Esse é o blog de Accbarroso, Professor de Matemática no Colégio Estadual Dinah Gonçalves. .Inscreva-se Já no meu canal www.youtube.com/accbarroso1 e receba as vídeoaulas de Matemática
Marcadores
- 1º Ano Ensino Médio
- 2º Ano Ensino Médio
- 3º Ano Ensino Médio
- 4ª ano
- 5ª ano
- 6º Ano
- 7º Ano
- 8º Ano
- 9º Ano
- Algébra Linear
- artigo de Antonio Carlos
- Aulas em PPT
- Biologia
- Calculo
- Ciências
- Cores
- Curiosidades
- curso
- Cutiosidades
- Desafios
- Dobraduras
- Editor de Matemática
- EDO
- Enem
- Estatistica
- Eventos matemáticos
- Filme
- Física
- Fotos
- geografia
- Gestar
- História
- história da matemática
- IMC
- Infantil
- jogos
- leis da educação na ahia
- Magisterio
- Matemática Financeira
- Matemática para concurso
- Matemáticos
- Materiais digitais
- Medicinal
- Mulheres
- Nosso pais
- OBMEP
- Origami
- Parceiro
- Planejamento
- Planificação
- Português
- pré-calculo
- Profmat
- Projeto
- provas
- Quimica
- Salmos
- servidor público
- Siga-me
- Simulados
- Tangram
domingo, 5 de janeiro de 2020
Orações Coordenadas
Colégio Estadual Dinah Gonçalves
email
accbarroso@hotmail.com
Dois são os processos de estruturação fraseológica, ou seja, as orações se relacionam umas com as outras e se interligam num período através dos mecanismos coordenativos ou subordinativos.
A oração coordenada é aquela que se liga a outra oração da mesma natureza sintática.
Num período composto por coordenação, as orações são independentes. Ela podem ser sindéticas (quando a outras se prendem por conjunções), ou assindéticas (quando não se prendem a outras por conectivo)
As coordenadas sindéticas podem ser:
Aditivas: e, nem, não só... mas também, não só... como, assim... como.
Adilson foi ao trabalho a pé e voltou de automóvel.
Simão não era rico nem pobre.
Estudou não somente Português, como também Geografia.
Adversativas: mas, contudo, todavia, entretanto, porém, no entanto, ainda, assim, senão.
Argumentou durante duas horas, mas não convenceu.
Nesse particular, você tem razão, contudo não me convenceu.
Alternativas: ou... ou; ora...ora; quer...quer; seja...seja.
A babá ora acariciava o nem-nem, ora beslicava-o.
Conclusivas: logo, portanto, por fim, por conseguinte, conseqüentemente.
Vivia zombando de todos; logo, não merecia complacência.
Explicativas: isto é, ou seja, a saber, na verdade, pois.
Ele caminhava apressadamente, pois estava atrasado.
www.algosobre.com.br
Equação de 2º grau

