sexta-feira, 29 de novembro de 2019

JUROS SIMPLES E COMPOSTO


JUROS SIMPLES

Quando se deposita ou empresta uma certa quantia, denominada capital por um certo tempo, recebe-se como compensação outra quantia , chamada juros.

Capital __c___ (quantia emprestada)
Taxa____ i___ (porcentagem envolvida)
Tempo___t___ (período do empréstimo)
Juros____j____(a renda obtida)


Os problemas sobre juros simples podem ser resolvidos por meio de uma regra de três composta. Na pratica são resolvidos através de formula.

Exemplo:
O capital 100 em 1 ano produz i
O capital c em t anos produzira j

Capital______tempo______juros

100_________1____________i
c___________ t____________J

I/j=100/c.1/t

i/j= 100/c.t

100j= c.i.t

j=c.i.t/100



OBESERVAÇÃO

A formula somente é válida quando a taxa e o tempo estiverem numa mesma unidade

Exemplos

Calcular os juros produzidos por um capital de R$ 5.000,00 empregado à taxa de 90% ao ano, durante 2 anos

Solução
J = ?, c = 5000, i = 90% ao ano, t = 2 anos

Temos: j = c.i.t / 100
Substituindo temos:

J = 5000.90.2 / 100
J = 900000/ 100
J = 9000

Exemplo “2”
Calcular os juros produzidos por um capital de R$ 10.000,00 empregado à taxa de 3% ao mês, durante um ano.

Temos: j = c . i . t / 100

J= 10000.3.12 / 100
J = 360000 / 100
J = 3600

Exemplo “3”

Qual o capital que, em quatro meses, rendeu R$ 11.520,00 de juros à taxa de 96% ao ano?

Temos : j = c.i.t / 100

11520 = c.8.4 / 100
32c = 1152000
c = 1152000 / 32
c = 36000

Exemplo “4”

Durante quanto tempo ficou empregado um capital de R$ 45.000,00 que rendeu R$ 8.100,00 de juros, à taxa de 2% ao mês?

Temos : j = c.i.t / 100

8100 = 45000. 2. t / 100
90000t = 810000
t = 810000 / 90000
t = 9

EXERCICIOS

1) Calcule o juro produzido por R$ 50.000,00 durante 2 anos , a taxa de 30% ao ano. (R=30.000)
2) Calcule o juro produzido por R$ 18.000,00, durante 3 meses, a taxa de 7% ao mês. (R=3780)
3) Calcule o juro produzido por R$ 72.000,00, durante 2 meses , a taxa de 60% ao ano (R=7200)
4) Calcule o juro produzido por R$ 12.000,00, durante 5 meses, a taxa de 6,5% ao mês (R= 3900)5) Por quanto tempo devo aplicar R$ 10.000,00 para que a renda R$ 4.000,00 a uma taxa de 5% ao mês? (R=8)
6) Por quanto tempo devo aplicar R$ 3.000,00 para que renda R$ 1.440,00 a taxa de 12% ao mês? (R = 4)
7) A que taxa mensal devo empregar um capital de R$ 10.000,00 para que, no fim de 2 meses renda R$ 2.000,00 de juros? (R=10%)
8) A que taxa mensal devo empregar um capital de R$ 20.000,00 para que, no fim de 10 meses renda R$ 18.000,00 de juros? (R= 9%)
9) Qual será o capital que em 9 meses, a 6% ao mês, renderá R$ 32.400,00 de juros ? (R= 60.000)10) Qual será o capital que,em 3 meses, a 72% ao ano renderá R$ 720,00 de juros? (R=4.000)
http://jmpmat4.blogspot.com/

OPERAÇÕES COM POLINÔMIOS



ADIÇÃO DE POLINÔMIOS



EXEMPLO

Vamos calcular:

(3x²- 6x + 4) + (2x² + 4x – 7)=
=3x²-6x+4+2x²+4x-7=
=3x²+2x²-6x+4x+4-6=
=5x²-2x-3



EXERCÍCIOS

1) Efetue as seguintes adições de polinômios:

a) (2x²-9x+2)+(3x²+7x-1) _______ (R:5x² -2x + 1)
b) (5x²+5x-8)+(-2x²+3x-2) ______ (R:3x² + 8x - 10)
c) (3x-6y+4)+(4x+2y-2) ________ (R:7x -4y +2)
d) (5x²-7x+2)+(2x²+7x-1) _______ (R:7x²+ 1)
e) (4x+3y+1)+(6x-2y-9) _________ (R:10x +1y-8)
f) (2x³+5x²+4x)+(2x³-3x²+x) _____ (R:4x³ +2x²+ 5x)
g) (5x²-2ax+a²)+(-3x²+2ax-a²) ____ (R: 2x²)
h) (y²+3y-5)+(-3y+7-5y²) ________ (R: -4y² + 2)
i) (x²-5x+3)+(-4x²-2x) __________ (R:-3x² - 7x + 3)
j) (9x²-4x-3)+(3x²-10) __________ (R:12x² -4x- 13)



SUBTRAÇÃO DE POLINÔMIOS

EXEMPLOS

Vamos calcular:

(5x²-4x+9)-(8x²-6x+3)=
=5x²-4x+9-8x²+6x-3=
=5x²-8x²-4x+6x+9-3=
=-3x²+2x+6

EXERCICIOS

1) Efetue as seguintes subtrações:
a) (5x²-4x+7)-(3x²+7x-1) _____ (R: 2x² - 11x + 8)
b) (6x²-6x+9)-(3x²+8x-2) _____ (R: 3x² - 14x + 11)
c) (7x-4y+2)-(2x-2y+5) _______ (R: 5x - 2y – 3)
d) (4x-y-1)-(9x+y+3) _________ (R: -5x – 2y – 4)
e) (-2a²-3ª+6)-(-4a²-5ª+6) _____ ( R: -2a² +2a)
f) (4x³-6x²+3x)-(7x³-6x²+8x) ___ (R: -3x³ - 5x)
g) (x²-5x+3)-(4x²+6) _________ (R: -3x² -5x -3)
h) (x²+2xy+y²)-(y²+x²+2xy) ____ (R: 0)
i) (7ab+4c-3a)-(5c+4a-10) ______ (R: 7ab -c-7a + 10)


MULTIPLICAÇÃO DE POLINÔMIOS


EXEMPLOS

1) 4x(2x-3y ) =
=4x. 2x – 4x.3y
=8x² - 12xy

2) (3x + 5) . (x + 2)
= 3x(x+2) + 5(x + 2)=
=3x²+6x+5x+10
= 3x² + 11x + 10


EXERCICIOS

1) Calcule os produtos

a) 3(x+y) ____ (R: 3x +3y)
b) 7(x-2y) ___ (R: 7x - 14y)
c) 2x(x+y) ___ (R: 2x² + 2xy)
d) 4x (a+b) ___ (R: 4xa + 4xb)
e) 2x(x²-2x+5) _ (R:2x³ - 4x² + 10x)
f) (x+5).(x+2) __ (R: x² +7x +10)
g) (3x+2).(2x+1) __ (R: 6x² +7x + 2)
h) (x+7).(x-4) ____ (R: x² +3x -28)
i) (3x+4).(2x-1) ___ (R: 6x² +5x -4)
j) (x-4y).(x-y) ____ (R: x² -5xy + 4y²)
k) (5x-2).(2x-1) ___ (R: 10x² -9x + 2)
l) (3x+1).(3x-1) ___ (R: 9x² - 1)
m) (2x+5).(2x-5) __ (R: 4x² - 25)
n) (6x²-4).(6x²+4) __ (R:
o) (3x²-4x-3).(x+1) __ (R: 3x³ - 1x² - 7x -3)
p) (x²-x-1).(x-3) _____ (R: x³ - 4x² + 2x + 3)
q) (x-1).(x-2).(x-3) ____ (R: x³ - 6x² - 3x - 9)
r) (x+2).(x-1).(x+3) ____ (R: x³ + 4x² + 3x + 1)
s) (x³-2).(x³+8) _______ (R:
t) (x²+2).(x²+6) _______ (R:



DIVISÃO DE UM POLINOMIO POR UM MONOMIO

Vamos efetuar as divisões:

a) (8x⁵ - 6x⁴) : (+2x) = 4x⁴ - 3x³
b) (15x³ - 4x²) : (-5x) = -3x² + 4x/5


Conclusão:Dividimos cada termo do polinômio pelo monômio.

EXERCÍCIOS

1) Efetue as divisões:
a) ( 12x² - 8x) : (+2x) =
b) (3y³ + 6y²) : (3y) =
c) ( 10x² + 6x) : (-2x) =
d) (4x³ - 9x) : (+3x) =
e) ( 15x³ - 10x²) : (5x²)
f) (30x² - 20xy) : (-10x)
g) (-18x² + 8x) : (+2x)
h) (6x²y – 4xy²) : (-2x)

2) Efetue as Divisões:

a) ( x³ + 2x² + x ) : (+x) =
b) (x² + x³ + x⁴) : (+x²) =
c) (3x⁴ - 6x³ + 10x²) : (-2x²) =
d) (x⁷ + x⁵ + x³) : (-x²) =
e) (3x²y – 18xy²) : (+3xy) =
f) (7x³y – 8x²y²) : (-2xy) =
g) (4x²y + 2xy – 6xy²) : (-2xy) =
h) (20x¹² - 16x⁸ - 8x⁵) : ( +4x⁴) =
i) (3xy⁴ + 9x²y – 12xy²) : (+3xy) =

DIVISÃO DE POLINÔMIO POR POLINÔMIO
explicaremos como se efetua a divisão de polinômios pelo método de chaves, por meio de exemplos.





