Desta forma, a glicose é imprescindível para o funcionamento do organismo e a obtemos basicamente através de nossa alimentação. Entretanto, para suprir a queda em sua quantidade nos intervalos entre as refeições ou em períodos de privação, como em dietas, por exemplo, nosso organismo armazena essa substância na forma de glicogênio.
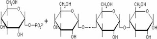
O glicogênio é um polissacarídio formado por milhares de unidades de glicose e, como todo polissacarídeo, não apresenta sabor adocicado. Dessa forma, o glicogênio é uma macromolécula que quimicamente é considerada como um polímero formado pela associação de monômeros de glicose.

O principal órgão de armazenamento concentrado de glicogênio é o fígado, no qual esta substância representa aproximadamente 10% de seu peso. Outro local onde podemos encontrá-lo é nos músculos estriados esqueléticos, representando importante elemento de suporte energético. A quantidade de glicogênio presente nos músculos é muito pequena (0,7% de seu peso), entretanto, em razão da grande quantidade de músculos, o valor de glicogênio armazenado é superior à quantidade armazenada no fígado.
Durante nossas refeições, os glicídios presentes nos alimentos vão sendo digeridos e, no final de seu processo de redução, são absorvidos pelo intestino sendo transportado pelo sangue para todos os tecidos. Assim, a quantidade de glicose circulante no sangue se eleva. Essa quantidade passa a ser maior do que a necessidade orgânica e, por isso, esse “excedente” vai sendo armazenado na forma de glicogênio.
À medida que a quantidade de glicose circulante no sangue vai se reduzindo, o glicogênio armazenado vai sendo degradado em glicose, permitindo que a quantidade desta substância não atinja níveis muito baixos (hipoglicemia). A substância que sinaliza essa transformação no fígado é chamada de glucagon.
Em momentos extremos, nos quais nosso organismo necessita de respostas imediatas, o glicogênio presente nos músculos estriados esqueléticos é rapidamente convertido em glicose e esta é oxidada para a produção de energia. A substância que permite a liberação imediata dessa reserva muscular é a epinefrina (adrenalina).
A síntese ou a degradação do glicogênio ocorre através de enzimas específicas, diferentes para cada processo e diferem também em relação ao local de atuação. Desta forma, enzimas relacionadas à síntese que atuam no fígado não participarão do mesmo processo realizado nos músculos. Assim, a falta de determinada enzima compromete a ação do processo (síntese ou degradação) realizado naquele órgão específico, mas não interfere no processo em outro órgão.
Fabrício Alves Ferreira
Graduado em Biologia
Nenhum comentário:
Postar um comentário