As equações do tipo ax + b = 0, com a e b números reais e a ≠ 0 são consideradas equações do 1º grau, e podem ter no máximo um resultado. Os modelos de expressões que satisfazem a condição ax² + bx + c = 0, com a, b e c números reais e a ≠ 0 se enquadram na condição de equações do 2º grau, sendo possível a sua resolução através do Teorema de Bháskara. A utilização desse teorema requer conhecimento dos valores dos coeficientes a, b e c, por exemplo, na equação 2x² + 4x – 12 = 0 os coeficientes são: a = 2, b = 4 e c = –12.
Uma equação do 2º grau pode ter no máximo duas raízes (soluções) reais, a condição de existência das raízes dependerá do valor do discriminante (∆). De acordo com o seu valor podemos ter as seguintes situações:
∆ < 0, não possui raízes reais. ∆ = 0, possui uma única raiz real. ∆ > 0, possui duas raízes reais e distintas.
As equações do 2º grau poderão ser resolvidas utilizando a seguinte fórmula:
.jpg)
Resolução de uma equação do 2º grau
Exemplo 1
Dada a equação x² + 3x – 10 = 0, determine suas raízes, se existirem.
a = 1, b = 3 e c = –10
∆ = b² – 4ac
∆ = 3² – 4 * 1 * (–10)
∆= 9 + 40
∆ = 49
.jpg)
As raízes da equação são x’ = 2 e x” = – 5
Exemplo 2
Determine as soluções reais da seguinte equação: 2x² + 12x + 18 = 0
a = 2, b = 12 e c = –18
∆ = b² – 4ac
∆ = 12² – 4 * 2 * 18
∆= 144 – 144
∆ = 0
.jpg)
extraido de www.mundoeducacao.com.br
A equação possui apenas uma raiz real, x’ = x” = 3.
Exemplo 3
Resolva a seguinte equação: 4y² + 6y + 50 = 0
a = 4, b = 6 e c = 50
∆ = b² – 4ac
∆ = 6² – 4 * 4 * 50
∆= 36 – 800
∆ = – 764
Não possui raízes reais ou soluções reais, pois o valor do discriminante é menor que zero.
Uma equação do 2º grau pode ter no máximo duas raízes (soluções) reais, a condição de existência das raízes dependerá do valor do discriminante (∆). De acordo com o seu valor podemos ter as seguintes situações:
∆ < 0, não possui raízes reais. ∆ = 0, possui uma única raiz real. ∆ > 0, possui duas raízes reais e distintas.
As equações do 2º grau poderão ser resolvidas utilizando a seguinte fórmula:
.jpg)
Resolução de uma equação do 2º grau
Exemplo 1
Dada a equação x² + 3x – 10 = 0, determine suas raízes, se existirem.
a = 1, b = 3 e c = –10
∆ = b² – 4ac
∆ = 3² – 4 * 1 * (–10)
∆= 9 + 40
∆ = 49
.jpg)
As raízes da equação são x’ = 2 e x” = – 5
Exemplo 2
Determine as soluções reais da seguinte equação: 2x² + 12x + 18 = 0
a = 2, b = 12 e c = –18
∆ = b² – 4ac
∆ = 12² – 4 * 2 * 18
∆= 144 – 144
∆ = 0
.jpg)
extraido de www.mundoeducacao.com.br
A equação possui apenas uma raiz real, x’ = x” = 3.
Exemplo 3
Resolva a seguinte equação: 4y² + 6y + 50 = 0
a = 4, b = 6 e c = 50
∆ = b² – 4ac
∆ = 6² – 4 * 4 * 50
∆= 36 – 800
∆ = – 764
Não possui raízes reais ou soluções reais, pois o valor do discriminante é menor que zero.
Combinação Simples
Colégio Estadual Dinah Gonçalves
email accbarroso@hotmail.com
Os agrupamentos de elementos que possuem a característica de diferenciação somente pela espécie são denominados combinações. Na situação envolvendo os números 1, 2, 3, 4 e 5 temos alguns agrupamentos que se caracterizam pela seguinte situação:
2 * 3 * 4 = 4 * 2 * 3
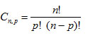
Observe que os números formados são diferentes, mas o produto entre eles possui o mesmo valor. Dessa forma, partindo da ideia da multiplicação dos numerais formadores do algarismo, temos um caso de combinação, pois se diferenciam somente pela espécie e não pela ordem dos elementos. As combinações de n elementos tomados p a p são determinadas pela expressão matemática:

Onde ! (fatorial) indica fatorial de um número, dado pela multiplicação entre os antecessores do número em questão com ausência do zero. Veja:
5! = 5 * 4 * 3 * 2 * 1 = 120
7! = 7 * 6 * 5 * 4 * 3 * 2 * 1 = 5040
9! = 9 * 8 * 7 * 6 * 5 * 4 * 3 * 2 * 1 = 362.880
Exemplo 1
Quantas equipes de 6 jogadores podemos formar com o total de 12 atletas?

