Colégio Estadual Dinah Gonçalves
email accbarroso@hotmail.com
Ao resolvermos uma equação do 2º grau temos as seguintes possibilidades para o resultado:
∆ > 0, duas raízes reais e distintas.
∆ = 0, uma única raiz real e distinta.
∆ < 0, nenhuma raiz real.
Nos casos em que equação possui raízes reais algumas relações são observadas. Veja:
Soma das raízes – (x1 + x2)
Produto das raízes – (x1 * x2)
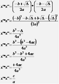
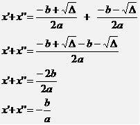
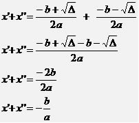
As raízes de uma equação do 2º grau são determinadas a partir das seguintes expressões:
.jpg)
om base nessas informações vamos determinar as expressões matemáticas responsáveis pela soma e produto das raízes.
.jpg)
.jpg)
Com a utilização dessas expressões podemos determinar as raízes de uma equação do 2º grau sem aplicar a resolução de Bháskara, respeitando a formação dessa equação com base na soma e no produto das raízes: x² – Sx + P = 0.
Observe:
A equação x² + 9x + 14 = 0 possui as seguintes raízes de acordo com as expressões da soma e do produto:
Soma
.jpg)
.jpg)
Com base nesses valores, devemos determinar quais os dois números em que a soma seja -9 e o produto 14. Observe:
7 e 2
S = 7 + 2 = 9
P = 7 * 2 = 14
–7 e 2
S = –7 + 2 = – 5
P = –7 * 2 = – 14
7 e –2
S = 7 + (–2) = 5
P = 7 * (–2) = –14
–7 e –2
S = –7 + (–2) = –9
P = –7 * (–2) = 14
Veja que o par de números em que a soma resulta em –9 e o produto em 14 é (–2, –7). Portanto as raízes da equação x² + 9x + 14 = 0 possui como resultado o par ordenado, os números –2 e –7.
Por Marcos Noé
Graduado em Matemática
Nenhum comentário:
Postar um comentário