Exemplo 1



Vamos efetuar a divisão:

(2x² - 5x - 12) : ( x -4)

Observe que os polinômios estão ordenados segundo as potências decrescentes de x.

a)Coloque o polinômio assim:

















b) Divida o primeiro termo do dividendo (2x²) pelo primeiro termo do divisor (x) e obtenha o primeiro termo do quosciente (2x)
















c) Multiplique o primeiro termo do quosciente (2x) pelos termos do divisor , colocando os produtos com sinais trocados embaixo dos termos semelhantes do dividendo. A seguir , reduza so termos semelhantes:












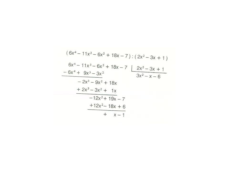
Exemplo 2

Vamos calcular a divisão









Terminamos a divisão, pois o grau de x - 1 (resto) é inferior ao de 2x² - 3x + 1 (divisor)

logo: quociente : 3x² - x - 6
resto: x -1


EXERCICIOS

1) Calcule os quocientes:

a) ( x² + 5x + 6) : (x + 2)
b) (x² - 7x + 10 ) : ( x - 2)
c) (2x² + 6x + 4 ) : ( x + 1)
d) ( x³ - 6x² + 11x – 6) : ( x – 3)
e) ( 7x³ + 27x² - 3x + 4 ) : ( x + 4)
f) (2x³ + 3x² - x – 2) : ( 2x – 3)
g) ( x³ - 6x² + 7x + 4) : (x² - 2x – 1)
h) (3x³ - 13x + 37x – 50 ) : ( x² -2x + 5)
i) ( 10x³ - 31x² + 26x – 3) : ( 5x² - 8x + 1)
j) ( 4x⁴ - 14x³ + 15x² -17x + 5 ) : (x² - 3x + 1)
fonte : /jmpmat2.blogspot.com

Sistema Respiratório - Exercícios resolvidos

Sistema Respiratório - Exercícios resolvidos

01. (UECE) Nos mamíferos, incluindo o homem, o percurso do ar inspirado, nos pulmões é:



a) bronquíolos ® brônquios ® alvéolos;

b) brônquios ® bronquíolos ® alvéolos;

c) alvéolos ® brônquios ® bronquíolos;

d) bronquíolos ® alvéolos ® brônquios.

e) n.d.a.



Resposta: B



02. Qual é a diferença entre o sangue venoso e o arterial?



ResoLUÇÃO: O venoso é pobre em oxigênio e rico em bicarbonato. O arterial é rico em oxigênio, formando oxiemoglobina.

03. (UNESP) Vários atletas do continente americano foram convidados a participar de uma competição de atletismo na cidade do Rio de Janeiro. Assim que os atletas desembarcaram no Aeroporto Internacional, eram submetidos a vários testes e exames, um dos quais o hemograma. Um determinado atleta tendo perdido seu passaporte durante a viagem, alegou ser mexicano e que morava na Cidade do México.



a) Qual o elemento figurado do sangue que, analisado através do hemograma deste atleta, possibilita acreditar na sua

origem?

b) Justifique sua resposta.



ResoLUÇÃO: a) Hemácia

b) Indivíduos provenientes de regiões de elevada altitude possuem um número maior de hemácias, para

compensar a baixa pressão parcial do O2, nessas regiões onde o ar é rarefeito.



04. (FUVEST) Jogadores de futebol que vive em altitudes próximas ao nível do mar sofrem adaptações quando jogam em cidades de grande altitude. Algumas adaptações são imediatas, outras só ocorrem após uma permanência de pelo menos três semanas. Qual alternativa inclui as realizações imediatas e as que podem ocorrer em longo prazo?



a) aumentam a freqüência respiratória, os batimentos cardíacos e a pressão arterial, em longo prazo diminui

o número de hemácias;

b) diminuem a freqüência respiratória e os batimentos cardíacos; diminui a pressão arterial, em longo prazo

aumenta o número de hemácias

c) aumentam a freqüência respiratória e os batimentos cardíacos; diminui a pressão arterial em longo prazo

diminui o número de hemácias;

d) aumentam a freqüência respiratória, os batimentos cardíacos e a pressão arterial, em longo prazo aumenta

o número de hemácias;

e) diminuem a freqüência respiratória, os batimentos cardíacos e a pressão arterial, em longo prazo aumenta

o número de hemácias.



Resposta: D

05. Por que a inalação do monóxido de carbono pode ocasionar até a morte?



ResoLUÇÃO: Ele se combina com a hemoglobina, formando carboxiemoglobina, composto estável que não transporta mais o

oxigênio.



06. O que é fosforilação oxidativa?



RESOLUÇÃO: Síntese de ATP (adenosina trifosfato) utilizando energia obtida nas oxidações celulares.



07. Quais são os processos básicos da respiração aeróbia de uma molécula de glicose?



RESOLUÇÃO: Glicólise, ciclo de Krebs, cadeia respiratória ou transportadora de elétrons.



08. Qual é a equação geral da respiração aeróbia de uma molécula de glicose?



RESOLUÇÃO: C6H12O6 + 6O2 + 6H2Og 6CO2 + 12H2O +

Segundo muitos bioquímicos, o lucro energético seria de 38ATP. Outros acreditam ser de 36ATP.



09. Quem é o aceptor final de hidrogênio na respiração celular?



RESOLUÇÃO: É o oxigênio. Ele se une ao hidrogênio, formando água.



10. Onde ocorre o ciclo do ácido cítrico?



RESOLUÇÃO: Na matriz mitocondrial.

www.colaweb.com

Fatoração -Fator comun e agrupamento


Colégio estadual Dinah Gonçalves
Professor Antonio Carlos Carneiro Barroso
http://accbarrosogestar.blogspot.com.br
Fatoração
1º Caso Fator Comum
a) x2+4x =x(x+4)
b) 2x2+4x = 2x(x+2)
c) 5x3+10x2+20x =5x(x2+2x+4)
d) 3x2-6x-9 = 3(x2-2x -3)
e) 12x3+18x2+6 =
f) 6x2-12x =
g) 9x2-18x-27 =
h) 7x2-14x+21 =
i) 42x2-14x+7 =
j) 35x3+42x2+21x-7 =
k) 4x2+6x-8 =
l) 6x2-9x+18 =
m) 12x4-14x3+70x2+18x-8=
n) 10x+12=
o) 25n2+5n=
p) 8x2+4x+12 =
q) 5x2+15x =
r) X2-5x =
s) X2-7x =
t) 4x2-12x =
u) 12x2+16x =
v) 6x2-18x =
w) 7x2-14x =
x) 21x2-42 =
y) 21x2-42 x =
z) 4x+12y+4z=
2º Caso Agrupamento :
a) x2+5x+2x+10 =x(x+5) +2(x+5) =(x+2)(x+5)
b) x3+x2+x+1 =x2(x+1) +1(x+1) = (x2+1)(x+1)
c) 5x+10 +6x+12 =
d) 4x2+8 +6x2+12 =
e) ax+ay+bx+by =
f) xy +2x+4y+8 =
g) 5x-xy+15-3y =
h) 2ax+3a+4bx+6b =
i) ax-2a+x-2 =
j) x3+3x2+2x+6 =
l) xy-x-y+1 =
m) 10x2-15xy-4x+6y =
n) a3-a2+a-1 =
o) x3+x2+x+1 =
p) 2ax-x-6a+3 =

Fatoração

Fatorar uma expressão algébrica é modificar sua forma de soma algébrica para produto; fatorar uma expressão é obter outra expressão que
a) seja equivalente à expressão dada;
b) esteja na forma de produto. Na maioria dos casos, o resultado de uma fatoração é um produto notável.
Há diversas técnicas de fatoração que estudaremos em seguida, supondo a, b, x e y expressões não fatoráveis.
A. Fator Comum
Devemos reconhecer o fator comum, seja ele numérico, literal ou misto; em seguida colocamos em evidência esse fator comum, simplificamos a expressão deixando em parênteses a soma algébrica.

Observe os exemplos abaixo.
Fatoração
B. Agrupamento
Devemos dispor os termos do polinômio de modo que formem dois ou mais grupos entre os quais haja um fator comum, em seguida, colocar o fator comum em evidência.