Poderão ser formadas 924 equipes diferentes.
Exemplo 2
Em uma modalidade de truco, todas as 52 cartas são utilizadas. Considerando que cada jogador recebe 3 cartas, determine o número de possibilidades de cartas que um jogador pode receber.
Observe que temos uma combinação, pois as cartas são diferentes entre si pela espécie e não pela ordem.

Cada jogador poderá receber suas cartas de 22.100 maneiras distintas.
Exemplo 3
Em uma avaliação composta de 8 questões, um estudante pode optar em responder apenas 5. Quantas são as possibilidades de escolha do estudante?

www.bancodeconcursos.com
Reino dos Animais: Os invertebrados
Reino dos Animais: Os invertebrados
Os animais compõem um reino com mais de um milhão de espécies. No entanto, fósseis encontrados revelam que uma quantidade muito maior de espécies animais já viveu na Terra, mas hoje estão extintas.
Nós, os seres vivos, somos muitos e temos as mais variadas formas e tamanhos - desde corpos microscópicos, como o ácaro, até corpos gigantescos como o da baleia-azul. Alguns com forma, organização e funcionamento do corpo simples, como uma esponja-do-mar; outros, com a estrutura complexa de um mamífero.
Apesar da grande diversidade, quase todos os animais apresentam uma característica em comum: são formados por milhares de células de diversos tipos. Outro aspecto comum aos seres do reino Animal é que obtêm o seu alimento a partir de outros seres vivos.
Os animais habitam quase todos os ambientes conhecidos do nosso planeta, podendo ser encontrados tanto em grandes altitudes nas montanhas quanto em profundas fossas marinhas.
A maioria das espécies é capaz de se locomover, isto é, mover o corpo de um lugar para o outro. No entanto, há espécies que vivem fixas, ou seja, sésseis, no ambiente, como as esponjas-do-mar.
O que é vertebrado e invertebrado?
Os animais são estudados pela zoologia - campo da ciência cujo nome origina-se da língua grega: zoo significa "animal", e logia, "estudo".
Para facilitar o estudo, é importante classificar os animais. Uma das formas de fazer essa classificação é dividi-los em dois grandes grupos: vertebrados e invertebrados.
No grupo dos vertebrados estão os animais que, como os seres humanos, possuem coluna vertebral. Já o grupo dos invertebrados é formado por aqueles que não possuem coluna vertebral.
A coluna vertebral é um tipo de eixo esquelético formado por peças articuladas entre si - as vértebras-, que podem ser ósseas ou cartilaginosas. As articulações permitem a flexibilidade do esqueleto interno, facilitando a movimentação.
Poríferos
Os poríferos, também conhecidos como espongiários ou simplesmente esponjas, surgiram provavelmente há cerca de 1 bilhão de anos. Supõe-se que eles sejam originados de seres unicelulares e heterótrofos que se agrupam em colônias.
Veja o texto:
Talvez ao tomar banho, você goste de se ensaboar usando uma esponja sintética, feita de plástico ou de borracha, ou uma bucha vegetal.

Bucha vegetal
Mas você já pensou em tomar banho ensaboando-se com o esqueleto de algum animal?
Antes da invenção das esponjas sintéticas, as esponjas naturais eram muito usadas pelas pessoas para tomar banho e na limpeza doméstica, para esfregar panelas e copos, por exemplo. A esponja natural é o esqueleto macio de certas espécies de animais do grupo dos poríferos; esses esqueletos são feitos de um emaranhado de delicadas fibras de uma proteína chamada espongina.
Esses animais não possuem tecidos bem definidos e não apresentam órgãos e nem sistemas. São exclusivamente aquáticos, predominantemente marinhos, mas existem algumas espécies que vivem em água doce.
Os poríferos vivem fixos a rochas ou a estruturas submersas, como conchas, onde podem formar colônias de coloração variadas. Podem ses encontrados desde as regiões mais rasas das praias até profundidades de aproximadamente 6 mil metros. Alimentam-se de restos orgânicos ou de microorganismos que capturam filtrando a água que penetra em seu corpo, como veremos adiante. Por sua vez, servem de alimento para algumas espécies de animais, como certos moluscos, ouriços-do-mar, estrelas-do-mar, peixes e tartarugas.
Organização do corpo dos poríferos
O corpo de um porífero possui células que apresentam uma certa divisão de trabalho. Algumas dessas células são organizadas de tal maneira que formam pequenos orifícios, denominados poros, em todo o corpo do animal. É por isso que esses seres recebem o nome de poríferos (do latim porus: 'poro'; ferre: 'portador').
Observe no esquema abaixo que a água penetra no corpo do animal através dos vários poros existentes em seu corpo. Ela alcança então uma cavidade central denominada átrio. Observe também que a parede do corpo é revestida externamente por células achatadas que formam a epiderme. Já internamente, a parede do corpo é revestida por células denominadas coanócitos.

