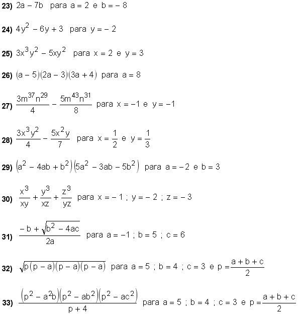
I - Escrever algebricamente, utilizando x e y como variáveis.
01) A soma de dois números
02) A soma do dobro de um número com o triplo de outro.
03) A diferença entre o quadrado de um número e a metade dele
04) O quadrado da soma de dois números
05) A soma dos quadrados de dois números
06) O simétrico do triplo do quadrado de um número diminuído de um outro número
07) O consecutivo de um número par
08) O antecessor do quádruplo de um número ímpar
Classifique as expressões algébricas.





www.matematicamuitofacil.com
QUAL RECURSO DE DIGITAÇÃO SE UTILIZA PARA RESPONDER POSTAGEM QUE QUE CONTENHAM EXPRESSÕES NUMÉRICAS?
ResponderExcluirOnde consigo conferir as respostas ??
ResponderExcluirOnde consigo conferir as respostas ??
ResponderExcluirEste comentário foi removido pelo autor.
ResponderExcluir