Observe:
Fatoração
C. Diferença de Quadrados
Utilizamos a fatoração pelo método de diferença de quadrados sempre que dispusermos da diferença entre dois monômios cujas literais tenham expoentes pares. A fatoração algébrica de tais expressões é obtida com os seguintes passos:
1º) Extraímos as raízes quadradas dos fatores numéricos de cada monômio;
2º) Dividimos por dois os expoentes das literais;
3º) Escrevemos a expressão como produto da soma pela diferença dos novos monômios assim obtidos.
Por exemplo, a expressão a2b2 seria fatorada da seguinte forma
Fatoração
D. Trinômio Quadrado Perfeito
Uma expressão algébrica pode ser identificada como trinômio quadrado perfeito sempre que resultar do quadrado da soma ou diferença entre dois monômios.

Por exemplo, o trinômio x4 + 4 x2 + 4 é quadrado perfeito, uma vez que corresponde a (x2 + 2)2 .

São, portanto, trinômios quadrados perfeitos todas as expressões da forma a2 ± 2ab + b2, fatoráveis nas formas seguintes:
E. Trinômio Quadrado da Forma ax2 + bx + c
Supondo sejam x1 e x2 as raízes reais do trinômio, , dizemos que:


Lembre-se de que as raízes de uma equação de segundo grau podem ser calculadas através da fórmula de Bhaskara:
F. Soma de diferença de cubos
Se efetuarmos o produto do binômio a + b pelo trinômio a2 – ab + b2, obtemos o seguinte desenvolvimento:

O que acabamos de desenvolver foram produtos notáveis que nos permitem concluir que, para fatorarmos uma soma ou diferença de cubos, basta-nos inverter o processo anteriormente demonstrado.
Assim, dizemos que:

Fatoração


Casos Simples de Fatoração Algébrica


Como já aprendemos na Aritmética, todo número, não primo, pode ser decomposto em um produto de fatores primos. Assim, tem-se

30 = 2 X 3 X 5 ; 72 = 8 x 9 = 2 x 2 x 2 x 3 x 3 = 23 x 32

Da mesma forma, podemos decompor algumas expressões algébricas em fatores.

Assim, por exemplo : a2 - b2 = (a+b) (a - b) ; a2 + 2ab + b2 = (a + b)2 ; 12a2b3 - 18ab2 = 6ab2(2ab - 3)

O processo pelo qual transformamos uma adição algébrica em um produto algébrico denominamos fatoração algébrica, ou
simplesmente, fatoração.

No estudo da fatoração são conhecidos vários casos. Vamos estudá-los, classificando-os, para uma melhor compreensão.

Primeiro Caso de Fatoração : Evidenciação


Consideremos o polinômio 6ax2 - 4ax3 + 2ax, que pode ser escrito como :

(2ax).(3x) - (2ax).(2x) + (2ax).(1). Percebemos que o fator 2ax esta presente em todos os termos do polinômio. 2ax é o fator comum e
deverá ser colocado em evidência. Assim :

6ax2 - 4ax3 + 2ax = (2ax) (3x - 2x2 + 1)

Exemplo 01) Fatorar o polinômio 7m2p4 - 14m3p2 + 21m4p3

Colocando o fator comum 7m2p2 em evidência, teremos :

7m2p4 - 14m3p2 + 21m4p3 = 7m2p2 ( p2 - 2m + 3m2p)

Exemplo 02) Fatorar o polinômio 2m3(a - b) + 8m2( a - b)

Colocando o fator comum 2m2(a - b) em evidência, teremos :

2m3(a - b) + 8m2( a - b ) = [2m2(a - b)] ( m + 4) = 2m2(a - b)( m + 4)

Segundo Caso de Fatoração : Trinômio Quadrado Perfeito


Já aprendemos em produtos notáveis que :

(a + b)2 = a2 + 2ab + b2 e (a - b)2 = a2 - 2ab + b2
O que faremos agora é transformarmos a soma algébrica a2 ± 2ab + b2 em sua forma fatorada (a ± b)2.
E para tal precisamos compreender que um trinômio será quadrado perfeito quando possuir dois de seus três termos quadrados e o
terceiro sendo igual ao dobro do produto entre as raízes quadradas dos termos quadrados.

Exemplo 03) Se possível, fatore o polinômio 4m2 + 12mn2 + 9n4

O polinômio possui dois termos quadrados 4m2 e 9n4, e cujas raízes quadradas são, respectivamente, 2m e 3n2. O dobro do
produto entre essas raízes é exatamente igual ao terceiro termo 12mn2.

E dessa forma o polinômio 4m2 + 12mn2 + 9n4 é um trinômio quadrado perfeito e pode, portanto ser fatorado.

A raiz quadrada do primeiro termo quadrado é 2m, a raiz do segundo termo quadrado é 3n2 e o sinal que os une será o sinal do
terceiro termo + 12mn2. Dessa forma, teremos :

4m2 + 12mn2 + 9n4 = ( 2m + 3n2)2

Exemplo 04) Se possível, fatore o polinômio 16x4 + 36x2y3 + 25y6

O polinômio possui dois termos quadrados 16x4 e 25y6, e cujas raízes quadradas são, respectivamente, 4x2 e 5y3. O dobro do produto
entre essas raízes é igual a 40x2y3 que é diferente do terceiro termo 36x2y3.

E dessa forma o polinômio 16x4 + 36x2y3 + 25y6 não é um trinômio quadrado perfeito e não pode, portanto, ser fatorado, pelo menos
como um trinômio quadrado perfeito.

Exemplo 05) Se possível, fatore o polinômio 36 - 132p6n + 121p12n

O polinômio possui dois termos quadrados 36 e 121p12n, e cujas raízes quadradas são, respectivamente, 6 e 116n. O dobro do produto
entre essas raízes é exatamente igual ao terceiro termo 132p6n.

E dessa forma o polinômio 36 - 132p6n + 121p12n é um trinômio quadrado perfeito e pode, portanto, ser fatorado.

A raiz quadrada do primeiro termo quadrado é 6, a raiz do segundo termo quadrado é 11p6n e o sinal que os une será o sinal do terceiro
termo - 132p6n, Dessa forma, teremos :

36 - 132p6n + 121p12n = ( 6 - 11p6n)2

Terceiro Caso de Fatoração : Diferença de Dois Quadrados


Já aprendemos em produtos notáveis que :

(a + b) (a - b) = a2 - b2
O que faremos agora é transformarmos a diferença algébrica a2 - b2 em sua forma fatorada (a + b) (a - b). E para tal precisamos extrair
as raízes quadradas de ambos os termos e montarmos com essas raízes a sua soma multiplicada por sua diferença.

Exemplo 06) Fatore o binômio 64x2 - 25y8

O binômio é uma diferença de dois quadrados 64x2 e 25y8, e cujas raízes quadradas são, respectivamente, 8x e 5y4.

Montando a soma (8x + 5y4) e a diferença (8x - 5y4) e as multiplicando, teremos nossa fatoração concluída. Assim :

64x2 - 25y8 = (8x + 5y4) (8x - 5y4)

Exemplo 07) Fatore 81 - 0,49k6

O binômio é uma diferença de dois quadrados 81 e 0,49k6, e cujas raízes quadradas são, respectivamente, 9 e 0,7k3.

Montando a soma (9 + 0,7k3) e a diferença (9 - 0,7k3) e as multiplicando, teremos nossa fatoração concluída. Assim :

81 - 0,49k6 = (9 + 0,7k3) (9 - 0,7k3)

Veja que interessante: Já sabemos que 49 - 25 = 24.

Vamos fazer essa diferença entre dois quadrados utilizando a fatoração, que acabamos de aprender:
49 - 25 = (7 + 5) ( 7 - 5 ) = 12 x 2 = 24 ( deu, é claro, o mesmo resultado )

Quarto Caso de Fatoração : Trinômio de Stevin


Já aprendemos em produtos notáveis que :

(a + b) (a + c) = a2 + (b + c)a + bc, que podemos escrever como : a2 + Sa + P, onde S é a soma dos termos não comuns e P o seu
produto.

O que faremos agora é transformarmos a soma algébrica a2 + Sa + P em sua forma fatorada (a + b) (a + c).

E para tal precisamos extrair a raiz quadrada do termo quadrado e descobrirmos dois número cuja soma seja S e cujo produto seja P. e
verificarmos se a soma aparece multiplica pela raiz quadrada do termo comum.

Só com alguns exemplos poderemos entender melhor esse tipo de fatoração. Vamos a eles.

Exemplo 08) Fatore o trinômio k2 + 8k + 15

Extraindo a raiz quadrada do termo quadrado k2, teremos k. Vamos descobrir agora dois números que somados sejam iguais a 8 e
multiplicados sejam iguais a 15. Esses números serão 3 e 5, já que: 3 + 5 = 8 e 3 x 5 = 15. Percebemos, também, que a soma 8 aparece
multiplicada pela raiz quadrada k de k2.