Cada coanócito possui um longo flagelo. O batimento dos flagelos promove um contínuo fluxo de água do ambiente para o átrio do animal. A essa água estão misturados restos orgânicos e microorganismos, que são capturados e digeridos pelos coanócitos. O material digerido é então distribuído para as demais células do animal. Como a digestão ocorre no interior de células, diz-se que os poríferos apresentam digestão intracelular.
Os poríferos são animais filtradores, já que filtram a água que penetra em seu corpo, retirando dela alimento e gás oxigênio. Depois disso, a água com resíduos do metabolismo desses animais é eliminada para o ambiente por meio de uma abertura denominada ósculo.
O esqueleto das esponjas é formado por diversos tipos de substâncias. Entre elas destacam-se as espícolas de calcário ou de sílica, com formas variadas, e uma rede de proteína chamada espongina.

Em certas esponjas, o esqueleto não possui espículas, mas tem a rede de espongina bastante desenvolvida. As esponjas desse tipo é que foram muito utilizadas no passado para banho e limpeza doméstica como no texto acima.


Espículas que sustentam o corpo dos poríferos.
Espícula em detalhe - Microscopia eletrônica
Muitas espécies de poríferos, que ficam totalmente expostos aos predadores, apresentam mecanismos de defesa contra a predação excessiva. O principal mecanismo é de natureza química, e ocorre deste modo: algumas esponjas produzem uma substância tóxica e outras produzem substâncias com atividade anti-microbiana.

No fundo do mar, corais, cnidários e poríferos entre outros competem pelos espaços em substratos sólidos, como as rochas.
Além de atuar como defesa contra predadores e infecções microbianas, essas substâncias tóxicas expelidas pelas esponjas, são vantajosas na competição por espaço que os poríferos travam com outros invertebrados, como os corais, e até mesmo com outras esponjas. Isso permite a algumas esponjas cresçam rapidamente.
Também são muito comuns relações de comensalismo. A estrutura do corpo das esponjas e as suas defesas contra predadores tornam esses animais excelentes refúgios para invertebrados menores e até mesmo para alguns peixes. Várias espécies dependem dessa proteção na sua fase jovem, do contrário suas populações não ficariam estáveis.
Outras associações comuns são aquelas envolvendo esponjas, bactérias e cianobactérias. Provavelmente, o organismo das esponjas constitui um meio rico para o crescimento das bactérias e, ao mesmo tempo, se beneficia de um estoque de bactérias usadas na sua nutrição.
A reprodução dos poríferos
A reprodução dos poríferos pode ser assexuada ou sexuada.
Assexuada - Ocorre, por exemplo, por brotamento. Neste caso, formam-se brotos, que podem se separar do corpo do animal e dar origem a novas esponjas. Observe o esquema abaixo.

