
A nome Fórmula de Bhaskara foi dada em homenagem ao matemático Bhaskara Akaria, considerado o mais importante matemático indiano do século XII.
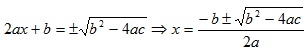
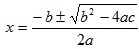
A fórmula de Bhaskara é principalmente usada para resolver equações quadráticas de fórmula geral ax2+bx+c=0, com coeficientes reais, com a≠0 e é dada por

formula bhaskara1
chamamos de discriminante: Δ = b2-4ac
Dependendo do sinal de Δ, temos:
* Δ=0, então a equação tem duas raízes iguais.
* Δ>0, então a equação tem duas raízes iguais diferentes.
* Δ<0, então a equação não tem raízes reais.
A idéia da demonstração da fórmula de Bhaskara é o completamento de quadrados. Seja:
ax2+bx+c=0
a2x2+abx+ac=0
4a2x2+4abx+4ac=0
4a2x2+4abx+b2+4ac=b2
(2ax)2+2(2ax)b+b2=b2-4ac
(2ax+b)2=b2-4ac

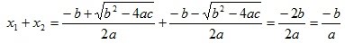
Através da Fórmula de Bhaskara podemos deduzir uma expressão para a soma (S) e o produto (P) das raízes da equação do 2º grau.
Sendo x1 e x2 raízes da equação ax2+bx+c=0, então:


formula bhaskara4
P = x1.x2 = c/a
A importância da Fórmula de Bhaskara é que ela nos permite resolver qualquer problema que envolva equações quadráticas, os quais aparecem em diversas situações importantes, como na Fisica por exemplo.
Bibliografia:
História da Matemática, Carl B. Boyer.
Nenhum comentário:
Postar um comentário