Assim : k2 + 8k + 15 = (k + 3) (k + 5)

Exemplo 09) Fatore o trinômio m4 - 6m2 + 8

Extraindo a raiz quadrada do termo quadrado m4, teremos m2. Vamos descobrir agora dois números que somados sejam iguais a - 6 e
multiplicados sejam iguais a 8. Esses números serão - 2 e - 4 , já que: - 2 + - 4 = - 6 e (- 2) x (- 4) = + 8. Percebemos, também, que a
soma - 6 aparece multiplicada pela raiz quadrada m2 de m4.

Assim : m4 - 6m2 + 8 = (m2 - 2) (m2 - 4)

Exemplo 10) Fatore o trinômio 25y6 + 20y3 - 21

Extraindo a raiz quadrada do termo quadrado 25y6, teremos 5y3. Vamos descobrir agora dois números que somados sejam iguais a + 4,
lembremos que a raiz de 9y6, está presente nesse termo, assim, 20y3 : 5y3 = 4 e multiplicados sejam iguais a - 21.

Esses números serão - 3 e + 7 , já que: - 3 + 7 = 4 e (- 3) x (+ 7) = - 21. Percebemos, como já vimos, que a soma + 4 aparece
multiplicada pela raiz quadrada 5y3 de 25y6.

Assim : 25y6 + 20y3 - 21 = (5y3 + 7) (5y3 - 3)

Exemplo 11) Fatore o trinômio 4p8 - 8p4a - 5a2

Extraindo a raiz quadrada do termo quadrado 4p8, teremos 2p4. Vamos descobrir agora dois números que somados sejam iguais a - 4a,
lembremos que a raiz de 4p8, está presente nesse termo, assim, - 8p4a : 2p4 = 4a e multiplicados sejam iguais a - 5a2.

Esses números serão - 5a e + 1a , já que: - 5a + 1a = 4a e (- 5a) x (+ a) = - 5a2. Percebemos, como já vimos, que a soma + 4a aparece
multiplicada pela raiz quadrada 2p4 de 4p8.

Assim : 4p8 - 8p4a - 5a2 = (2p4 + a) (2p4 - 5a)

Quinto Caso de Fatoração : Soma de Dois Cubos


Um binômio soma da forma x3 + y3 pode ser fatorado em um produto da forma:

x3 + y3 = (x + y) ( x2 - xy + y2)

A melhor forma para fatorarmos uma soma de dois cubos é compreendermos que um dos fatores será a soma das raízes cúbicas dos
termos cúbicos originais, e a partir dele, montarmos o outro fator que será o quadrado do primeiro menos o produto entre o primeiro e
o segundo mais ( sempre mais ) o quadrado do segundo. Só praticando entenderemos esse caso fatoração.

Exemplo 12) Fatore a soma de dois cubos 8p6 + 125

Como ambos são termos cúbicos, essa soma poderá ser fatorada.

A raiz cúbica de 8p6 é 2p2 e a raiz cúbica de 125 é 5. Assim já temos o nosso primeiro fator (2p2 + 5)

A partir dele montaremos o nosso segundo fator. O quadrado de 2p2 é 4p4 ; o produto entre 2p2 e 5 é 10p2 e o quadrado do
segundo é 52 = 25. E dessa forma, teremos:

8p6 + 125 = (2p2 + 5) ( 4p4 - 10p2 + 25)

Exemplo 13) Fatore 27x3y9 + 64z6

Como ambos são termos cúbicos, essa soma poderá ser fatorada.

A raiz cúbica de 27x3y9 é 3xy3 e a raiz cúbica de 64z6 é 4z3.

Assim já temos o nosso primeiro fator (3xy3 + 4z2)

A partir dele montaremos o nosso segundo fator. O quadrado de 3xy3 é 9x2y6 ; o produto entre 3xy3 e 4z2 é 12xy3z2 e o quadrado do
segundo é (4z2)2 = 16z4.

E dessa forma, teremos: 27x3y9 + 64z6 = (3xy3 + 4z2) (9x2y6 - 12xy3z2 + 16z4)

Sexto Caso de Fatoração : Diferença de Dois Cubos


Um binômio diferença da forma x3 - y3 pode ser fatorado em um produto da forma:

x3 - y3 = (x - y)( x2 + xy + y2)

A melhor forma para fatorarmos uma diferença de dois cubos é compreendermos que um dos fatores será a diferença das raízes
cúbicas dos termos cúbicos originais, e a partir dele, montarmos o outro fator que será o quadrado do primeiro mais o produto entre o
primeiro e o segundo mais ( sempre mais ) o quadrado do segundo. Só praticando entenderemos esse caso fatoração.

Exemplo 14) Fatore a diferença de dois cubos 216p3 - 125m6

Como ambos são termos cúbicos, essa diferença poderá ser fatorada.

A raiz cúbica de 216p3 é 6p e a raiz cúbica de 125 m6 é 5m2. Assim já temos o nosso primeiro fator (6p - 5m2)

A partir dele montaremos o nosso segundo fator. O quadrado de 6p é 36p2 ; o produto entre 6p e 5m2 é 30pm2 e o quadrado do segundo
é (5m2)2 = 25m4.

E dessa forma, teremos: 216p3 - 125m6 = (6p - 5m2) ( 36p2 + 30pm2 + 25m4)

Sétimo Caso de Fatoração : Agrupamento


Quando em um polinômio dois ou mais termos possuem um termo comum que evidenciado faz aparecer um termo comum à fatoração
dos demais termos. Só com alguns exemplos podemos compreender melhor esse caso de fatoração.

Por essa razão o deixamos como o último caso de fatoração.

Exemplo 15) Fatore o polinômio ac + ad + bc + bd (1ª resolução )

Se colocarmos, nos dois primeiros termos, o fator comum a em evidência e colocarmos, nos dois últimos termos, o fator comum b em
evidência, teremos :

ac + ad + bc + bd = a(c + d) + b( c + d). E colocando o novo fator comum (c + d) em evidência, teremos :

ac + ad + bc + bd = a(c + d) + b(c + d) = (c + d) (a + b)

Exemplo 16) Fatore o polinômio ac + ad + bc + bd (2ª resolução )

Vamos agrupar agora o primeiro e o terceiro termo e, também, o segundo e o quarto termo.

ac + ad + bc + bd = ac + bc + ad + bd

Se colocarmos, nos dois primeiros termos, o fator comum c em evidência e colocarmos, nos dois últimos termos, o fator comum d em
evidência, teremos :

ac + bc + ad + bd = c(a + b) + d(a + b)

E colocando o novo fator comum (a + b) em evidência, teremos :

ac + bc + ad + bd = c(a + b) + d(a + b) = (a + b) (c + d)

Exemplo 17) Fatore o polinômio 2am + an - 6bm - 3bn

Se colocarmos, nos dois primeiros termos, o fator comum a em evidência e colocarmos, nos dois últimos termos, o fator comum - 3b em
evidência, teremos :

2am + an - 6bm - 3bn = a(2m + n) - 3b(2m + n).

E colocando o novo fator comum (2m + n) em evidência, teremos :

2am + an - 6bm - 3bn = a(2m + n) - 3b(2m + n) = (2m + n) (a - 3b)

Exemplo 18) Fatore 3a2x - 2b2 + 2a2 - 3b2x

Reagrupando o polinômio, teremos : 3a2x - 3b2x + 2a2 - 2b2
Se colocarmos, nos dois primeiros termos, o fator comum 3x em evidência e colocarmos, nos dois últimos termos, o fator comum 2 em
evidência, teremos :

3a2x - 3b2x + 2a2 - 2b2 = 3x(a2 - b2) - 2(a2 - b2)

E colocando o novo fator comum (a2 - b2) em evidência, teremos :

3a2x - 3b2x + 2a2 - 2b2 = 3x(a2 - b2) - 2(a2 - b2) = (a2 - b2) (3x - 2)
E como o fator (a2 - b2) é fatorável e igual a (a + b) (a - b), teremos, finalmente :

3a2x - 3b2x + 2a2 - 2b2 = 3x(a2 - b2) - 2(a2 - b2) = (a2 - b2) (3x - 2) = (a + b) (a - b) (3x - 2)

Com isso, apresentamos os mais importantes casos de fatoração. Alguns exercícios resolvidos e um pouco mais complexos,
nos ajudarão no entendimento desse assunto da Álgebra, que é um dos que mais dificuldades apresenta aos alunos.

Exercícios Resolvidos de Fatoração Algébrica


Exemplo 19) Fatore c2 - 2bc - a2 + b2

Reagrupando o polinômio, teremos : b2 - 2bc + c2 - a2 = (b2 - 2bc + c2) - a2

O trinômio b2 - 2bc + c2 pode ser fatorado como : (b - c)2

E dessa forma, teremos a diferença de dois quadrados (b - c)2 - a2, e finalmente, teremos :

(b - c)2 - a2 = (b - c + a) (b - c - a)

Exemplo 20) Fatore: 5m8 + 10m4 - 15

Percebemos que o fator 5 pode ser evidenciado, Assim:

5m8 + 10m4 - 15 = 5(m8 + 2m4 - 3)

O trinômio m8 + 2m4 - 3 não é um trinômio quadrado perfeito, mas poderá ser um trinômio de Stevin.
E realmente o é, pois os números 3 e -1, têm por soma 2 e por produto - 3, e a soma aparece multiplicada pela raiz quadrada m4 de m8.