As esponjas apresentam ainda grande capacidade de regeneração. Se uma esponja for partida em pedaços, cada pedaço poderá dar origem a uma nova esponja.
Sexuada. Neste caso, quando os espermatozóides (gametas masculinos) estão maduros, eles saem pelo ósculo, junto com a corrente de água, e penetram em outra esponja, onde um deles fecunda um óvulo (gameta feminino). Após a fecundação, que é interna, forma-se uma célula ovo ou zigoto, que se desenvolve e forma uma larva. A larva sai do corpo da esponja, nada com a ajuda de cílios e se fixa, por exemplo, numa rocha, onde se desenvolve até originar uma nova esponja.

www.sobiologia.com.br
Os animais compõem um reino com mais de um milhão de espécies. No entanto, fósseis encontrados revelam que uma quantidade muito maior de espécies animais já viveu na Terra, mas hoje estão extintas.
Nós, os seres vivos, somos muitos e temos as mais variadas formas e tamanhos - desde corpos microscópicos, como o ácaro, até corpos gigantescos como o da baleia-azul. Alguns com forma, organização e funcionamento do corpo simples, como uma esponja-do-mar; outros, com a estrutura complexa de um mamífero.
Apesar da grande diversidade, quase todos os animais apresentam uma característica em comum: são formados por milhares de células de diversos tipos. Outro aspecto comum aos seres do reino Animal é que obtêm o seu alimento a partir de outros seres vivos.
Os animais habitam quase todos os ambientes conhecidos do nosso planeta, podendo ser encontrados tanto em grandes altitudes nas montanhas quanto em profundas fossas marinhas.
A maioria das espécies é capaz de se locomover, isto é, mover o corpo de um lugar para o outro. No entanto, há espécies que vivem fixas, ou seja, sésseis, no ambiente, como as esponjas-do-mar.
O que é vertebrado e invertebrado?
Os animais são estudados pela zoologia - campo da ciência cujo nome origina-se da língua grega: zoo significa "animal", e logia, "estudo".
Para facilitar o estudo, é importante classificar os animais. Uma das formas de fazer essa classificação é dividi-los em dois grandes grupos: vertebrados e invertebrados.
No grupo dos vertebrados estão os animais que, como os seres humanos, possuem coluna vertebral. Já o grupo dos invertebrados é formado por aqueles que não possuem coluna vertebral.
A coluna vertebral é um tipo de eixo esquelético formado por peças articuladas entre si - as vértebras-, que podem ser ósseas ou cartilaginosas. As articulações permitem a flexibilidade do esqueleto interno, facilitando a movimentação.
Poríferos
Os poríferos, também conhecidos como espongiários ou simplesmente esponjas, surgiram provavelmente há cerca de 1 bilhão de anos. Supõe-se que eles sejam originados de seres unicelulares e heterótrofos que se agrupam em colônias.
Veja o texto:
Talvez ao tomar banho, você goste de se ensaboar usando uma esponja sintética, feita de plástico ou de borracha, ou uma bucha vegetal.

Bucha vegetal
Mas você já pensou em tomar banho ensaboando-se com o esqueleto de algum animal?
Antes da invenção das esponjas sintéticas, as esponjas naturais eram muito usadas pelas pessoas para tomar banho e na limpeza doméstica, para esfregar panelas e copos, por exemplo. A esponja natural é o esqueleto macio de certas espécies de animais do grupo dos poríferos; esses esqueletos são feitos de um emaranhado de delicadas fibras de uma proteína chamada espongina.
Esses animais não possuem tecidos bem definidos e não apresentam órgãos e nem sistemas. São exclusivamente aquáticos, predominantemente marinhos, mas existem algumas espécies que vivem em água doce.
Os poríferos vivem fixos a rochas ou a estruturas submersas, como conchas, onde podem formar colônias de coloração variadas. Podem ses encontrados desde as regiões mais rasas das praias até profundidades de aproximadamente 6 mil metros. Alimentam-se de restos orgânicos ou de microorganismos que capturam filtrando a água que penetra em seu corpo, como veremos adiante. Por sua vez, servem de alimento para algumas espécies de animais, como certos moluscos, ouriços-do-mar, estrelas-do-mar, peixes e tartarugas.
Organização do corpo dos poríferos
O corpo de um porífero possui células que apresentam uma certa divisão de trabalho. Algumas dessas células são organizadas de tal maneira que formam pequenos orifícios, denominados poros, em todo o corpo do animal. É por isso que esses seres recebem o nome de poríferos (do latim porus: 'poro'; ferre: 'portador').
Observe no esquema abaixo que a água penetra no corpo do animal através dos vários poros existentes em seu corpo. Ela alcança então uma cavidade central denominada átrio. Observe também que a parede do corpo é revestida externamente por células achatadas que formam a epiderme. Já internamente, a parede do corpo é revestida por células denominadas coanócitos.

