
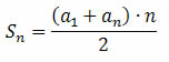
Onde,
a1 → é o primeiro termo da P.A.
n → é o número de termos a serem somados
an → é o último termo a ser somado
Vamos fazer alguns exemplos para entendimento da fórmula.
Exemplo 1. Determine a soma dos 20 primeiros termos da P.A. (4, 8, 12, 16, ...).
Solução: Temos que
a1 = 4
r = 16 – 12 = 12 – 8 = 8 – 4 = 4
n = 20
a20 = ?
S20 = ?
Note que para calcular a soma dos 20 primeiros termos da P.A. precisamos conhecer o 20º termo (a20).
Para encontrar o valor de a20, vamos utilizar a fórmula do termo geral da P.A.

Exemplo 2. Calcule a soma dos quinze primeiros termos da P.A. (-14, -10, -6, ...).
Solução: Temos que
a1 = -14
r = -6 – (-10) = -6 + 10 = 4
n = 15
a15 = ?
S15 = ?
Primeiro vamos determinar o valor de a15.

www.bancodeconcursos.com
Nenhum comentário:
Postar um comentário