Dessa forma, teremos : 5m8 + 10m4 - 15 = 5(m8 + 2m4 - 3) = 5(m4 + 3) (m4 - 1)

E como (m4 - 1) = (m2 + 1) (m2 - 1) , e como (m2 - 1) (m + 1)(m - 1) teremos : 5m8 + 10m4 - 15 = 5(m4 + 3)(m2 + 1)(m + 1)(m - 1)

Exemplo 21) Fatore: (x - y)2 + 2(y - x) - 24

Antes de mais nada, lembremos que (x - y)2 = (y - x)2 ( verifique se isso é verdade )

Com isso podemos escrever a expressão dada como : (y - x)2 + 2(y - x) - 24

Para facilitar o reconhecimento do caso de fatoração, chamemos o binômio (y - x) de A, então :

(y - x)2 + 2(y - x) - 24 = A2 + 2A - 24

O trinômio não é quadrado perfeito, mas parece ser de Stevin.
Verificando, percebemos que os números - 4 e + 6 têm por soma + 2 e por produto - 24 e a soma + 2 aparece multiplicada pela raiz
quadrada A de A2.

E assim : A2 + 2A - 24 = (A + 6) (A - 4) e como A = y - x, finalmente teremos: (x - y)2 + 2(y - x) - 24 = (y - x + 6) (y - x - 4)

Exemplo 22) Fatore x6 - y6

1ª Resolução: Considerando uma diferença de dois cubos

Como ambos são termos cúbicos, essa diferença poderá ser fatorada.
A raiz cúbica de x6 é x2 e a raiz cúbica de y6 é y2. Assim já temos o nosso primeiro fator x2 - y2
A partir dele montaremos o nosso segundo fator. O quadrado de x2 é x4 ; o produto entre x2 e y2 é x2y2 e o quadrado do
segundo é y2 é y4.

E dessa forma, teremos:

x6 - y6 = (x2 - y2) ( x4 + x2y2 + y4). Como a diferença de quadrados (x2 - y2) ainda pode ser fatorado, teremos :

x6 - y6 = (x + y) (x - y) ( x4 + x2y2 + y4).

Se escrevermos o trinômio ( x4 + x2y2 + y4) de uma outra forma, perceberemos que ele também poderá ser fatorado. Vejamos :

x4 + x2y2 + y4 = x4 + 2x2y2 + y4 - x2y2 = (x2 + y2)2 - x2y2, que é uma diferença de dois quadrados.

Assim : (x2 + y2)2 - x2y2 = ( x2 + y2 + xy) ( x2 + y2 - xy) = ( x2 - xy + y2) ( x2 + xy + y2). E finalmente :

x6 - y6 = (x + y) (x - y) ( x2 - xy + y2) ( x2 + xy + y2)

2ª Resolução: Considerando uma diferença de dois quadrados. Como ambos são quadrados, temos uma diferença de dois quadrados.

A raiz quadrada de x6 é x3 e a raiz quadrada de y6 é y3.

Assim já temos o nosso primeiro fator (x3 + y3) e o segundo fator (x3 - y3).

Assim, teremos : x6 - y6 = (x3 + y3) (x3 - y3) .
Como a soma e a diferença de dois cubos (x3 + y3) e (x3 - y3) ainda podem ser fatorados, teremos :

x6 - y6 = (x3 + y3) (x3 - y3) = (x + y) ( x2 - xy + y2) (x - y) ( x2 + xy + y2) , ou ainda :

x6 - y6 = (x + y) (x - y) ( x2 - xy + y2) ( x2 + xy + y2)

OBSERVAÇÃO MUITO IMPORTANTE

Sempre que fatoramos uma expressão algébrica ou quando efetuamos um produto notável devemos utilizar o sinal de identidade
que é uma ampliação do conceito de igualdade.

Vamos entender melhor essa diferenciação:

Quando afirmamos que 3x + 4 = 19, sabemos que apenas o valor de x = 5 tornará verdadeira essa sentença.
Nesse caso utilizaremos o sinal de igualdade.

Quando afirmamos que 2(x + 3) = 2x + 6, percebemos que qualquer valor de x, torna essa sentença verdadeira.
Nesse caso devemos utilizar o sinal de identidade .

www.matematicafacil.com

Fatoração de Polinômios

Professor de Matemática no Colégio Estadual Dinah Gonçalves
E Biologia na rede privada de Salvador-Bahia
Professor Antonio Carlos carneiro Barroso
email accbarroso@hotmail.com
http://accbarrosogestar.blogspot.com.br

Fatoração de Polinômios

Por Marcos Noé


Polinômios
Fatorar um número significa escrevê-lo na forma de produto de números primos. Por exemplo, a fatoração do número 36 consiste na multiplicação entre os números 2 * 2 * 3 * 3. Na fatoração de polinômios devemos escrever o mesmo através do produto entre outros polinômios.
As fatorações mais conhecidas são: fator comum em evidência, agrupamento, diferença entre dois quadrados, trinômio quadrado perfeito e trinômio soma e produto.

Fator comum em evidência

Nesse modelo de fatoração temos que determinar o elemento comum aos termos que formam o polinômio. Observe:

No polinômio x² + 2x, temos que a variável x é comum aos dois termos. Ela será o termo em evidência, a qual dividirá todos os termos do polinômio original.

x² + 2x → x * (x + 2)
x² : x = x
2x : x = 2

Veja mais exemplos de fatoração por evidência:

4x³ – 2x² → 2x² * (2x – 1)
4x³ : 2x² = 2x
2x : 2x = 1

16x² + 8 → 8 * (2x² + 1)
16x² : 8 = 2x²
8 : 8 = 1


Fatoração por Agrupamento

Na fatoração por agrupamento, utilizamos inicialmente a fatoração por evidência e logo em seguida agrupamos os termos sob certas condições também de evidenciação. Observe:

2yx – x – 6y + 3, aplicar evidência entre 2yx e –x e entre –6y e 3.

2yx – x → x * (2y – 1)

–6y + 3 → –3 * (2y – 1)

2yx – x – 6y + 3 → x * (2y – 1) – 3 * (2y – 1) → (x – 3) * (2y – 1)


Observe mais exemplos:


bx – 2b + x – 2 → bx + x – 2b – 2 → x * (b + 1) – 2 * (b + 1) → (x – 2) * (b + 1)

10x² + 15xy + 4x + 6y → 10x² + 4x + 15xy + 6y → 2x * (5x + 2) + 3y * (5x + 2) → (2x + 3y) * ( 5x + 2)



Diferença entre dois quadrados

Nessa fatoração aplicaremos a raiz quadrada entre os elementos. O valor resultante das raízes formará uma multiplicação entre binômios no mesmo modelo do notável produto da soma pela diferença. Veja:

4x² – 16 → (2x + 4) * (2x – 4)
√4x² = 2x
√16 = 4

25x² – 100 → (5x + 10) * (5x – 10)
√25x² = 5x
√100 = 10

81x4 – 144 → (9x² + 12) * (9x² – 12)
√81x4 = 9x²
√144 = 12


400x² – 49 → (20x + 7) * (20x – 7)
√400x² = 20x
√49 = 7



Trinômio quadrado perfeito

Determinaremos o produto notável responsável pela formação do trinômio x² + 2xy + y² ou x² – 2xy + y². Observe:

x² + 18x + 81 → (x + 9)²
√x² = x
√81 = 9
(x + 9)² = (x + 9) * (x + 9) = x² + 9x + 9x + 81 = x² + 18x + 81


4x² – 48x + 144 → (2x – 12)²
√4x² = 2x
√144 = 12
(2x + 12)² = (2x + 12) * (2x + 12) = 4x² + 24x + 24x + 144 = 4x² + 48x + 144



Trinômio Soma e Produto

São as fatorações envolvendo trinômios do tipo x² + Sx + P, que podem ser fatorados e escritos da seguinte forma (x + a) * (x + b). Nessa situação temos que Soma = a + b e Produto = a * b. Observe:

x² + 10x + 16 → (x + 8) * (x + 2)
Soma = 10
Produto = 16
Os números são 8 e 2, pois:
8 + 2 = 10
8 * 2 = 16

x² – 13x + 42 → (x – 6) * (x – 7)
Soma = –13
Produto = 42
Os números são –6 e –7, pois:
– 6 – 7 = – 13
(–6) * (–7) = 42

x² + 3x – 10 → (x – 2) * (x + 5)
Soma = 3
Produto = –10
Os números são 3 e –10, pois:
– 2 + 5 = 3
(–2) * 5 = – 10

x² – 2x – 63 → (x – 9) * (x + 7)
Soma = –2
Produto = – 63
Os números são –9 e 7, pois:
– 9 + 7 = – 2
(–9) * 7 = – 63

Quadrado perfeito

A terceira maneira de fatorar expressões algébricas é utilizando a regra do trinômio do quadrado perfeito. Para que possa fatorar uma expressão algébrica utilizando esse 3º caso a expressão deverá ser um trinômio e formar um quadrado perfeito.