Cada coanócito possui um longo flagelo. O batimento dos flagelos promove um contínuo fluxo de água do ambiente para o átrio do animal. A essa água estão misturados restos orgânicos e microorganismos, que são capturados e digeridos pelos coanócitos. O material digerido é então distribuído para as demais células do animal. Como a digestão ocorre no interior de células, diz-se que os poríferos apresentam digestão intracelular.
Os poríferos são animais filtradores, já que filtram a água que penetra em seu corpo, retirando dela alimento e gás oxigênio. Depois disso, a água com resíduos do metabolismo desses animais é eliminada para o ambiente por meio de uma abertura denominada ósculo.
O esqueleto das esponjas é formado por diversos tipos de substâncias. Entre elas destacam-se as espícolas de calcário ou de sílica, com formas variadas, e uma rede de proteína chamada espongina.

Em certas esponjas, o esqueleto não possui espículas, mas tem a rede de espongina bastante desenvolvida. As esponjas desse tipo é que foram muito utilizadas no passado para banho e limpeza doméstica como no texto acima.


Espículas que sustentam o corpo dos poríferos.
Espícula em detalhe - Microscopia eletrônica
Muitas espécies de poríferos, que ficam totalmente expostos aos predadores, apresentam mecanismos de defesa contra a predação excessiva. O principal mecanismo é de natureza química, e ocorre deste modo: algumas esponjas produzem uma substância tóxica e outras produzem substâncias com atividade anti-microbiana.

No fundo do mar, corais, cnidários e poríferos entre outros competem pelos espaços em substratos sólidos, como as rochas.
Além de atuar como defesa contra predadores e infecções microbianas, essas substâncias tóxicas expelidas pelas esponjas, são vantajosas na competição por espaço que os poríferos travam com outros invertebrados, como os corais, e até mesmo com outras esponjas. Isso permite a algumas esponjas cresçam rapidamente.
Também são muito comuns relações de comensalismo. A estrutura do corpo das esponjas e as suas defesas contra predadores tornam esses animais excelentes refúgios para invertebrados menores e até mesmo para alguns peixes. Várias espécies dependem dessa proteção na sua fase jovem, do contrário suas populações não ficariam estáveis.
Outras associações comuns são aquelas envolvendo esponjas, bactérias e cianobactérias. Provavelmente, o organismo das esponjas constitui um meio rico para o crescimento das bactérias e, ao mesmo tempo, se beneficia de um estoque de bactérias usadas na sua nutrição.
A reprodução dos poríferos
A reprodução dos poríferos pode ser assexuada ou sexuada.
Assexuada - Ocorre, por exemplo, por brotamento. Neste caso, formam-se brotos, que podem se separar do corpo do animal e dar origem a novas esponjas. Observe o esquema abaixo.

As esponjas apresentam ainda grande capacidade de regeneração. Se uma esponja for partida em pedaços, cada pedaço poderá dar origem a uma nova esponja.
Sexuada. Neste caso, quando os espermatozóides (gametas masculinos) estão maduros, eles saem pelo ósculo, junto com a corrente de água, e penetram em outra esponja, onde um deles fecunda um óvulo (gameta feminino). Após a fecundação, que é interna, forma-se uma célula ovo ou zigoto, que se desenvolve e forma uma larva. A larva sai do corpo da esponja, nada com a ajuda de cílios e se fixa, por exemplo, numa rocha, onde se desenvolve até originar uma nova esponja.

www.sobiologia.com.br
Harpia Ave de rapina sul-americana está ameaçada de extinção

