
Observe que as razões possuem o mesmo valor. Dessa forma, dizemos que os números das sequências são diretamente proporcionais.
Em algumas situações, os cálculos são realizados no intuito de determinar valores desconhecidos das sequências numéricas, a fim de tornar os números diretamente proporcionais. Observe os exemplos:
Exemplo 1
Vamos calcular o valor de a e b nas sequências (a, 8, 10) e (24, 32, b), considerando que os números sejam diretamente proporcionais.

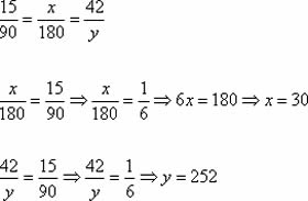
Exemplo 2
Determine o valor de x e y nas sequências (15, x, 42) e (90, 180, y) de modo que eles sejam diretamente proporcionais.

Os cálculos apresentados são de grande utilidade na divisão diretamente proporcional. Veja:
João quer dividir 60 balas de doce entre três crianças, de forma que a distribuição seja realizada de forma diretamente proporcional às suas idades que são 2, 3 e 5 anos.

De acordo com as idades 2, 3 e 5 elas receberão 12, 18 e 30 balas, respectivamente.
www.bancodeconcursos.com
Nenhum comentário:
Postar um comentário