum lugar. Qual? A farmácia. Quem vai, vai a algum lugar. Na resposta “a qual lugar?” temos o artigo “a”. Logo, a preposição “a” mais o artigo feminino “a”, que acompanha o substantivo na resposta (a farmácia), formam a crase.

Agora, observe:
Não quero ler a capa deste livro.

O verbo “ler” ou a locução verbal “quero ler” não exigem preposição, portanto, o termo “a” que está na oração acima é um artigo feminino.
Declarei a ele que sou inocente.

Na oração acima, o pronome pessoal “ele” não admite artigo e, por isso, o termo “a” é uma preposição. Declarei algo a alguém. Quem? Ele (e não “a ele”).

• Preposição “a” e os pronomes demonstrativos

Os pronomes demonstrativos em que a crase pode ocorrer são: aquele, aquela, aqueles, aquelas, aquilo, a(s). Para isso, o termo regente deve exigir preposição. Por exemplo:

Assisti àquele programa horrível de TV.
Àquilo chamam de programa educativo?
Refiro-me àquela aluna estudiosa.

Sabrina Vilarinho
Graduada em Letras