Colégio Estadual Dinah Gonçalves
email
accbarroso@hotmail.com
A Harpia harpyja é uma imponente ave de rapina da América do Sul
Na mitologia grega, as harpias, criaturas com o corpo de ave e cabeça de mulher, eram as mensageiras dos deuses. Elas desciam à Terra para castigar os mortais que tivessem cometido crimes graves.
Na natureza, a Harpia harpyja é a imponente ave de rapina da América do Sul. É uma das mais raras espécies de aves da fauna latino-americana.
Para os povos indígenas da região amazônica, a harpia é a "mãe de todos os pássaros", reverenciada como o espírito mais intrépido das florestas.
Bico e garras da harpia
Todas as aves da família Accipitridae, à qual as harpias pertencem, têm o bico robusto e desenhado para rasgar a carne de suas presas. O das harpias é o mais forte de todos. Suas garras podem medir até 7 cm - e são maiores que as de um urso pardo norte-americano.
Com essas garras, aliadas à sua força, essa ave é capaz de arrancar um bicho-preguiça, o Bradypus tridactylus de uma árvore, sem interromper seu vôo - segundo o ornitólogo e agrônomo Paulo Boute.
O que a harpia come?
Ela se alimenta de serpentes e de mamíferos de médio e pequeno porte, como filhotes de veado, tatus, cotias e macacos, como o bugio - Alouatta guariba.
Ao redor do pescoço, as harpias têm um colar de penas negras e suas cabeças são adornadas com um cocar cinza, do qual surgem dois conjuntos de penas maiores, que lembram chifres. O cinza das rêmiges e rectrizes, penas das asas e da cauda, respectivamente, contrasta com as penas brancas que recobrem o peito desse animal.
Um casal para toda a vida
Os casais de harpias ficam juntos durante toda a vida e seu período de reprodução vai de setembro a novembro. Geralmente, quando a fêmea sai para caçar, o macho vigia o ninho.
A fêmea de Harpia harpyja pode medir até 90 cm de altura, 2 m de envergadura de asa, e pesar mais de 9 kg, se a ave for fêmea.
Os machos são um pouco menores, com 60 cm de altura e 7,5 kg. As fêmeas são maiores para que possam levar o alimento até seu filhote, bem como para defendê-lo.
Um filhote a cada dois anos
As harpias produzem até dois ovos, a cada dois anos. Porém, apenas um filhote sobrevive. O período de incubação dura 56 dias. As fêmeas constroem seus ninhos com pequenos galhos e forram-no com as penas de seu corpo, para que o filhote se mantenha aquecido e não gaste energia. Elas usam sempre o mesmo ninho para dar cria e, quando necessário, elas o reformam.
Nove meses após o nascimento, o filhote treina seus primeiros vôos. Mas só depois de quatro anos adquire sua plumagem definitiva para, aos cinco anos, ficar independente. Durante os primeiros anos de vida, a mãe encarrega-se de alimentar sua cria. Depois, o filhote aprende as técnicas de caça ao observar a mãe em ação.
Harpias ameaçadas de extinção
O habitatda harpia estendia-se do sul do Brasil até o Estado de Chiapras, no México. Atualmente, há registros de apenas alguns exemplares de na Amazônia. Harpias estão ameaçadas de extinção e seu único predador é o ser humano.
Contribuem para isso a devastação das florestas, além da lenda sobre harpias roubarem e matarem bebês. Essa crença infundada serve para justificar sua caça indiscriminada. Outro problema é que por ser uma espécie em extinção, sua presença atrai observadores de todo o mundo, o que estressa e prejudica esses animais.
Além disso, quanto mais rara uma espécie se torna, mais alto é o seu valor comercial, e aumenta a caça ilegal - o que colabora para o extermínio de espécies como a da Harpia harpyja.
*Mariana Aprile é estudante de biologia na Universidade Presbiteriana Mackenzie e aluna de Iniciação Científica do Mackpesquisa (PIVICK)
Assinar:
Postagens (Atom)