sábado, 3 de agosto de 2019

Polinômios simplificação

A simplificação de frações é feita dividindo o numerador e o denominador pelo mesmo número, isto seria o mesmo que eliminar todos os fatores comuns, obtendo uma fração mais simples e equivalente. Observe os exemplos:











Com base nesse mesmo procedimento, simplificamos frações algébricas que apresentam fatores em comum. Veja exemplos:












Para serem desenvolvidas, algumas simplificações requerem, primeiramente, o uso de técnicas de produtos notáveis e fatoração.

Fator comum em evidência





Diferença entre dois quadrados





Agrupamento e fator comum em evidência







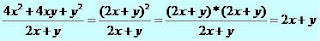
Trinômio quadrado perfeito







Efetuando operações antes de simplificar







A simplificação de frações algébricas é um processo que facilita a resolução de equações algébricas, pois a redução da equação a outra equivalente simplificada torna o processo de resolução mais simples, evitando cálculos excessivos e diminuindo o risco de erros.

6 comentários:

  1. em que santa conciencia 48=2.2.2.2.3 é 2 me diz isso em q planeta ou melhor em que tempo espaço continuo isso e possivel e a resposta para isso e 3.pq 2a quarta e 16 e multiplicando por 3 da 48 entao me esplique isso

    ResponderExcluir