Então, para compreender melhor esse tipo de fatoração vamos recapitular o que é um trinômio e quando um trinômio pode ser um quadrado perfeito.

Trinômio

Para que uma expressão algébrica seja considerada um trinômio, ela deverá conter exatamente 3 monômios, veja alguns exemplos de trinômios:

x3 + 2x2 + 2x

- 2x5 + 5y – 5

ac + c – b

É importante ressaltar que nem todos os trinômios são quadrados perfeitos. É preciso verificar se um trinômio pode ser escrito na forma de um quadrado perfeito.

Quadrado perfeito

Veja a demonstração do que é um quadrado perfeito:


Um número é um exemplo de quadrado perfeito, basta que esse número seja o resultado de outro número elevado ao quadrado, por exemplo: 36 é um quadrado perfeito, pois
62 = 36.
Agora, para aplicar isso em uma expressão algébrica, observe o quadrado (todos os lados iguais) a abaixo com lados x + y, o valor desse lado é uma expressão algébrica.



Para calcularmos a área desse quadrado podemos seguir duas formas diferentes:

1º forma: A fórmula para o cálculo da área do quadrado é A = Lado2 , então como o lado nesse quadrado é x + y, basta elevá-lo ao quadrado.

A1 = (x + y) . (x + y) que é o mesmo que A1 = (x + y)2, então podemos dizer que:

O resultado dessa área A1 = (x + y)2 é um quadrado perfeito.

2º forma: Esse quadrado foi dividido em quatro retângulos onde cada um tem a sua própria área, então a soma de todas essas áreas é a área total do quadrado maior, ficando assim:

A2 = x2 + xy + xy + y2, como xy e xy são semelhantes podemos somá-los

A2 = x2 +2xy + y2

O resultado da área A2 = x2 +2xy + y2 é um trinômio.


As duas áreas encontradas representam a área do mesmo quadrado, então:

A1 = A2
(x + y)2 = x2 +2xy + y2

Então, o trinômio x2 +2xy + y2 tem como quadrado perfeito (x + y)2.

Quando tivermos uma expressão algébrica e ela for um trinômio do quadrado perfeito, a sua forma fatorada é representada em forma de quadrado perfeito, veja:

O trinômio x2 +2xy + y2 fatorado fica (x + y)2.

Como já foi dito, nem todos os trinômios são quadrados perfeitos, por isso é preciso que saibamos identificar se um trinômio é quadrado perfeito ou não. Veja como é feita essa identificação:

Quando um trinômio é quadrado perfeito

O quadrado perfeito (x + y)2 é composto por dois fatores (x e y) , a resolução dele é um trinômio x2 +2xy + y2, o primeiro monômio é o quadrado do primeiro termo e o segundo monômio é duas vezes o primeiro termo vezes o segundo, o terceiro monômio é o quadrado do segundo termo.

Esse trinômio do quadrado perfeito é considerado uma forma geral seguida para qualquer quadrado perfeito.

Portanto, para que um trinômio seja quadrado perfeito ele tem que seguir esse modelo. Fazendo um resumo podemos dizer que:

Para que um trinômio seja quadrado perfeito ele deve ter algumas características:

• Dois termos (monômios) do trinômio devem ser quadrados.
• Um termo (monômio) do trinômio deve ser o dobro das raízes quadradas dos dois outros termos.

Veja alguns exemplos:

Veja se o trinômio 9a2 – 12ab + 4b2 é um quadrado perfeito, para isso siga as regras que foram citadas.



Dois membros do trinômio 9a2 – 12ab + 4b2 têm raízes quadradas e o dobro delas é o termo do meio, então o trinômio é quadrado perfeito.

Então, a forma fatorada do trinômio 9a2 – 12ab + 4b2 é (3a – 2b)2, pois é a soma das raízes ao quadrado.

Exemplo:

Dado o trinômio 4x2 – 8xy + y2, devemos tirar as raízes dos termos 4x2 e y2 , as raízes serão respectivamente 2x e y. O dobro dessas raízes deve ser 2 . 2x . y = 4xy, que é diferente do termo 8xy, então esse trinômio não poderá ser fatorado utilizando o quadrado perfeito.

Progressão Aritmética


Professor de Matemática no Colégio Estadual Dinah Gonçalves
E Biologia na rede privada de Salvador-Bahia
Professor Antonio Carlos carneiro Barroso
Extraído de http://www.alunosonline.com.br
Definição: uma Progressão Aritmética (ou P.A.) é uma sequência numérica em que a diferença entre qualquer termo (a partir do 2º) e o termo anterior é sempre a mesma (constante). A essa constante dá-se o nome de razão da P.A., e é representada por r.

A sequência (0, 2, 4, 6, 8, 10, ...) é um exemplo de P.A. Vejamos:

2 – 0 = 2; 4 – 2 = 2; 6 – 4 = 2; 8 – 6 = 2;

Observe que a diferença entre qualquer termo e o anterior a ele é sempre 2. Portanto, a sequência é uma P.A. de razão r = 2.

Outros exemplos:

a) (5, 10, 15, 20, 25, 30, ... ) é uma P.A. de razão r = 5
b) (20, 17, 14, 11, 8, ...) é uma P.A. de razão r = – 3
c) (7, 7, 7, 7, ...) é uma P.A. de razão r = 0

As Progressões Aritméticas são classificadas de acordo com o sinal da razão.

r > 0 → P.A. crescente
r < 0 → P.A. decrescente
r = 0 → P.A. constante

Agora vamos imaginar que o problema seja determinar o 100º termo de uma P.A., conhecendo o 1º termo e a razão da mesma. Intuitivamente a ideia seria adicionar a razão ao primeiro termo para obter o segundo e assim sucessivamente até encontrar o 100º termo. Esse processo é muito trabalhoso. No entanto, há uma fórmula que nos permite obter qualquer termo de uma P.A., conhecendo apenas o 1º termo e a razão. É a fórmula do termo geral da P.A.

Termo geral da P.A.

Seja a1 o primeiro termo de uma P.A. e r a sua razão. Temos que:

a2 – a1 = r → a2 = a1 + r
a3 – a2 = r → a3 = a2 + r → a3 = a1 + 2r
a4 – a3 = r → a4 = a3 + r → a4 = a1 + 3r
a5 – a4 = r → a5 = a4 + r → a5 = a1 + 4r

Generalizando, obtemos:
an = a1 + (n - 1)∙r, que é a fórmula do termo geral da P.A.

Exemplo 1. Determine o 100º termo de uma P.A. de razão 3 sabendo que o primeiro termo é 2.

Solução: temos que

a1 = 2; r = 3; a100 = ?

Utilizando a fórmula do termo geral, obtemos:

a100 = 2 + (100 - 1)∙3
a100 = 2 + 99∙3
a100 = 2 + 297 = 299

Portanto, o 100º termo da P.A. é 299.

Exemplo 2. Calcule o 50º termo da P.A. ( -3, -7, -11, -15, ...)

Solução: temos que

a1 = -3; r = a2 – a1 = -7 – (-3) = -7 + 3 = -4; a50 = ?

Utilizando a fórmula do termo geral da P.A., obtemos:

a50 = -3 + (50 - 1)∙(-4)
a50 = -3 + 49∙(-4)
a50 = -3 - 196 = -199
Exemplo 3. Qual é o 33º múltiplo de 7?

Solução: sabemos que o 1º múltiplo de qualquer número é zero. Assim, os primeiros termos dessa P.A. são (0, 7, 14, 21, ...).

Dessa forma, temos que

a1 = 0; r = 7; a33 = ?

Pela fórmula do termo geral, obtemos:

a33 = 0 + (33 - 1)∙7
a33 = 0 + 32∙7 = 224

Síntese de Termos da Oração

Colégio Estadual Dinah Gonçalves
email accbarroso@hotmail.com        
       



Temos essenciais

Sujeito

É o termo da oração do qual se declara alguma coisa.
Exemplo: No céu, um sol claro anuncia o verão.

Características do Sujeito:

I. Pode ser identificado através da pergunta "quem é que"... (ou "que é que"...), feita antes do verbo da oração
Que(m) é que + verbo? __ Resposta=sujeito
II. É substituível por ele(s), ela(s)
III. O verbo concorda com o sujeito.

Classificação do sujeito:

I. Simples: tem um único núcleo.
Exemplo: O velho navio aproximava-se do cais.

II. Composto: tem dois ou mais núcleos
Exemplo: As ruas e as praças estão vazias.

III. Oculto, elíptico ou desinencial: o sujeito pode ser identificado pela desinência do verbo ou pelo contexto em que aparece.
Exemplo: Voltarás para casa (sujeito: tu)

IV. Indeterminado: Quando não é possível determinar o sujeito. Com verbos na 3ª pessoa do plural sem referência a elemento anterior.
Exemplo: Atualmente, espalham muitos boatos.
Com verbo na 3ª pessoa do singular + se (em orações que não admitem a voz passiva analítica)
Exemplo: Precisou-se de novos professores.

