1ª condição: denominadores iguais.
Quando os denominadores são iguais, os numeradores devem ser somados ou subtraídos de acordo com os sinais operatórios e o valor do denominador mantido. Observe os exemplos:
.jpg)
2º condição: denominadores diferentes.
Nas operações da adição ou subtração envolvendo números na forma de fração com denominadores diferentes, devemos criar um novo denominador através do cálculo do mínimo múltiplo comum – MMC dos denominadores fornecidos. O novo denominador deverá ser dividido pelos denominadores atuais, multiplicando o quociente pelo numerador correspondente, constituindo novas frações proporcionalmente iguais as anteriores e com denominadores iguais. Observe os cálculos:
.jpg)
Realizar o MMC entre 3 e 4.
.jpg)
.jpg)
.jpg)
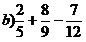
Realizar o MMC entre 5, 9 e 12.
.jpg)
.jpg)
.jpg)
Realizar o MMC entre 15 e 20.
.jpg)
.jpg)
www.mundoeducacao.com.br
Nenhum comentário:
Postar um comentário