
Para encontrarmos numa equação de 1º grau com duas incógnitas, por exemplo,
4x + 3y = 0, os valores de x e de y é preciso relacionar essa equação com outra ou outras com as mesmas incógnitas. Essa relação é chamada de sistema.
Um sistema de equação de 1º grau com duas incógnitas é formado por: duas equações de 1º grau com duas incógnitas diferentes em cada equação. Veja um exemplo:
Para encontramos o par ordenado solução desse sistema é preciso utilizar dois métodos para a sua solução.
Esses dois métodos são: Substituição e Adição.
Método da substituição
Esse método consiste em escolher uma das duas equações, isolar uma das incógnitas e substituir na outra equação, veja como:
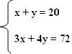
Dado o sistema
Escolhemos a equação 1 e isolamos o x:
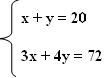
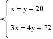
x + y = 20
x = 20 – y
Agora na equação 2 substituímos o valor de x = 20 – y.
3x + 4 y = 72
3 (20 – y) + 4y = 72
60-3y + 4y = 72
-3y + 4y = 72 – 60
y = 12
Descobrimos o valor de y, para descobrir o valor de x basta substituir 12 na equação
x = 20 – y.
x = 20 – y
x = 20 – 12
x = 8
Portanto, a solução do sistema é S = (8, 12)
Método da adição
Esse método consiste em adicionar as duas equações de tal forma que a soma de uma das incógnitas seja zero. Para que isso aconteça será preciso que multipliquemos algumas vezes as duas equações ou apenas uma equação por números inteiros para que a soma de uma das incógnitas seja zero.
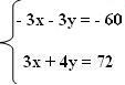
Dado o sistema:
Para adicionarmos as duas equações e a soma de uma das incógnitas de zero, teremos que multiplicar a primeira equação por – 3.
Agora, o sistema fica assim:
Adicionando as duas equações:
- 3x – 3y = - 60
+ 3x + 4y = 72
y = 12
Para descobrirmos o valor de x basta escolher uma das duas equações e substituir o valor de y encontrado:
x + y = 20
x + 12 = 20
x = 20 – 12
x = 8
Portanto, a solução desse sistema é: S = (8, 12).
Se resolver um sistema utilizando qualquer um dois métodos o valor da solução será sempre o mesmo.
extraido de www.mundoeducacao.com.br
Nenhum comentário:
Postar um comentário