Orações sem sujeito:

I. Verbo haver significando existir, acontecer e indicando tempo passado.
Exemplos:
Aqui já houve grandes festas.
Amanhã faz dez anos que ele partiu.

II. Verbo ser indicando tempo, horas, datas e distâncias.
Exemplo: Agora são cinco e doze da tarde.

III. Verbos indicativos de fenômenos da natureza.
Exemplo: Ontem à tarde, ventou muito aqui.

Predicativo

É tudo que se diz do sujeito. (Retirando o sujeito, o que fica na oração é o Predicado.)

Predicado verbal:

Apresenta verbos sem ligação.
Apresenta predicativo (só do sujeito).
O núcleo é predicativo.
Exemplo: Eles estavam furiosos.

Predicado verbo-nominal:

Apresenta verbo significativo
Apresenta predicativo (do sujeito ou de objeto)
Dois núcleos: o verbo e o predicativo.
Exemplos:
Eles invadiram furiosos a loja.
Todos consideram ruim o filme.

Verbo significativo

Expressa uma ação, ou um acontecimento.
Exemplo:
"O sol nasce pra todos, todo dia de manhã..." (Humbeto Gessinger)
"Enquanto a vida vai e vem, você procura achar alguém.." (Renato Russo)

Temos relacionados ao verbo

I. Objeto direto:

a) Funciona como destinatário/receptor do processo verbal.
b) Completa o sentido do verbo transitivo direto
c) Pode ser trocado por o, as, os, as.
d) A oração admite voz passiva.
Exemplo: Muitas pessoas viram o acidente

II. Objeto indireto:

a) Funciona como destinatário/receptor do processo verbal.
b) Completa o sentido do verbo transitivo direto.
c) Apresenta-se sempre com preposição
d) A oração não admite voz passiva.
Exemplo: Todos discordam de você.

III. Agente da passiva:

a) Pratica a ação verbal na voz passiva.
b) Corresponde ao sujeito da voz ativa.
c) Iniciado por preposição: por, pelo ou de.
Exemplo: O deputado foi vaiado pelos sem terra.

IV. Adjunto adverbial:

a) Acrescenta ao verbo cirscunstâncias de tempo, lugar, modo, dúvida, causa, intensidade.

Termos Relacionados a nomes

I. Adjunto adnominal:

a) Determina, qualifica ou caracteriza o nome a que se refere.
b) Pode se referir a qualquer termo da oração (sujeito, objeto, etc.)
Exemplo: As três árvores pequenas secaram.

II. Predicativo:

a) Exprime uma característica/qualidade atribuída ao sujeito ou ao objeto.
b) Liga-se ao sujeito ou ao objeto através de verbo de ligação (claro ou subtendido)
Exemplo:
Toda a cidade estava silenciosa.
Elegeram José representante de turma.

III. Complemento nominal:

a) Completa o sentido de nomes (substantivos abstratos, advérbios) de sentido incompleto.
b) Sempre com repetição.
Exemplo: Ninguém ficou preocupado com ele.

IV. Aposto:

a) Detalha, caracteriza melhor, explica ou resume o nome a que se refere.
Exemplo: O Flamengo, time carioca, ganhou ontem.

V. Vocativo:

a) Usado para "chamar" o ser com quem se fala.
b) Na escrita, vem sempre isolado por vírgula(s)
Exemplo: Era a primeira vez, meu amigo, que eu a encontrava.

Principais diferenças entre complemento nominal e adjunto adnominal

O complemento nominal é sempre iniciado por uma preposição e o adjunto adnominal às vezes inicia-se por preposição. Por esse motivo, se houver dúvida, você pode usar os seguintes critérios diferenciadores:

Adjunto adnominal


Complemento nominal

I. Só se refere a substantivos (concretos e abstratos).
II. Quando o nome se refere, exprime uma ação; a adjunto adnominal é o agente dessa ação.
III. Pode em certas frases indicar posse.


I. Pode se referir a substantivos abstratos,adjetivos e a advérbio.
II. Quando o nome a que se refere exprime uma ação, o complemento nominal é o paciente (alvo) dessa ação.
III. Nunca indica posse.

Exemplos:

I. Ele comprou alguns livros de literatura

O termo destacado (de literatura) refere-se ao nome livros, que é um substantivo concreto. Observando o primeiro critério do quadro, conclui-se que de literatura só pode ser adjunto adnominal, uma vez que o complemento nominal só se refere a substantivos abstratos, nunca a concreto.

II. Seu amigo está descontente com nossa atitude.

Observe que com nossa atitude refere-se a descontente, que é um adjetivo. Portanto, o tempo com nossa amizade só pode ser complemento nominal, uma vez que o adjunto adnominal nunca se refere a adjetivo.

III. A ofensa do torcedor irritou o juiz.

Nesse exemplo, a ofensa, é uma ação e o torcedor é o agente da ação. Portanto pelo segundo critério do quadro, do torcedor é adjunto adnominal. Você poderia chegar a essa conclusão usando também o terceiro critério do quadro (do torcedor exprime posse).
www.algosobre.com.br

Verbo Pretérito

Colégio Estadual Dinah Gonçalves
email accbarroso@hotmail.com        
     



Pretérito Imperfeito do Modo Indicativo

O tempo verbal do pretérito imperfeito do modo indicativo é utilizado para os seguintes fins:

- quando o locutor enuncia fatos ocorridos, transportado mentalmente para o momento da ocorrência, descrevendo os fatos da forma como iam prosseguindo;
Exemplo: Eu cantava em voz baixa, e fazia gestos, regendo uma sinfonia invisível.

- na enunciação de fatos dos quais não se tem certeza quanto às suas realizações futuras;
Exemplo: Queria que fosses feliz.

- na substituição do futuro do pretérito, ao exprimir a conseqüência inevitável de um fato condicionante;
Exemplo: Se o bonde não chegasse logo, logo me irritava.

- na enunciação em que se dá a idéia de prolongação de fatos ocorridos em direção ao momento presente da própria enunciação. Neste caso, exprime-se com maior evidência a característica principal do tempo no pretérito imperfeito do indicativo: a descrição de fatos passados não concluídos (“imperfeitos”).

Pretérito Imperfeito do Modo Subjuntivo

Os verbos no tempo do pretérito imperfeito do modo subjuntivo são empregados das seguintes maneiras:

-tendo valor de passado:
Exemplo: Mesmo que a saudade batesse a sua porta, permaneceria impassível.

-tendo valor de presente, constituindo condição para uma ação que poderia estar ocorrendo:
Exemplo: Se tivesses coragem, estaria lutando por seus ideais.

- tendo valor de futuro em relação a algum momento já passado:\
Exemplo: Naquele instante, era provável que o mundo ruísse.

Pretérito Mais-que-Perfeito do Modo Indicativo

Os verbos no tempo do pretérito mais-que-perfeito do modo indicativo são utilizados nas seguintes situações enunciativas:

- denotação de uma ação anterior a outra já passada;
Exemplo: Antes de falar de seus caminhos pela vida, disse-me que já fora marinheiro.

- substituição, de caráter estilístico, dos verbos no futuro do pretérito do modo indicativo e no pretérito imperfeito do modo subjuntivo (estilo denotativo de solenidade);
Exemplos: Ele menos a conhecera, mais a amara (com os verbos conhecera e amara substituindo, respectivamente, as formas conhecesse e amaria); Fez gestos magníficos, como se fora um rei (verbo no mais-que-perfeito do indicativo substituindo a forma no pretérito imperfeito do subjuntivo).

Pretérito Mais-que-Perfeito do Modo Subjuntivo

O tempo do pretérito mais-que-perfeito do modo subjuntivo constitui-se de forma composta, isto é, há a ocorrência de um verbo auxiliar no presente do subjuntivo e um verbo principal no particípio. Não há forma de conjugação simples de verbos no pretérito mais-que-perfeito do modo subjuntivo. Esta modalidade composta é empregada das seguintes maneiras:

-exprimem uma ação anterior que condiciona outra ação passada:
Exemplo: Se tivesse ouvido o que diz a experiência, não correria os riscos pelos quais passou.

-exprimem uma ação passada da qual se duvida, ou ainda uma ação passada hipotética ou irreal:
Exemplos: Achou que realmente tivesse acontecido aquilo. (...que realmente acontecera aquilo, no pretérito mais-que-perfeito do modo indicativo); Acreditaste que ele tivesse andado por aquelas paragens? (...que ele andara por aquelas paragens, no pretérito mais-que-perfeito do modo indicativo)

Pretérito Perfeito do Modo Indicativo

Os verbos no tempo do pretérito perfeito do modo indicativo são utilizados na seguinte situação enunciativa:

- declaração de fatos inteiramente concluídos, localizados no passado de maneira enfática;
Exemplo: Chegou em sua casa, foi ao seu quarto nos fundos da casa, deitou-se e dormiu.

Pretérito Perfeito do Modo Subjuntivo

O tempo do pretérito perfeito do modo subjuntivo constitui-se de forma composta, isto é, há a ocorrência de um verbo auxiliar no presente do subjuntivo e um verbo principal no particípio. Não há forma de conjugação simples de verbos no pretérito perfeito do modo subjuntivo. Esta modalidade composta é empregada nas seguintes formas:

-quando exprimem um fato supostamente concluído:
Exemplo: Talvez eu tenha me comportado muito mal.

-quando exprimem um fato a ser concluído no futuro em relação a outro fato futuro:
Exemplo: Talvez eu tenha terminado o trabalho quando o professor chegar.
www.algosobre.com.br

Vícios de Linguagem


Colégio Estadual Dinah Gonçalves
email accbarroso@hotmail.com        
     



1. Barbarismo: Grifo ou pronúncia de uma palavra em desacordo com a norma culta.

“Gratuíto” (em vez de gratuito)
“Rítmo” (em vez de ritmo)

2. Solecismo: Desvio da norma em relação à sintaxe.

“Fazem dois anos que não nos vemos” (em vez de faz)

3. Ambiguidade ou Anfibologia: Deixar a frase com mais de um sentido.

“O menino viu o incêndio da escola”

4. Cacófato: Mau som produzido pela junção de palavras.

“Beijou na boca dela”.

“Eu vi ela”. (Eu viela?)

"Eu amo ela" (Eu a moela?)

“Não tenho pretensão acerca dela”.
(Não tenho pretensão a ser cadela?)

“Vou-me já porque já está pingando”.
(Vou mijar porque já está pingando?)

"Tenho culpa eu" (Tem c... pá eu?!)

5. Pleonasmo Vicioso: repetição desnecessária de palavras para expressar uma idéia.

“Subir pra cima”

“Entra pra dentro, menino!”

6. Neologismo: criação desnecessária de palavras novas.

“O ministro se considerava imexível”

7. Eco: Repetição de um som numa seqüência de palavras.

“A decisão da eleição não causou comoção na população.”

8. Arcaísmo: Utilização de palavras que já caíram em desuso.

“Vossa Mercê vai pescar”
www.algosobre.com.br

Genética - os seguidores de Mendel Dos cromossomos ao DNA


A estrutura molecular do DNA
Walter Sutton, um estudante de graduação no laboratório da Universidade de Columbia, nos EUA, foi o primeiro a declarar, em 1902, que os cromossomos obedecem às leis de Mendel. Ele se especializou no estudo de cromossomos de gafanhotos, dando início às pesquisas citológicas que contribuiriam para a elaboração da teoria cromossômica da hereditariedade.

Em seu trabalho, Sutton concluiu que, durante o processo de meiose, no qual são produzidos óvulos e espermatozóides, cada gameta recebe apenas um cromossomo de cada tipo. Nas outras partes do corpo, as células possuem dois cromossomos de cada tipo, herdados de cada genitor. O padrão de segregação dos cromossomos durante a meiose corresponde aos padrões de segregação propostos por Mendel.

Naquele mesmo ano, um citologista alemão, T. Boveri, reconheceu que os cromossomos individuais são diferentes uns dos outros, mas não fez nenhuma conexão com os princípios mendelianos. No entanto, o supervisor de Sutton, E. B. Wilson, ofereceu co-autoria a Boveri pela proposição da teoria cromossômica da hereditariedade.

Um ano mais tarde, Sutton publicou um trabalho intitulado "Os cromossomos na hereditariedade", no qual desenvolve com maiores detalhes sua hipótese. De acordo com alguns pesquisadores, com este trabalho de Sutton se inicia o estudo da citogenética.

Apesar do nascimento de uma disciplina - a citogenética - que une os estudos da célula (citologia), dos genes e de sua transmissão às gerações seguintes (genética) ter ocorrido no ano de 1903, a palavra gene só foi criada em 1909, pelo botânico dinamarquês Wilhelm Johannsen, quando ele descreveu os fatores da hereditariedade nas experiências de Mendel.

No que se refere ao termo genética, ele foi usado quatro anos antes pelo geneticista William Bateson em uma carta, mas só passou a ser utilizado pelos cientistas após a criação do termo gene por Johannsen. O termo gene vem da palavra grega genos, que significa nascimento.

Morgan, Beadle e Tatum
Depois dos gafanhotos, as moscas se tornaram um organismo modelo nos estudos da hereditariedade. Estudando as moscas Drosophila melanogaster, o pesquisador Thomas Hunt Morgan e seus colaboradores da Universidade de Columbia mostraram, no ano de 1911, que os genes estão localizados nos cromossomos e são as unidades da hereditariedade. Eles confirmaram a teoria cromossômica da hereditariedade e, por isso, Thomas Hunt Morgan recebeu, em 1933, o Prêmio Nobel de Fisiologia ou Medicina.

No ano de 1941, os cientistas George Beadle e Edward Tatum mostraram, por meio de experimentos com o fungo vermelho do pão, Neurospora crassa, que os genes agem regulando eventos químicos distintos. Eles concluíram que a função de um gene é dar instruções para a formação de uma enzima particular, que regula um evento químico.

Beadle e Tatum propuseram que, em geral, um gene codifica para a produção de uma enzima. A hipótese de Beadle e Tatum ficou conhecida como "um gene, uma enzima". Posteriormente, o nome da hipótese foi modificado para "um gene, um polipeptídeo", já que algumas proteínas são compostas por diferentes cadeias de polipeptídeos, codificados por genes separados.

O DNA revelado pelos raios X
Os cientistas interessados em ampliar os estudos de genética iniciaram suas pesquisas pelo nível celular, com os cromossomos, e, pouco a pouco, foram se aprofundando, até chegar ao nível molecular.

O DNA havia sido descoberto, no ano de 1868, pelo biólogo suíço Friedrich Miescher, mas permaneceu sem muita importância por cerca de 70 anos. Em 1943, o cientista britânico William Astbury extraiu o DNA de células, mergulhou uma agulha na solução viscosa de DNA e puxou um filamento contendo muitas moléculas alinhadas, quase que em paralelo, umas com as outras. Ele obteve, então, um padrão de difração de raios X para visualizar a molécula de DNA.

Os padrões de difração de raios X de moléculas cristalizadas podem revelar suas estruturas com precisão atômica. Esta técnica revelou o DNA como uma estrutura regular e periódica. Astbury sugeriu que as bases de nucleotídeo do DNA estavam empilhadas umas sobre as outras como "uma pilha de moedas".

Em 1952, Alfred Hershey e Martha Chase mostraram, com o auxílio de marcadores radioativos, que, quando um vírus infecta uma célula hospedeira (a bactéria Escherichia coli), para nela se reproduzir, é o seu DNA que invade a bactéria e não a sua capa protéica. Este experimento corroborou a hipótese feita pelos cientistas Avery, McLeod e McCarty no ano de 1944, de que o DNA é a molécula responsável pela hereditariedade. O experimento de Alfred Hershey e Martha Chase ofereceu suporte para a idéia de que os genes são feitos de DNA.

Muito já se sabia sobre o DNA no ano de 1953:

# que o DNA é composto de nucleotídeos formados por três partes: um grupo fosfato, um açúcar com cinco átomos de carbono (pentose) e bases nitrogenadas (adenina, citosina, guanina e timina);
# que no DNA de qualquer tipo de célula a quantidade de adenina é, aproximadamente, a mesma de timina, enquanto que a quantidade de citosina é aproximadamente a mesma de guanina. Isto foi demonstrado por Erwin Chargaff, em 1949;
# e que o DNA possui grande simetria e consistência em sua estrutura.

A estrutura molecular do DNA
Dois pesquisadores do laboratório Cavendish, na Inglaterra, se dedicaram a obter mais informações sobre a estrutura química do DNA. O físico Francis Crick e o zoólogo James Watson se apressaram em desvendar a estrutura do DNA antes de qualquer pessoa. Eles competiam com o químico Linus Pauling.

Enquanto Watson e Crick trabalhavam em seu modelo, Pauling publicou um trabalho sugerindo uma estrutura de tripla hélice para o DNA. O modelo de Pauling foi criticado por conter imperfeições químicas. Ao ler o trabalho de Pauling, Watson convenceu seus colegas de que tinha a interpretação correta. Um dos colegas, Maurice Wilkins, mostrou a Watson as imagens mais recentes de difração de raios X do DNA. Ao ver as imagens, Watson teve certeza de que sua idéia estava correta e começou a construir, junto com Crick, o novo modelo da estrutura do DNA.

O modelo de Watson e Crick revelou as seguintes propriedades:
# o DNA é uma dupla hélice, com o açúcar e o fosfato dos nucleotídeos formando os dois filamentos da hélice - e as bases nitrogenadas apontando para o interior da hélice e empilhando-se umas sobre as outras;
# as bases nitrogenadas usam pontes de hidrogênio para parearem especificamente, com uma adenina sempre se opondo a uma timina, e uma citosina sempre se opondo a uma guanina;
# os dois filamentos da dupla hélice correm em direções opostas.

Em 1962, Watson, Crick e Wilkins receberam o prêmio Nobel de Fisiologia ou Medicina pela descoberta da estrutura molecular do DNA.